Abstract
We analyze Hayward black holes (BHs) with a negative cosmological constant surrounded by a cloud of strings, which we designate Hayward–Letelier AdS BHs. These solutions can be obtained by coupling the Einstein equations with nonlinear electrodynamics and the energy–momentum tensor of clouds of strings. We show that these solutions are no longer regular and have a curvature singularity at the center. In turn, we analyze the thermodynamics associated with these BHs by establishing the form of the Smarr formula and the first law of thermodynamics. We derive the expressions for the thermodynamic quantities such as pressure, temperature, heat capacity, Gibbs free energy, and isothermal compressibility. We explore the phase structure of these solutions by analyzing the behavior of the heat capacity and Gibbs free energy. These solutions exhibit a first-order phase transition, similar to van der Waals fluids. We also check the behavior of the thermodynamic quantities near the critical points and calculate the values of the critical exponents. This illustrates a robust analogy between our solutions and van der Waals fluids.
1. Introduction
Einstein’s general relativity (GR), the most celebrated theory of gravity, opened up a new, enormously vast field of research for astrophysicists by predicting the existence of some mysterious astrophysical objects that are ideal absorbers (absorb everything and emit nothing) of nature. These astonishing compact objects known as black holes (BHs) have a singularity at the center surrounded by the event horizon [1]. The presence of spacetime singularities shows the breakdown of GR, which is believed to be because of ignorance of the quantum mechanical effect in GR. The singularity problem in GR can be dealt with by developing a more fundamental quantum theory of gravitation. In the absence of a quantum theory of gravity, resolving curvature singularities at the level of classical gravity remains open.
Sakharov [2] and Gliner [3] demonstrated that matter can avoid the singularities, i.e., with a de Sitter core, with the equation of state . This development led Bardeen [4] to propose a black solution without a singularity at its center. He termed these solutions regular BHs because the spacetime is well-behaved everywhere, including at the center . Beato and Garcia [5] obtained the exact Bardeen solution. Bronnikov [6,7] made a fascinating observation regarding regular black holes. This observation highlights that for the regularity of black holes, the nonlinear electrodynamics (NED) charge must be a magnetic monopole. Since then, there has been an intense study of regular BHs that are exact solutions of GR minimally coupled to NED [8,9,10,11,12,13,14,15,16,17,18,19].
Hayward [20] proposed a new regular spacetime, which can be described by the following spherically symmetric metric
Solution (1) is characterized by the BH mass m and the fundamental length l. At a large distance, this solution behaves like Schwarzschild’s solution, while at a small distance, it behaves like an AdS vacuum solution. The Hayward solution is straightforward for analysis as it can be obtained by minimally coupling GR with NED (with magnetic charge g, where the charge g is defined by mL), and hence, has received significant attention in the last two decades [21,22,23,24,25,26,27,28,29,30,31,32].
BH thermodynamics is a fascinating subject that combines gravity with quantum mechanics semi-classically and indicates that it is possible to relate BH physics with other areas of fields through the AdS/CFT correspondence [33,34,35]. The story of BH thermodynamics started with identifying the surface gravity and area of the event horizon as the BH temperature and entropy, respectively, [36,37]. Later, Bardeen et al. [38] gave a set of four laws governing BH thermodynamics. The pioneering work by Hawking and Page [39], in which they demonstrated that BHs can undergo a phase transition to thermal radiation in AdS space, showed that the BHs possess rich phase structures analogous to ordinary thermodynamic systems. In AdS spacetime, where the negative cosmological constant is identified as positive pressure [40,41], charged BHs show a van der Waals-like phase transition between small and large BHs [42,43,44], which is analogous to the liquid–gas phase transition of a van der Waal’s fluid. In contrast, some BHs exhibit re-entrant phase transition [42,45], triple points [46], and heat engines [47].
This article aims to obtain a spherically symmetric Hayward BH solution surrounded by a cloud of strings (CS) in AdS spacetime (Hayward–Letelier AdS BH) and to find the effects of CS on the geometric as well as thermodynamic aspects of Hayward BHs. The consideration of the BH solution surrounded by CS is motivated by the argument that the Universe’s fundamental building blocks may be extended objects instead of point objects. In that case, the one-dimensional string can be the most natural candidate [48]. Letelier [49] was the first to study BHs surrounded by CS. The event horizon for the classical Schwarzschild metric in the background of a CS has a modified radius of , where a is a string cloud parameter [49]. This enlargement of the Schwarzschild radius by the factor may have several astrophysical consequences, such as the formation of wormholes. In recent times, a lot of attention has been given to BHs with CS background [50,51,52,53,54,55,56]. The study of Einstein’s equations coupled with CS in GR and modified theories may be significant.
The rest of the work is organized as follows: Section 2 discusses the geometric aspects of Hayward–Letelier BHs in AdS spacetime. Section 3 is dedicated to deriving and discussing various thermodynamic quantities. Section 4 discusses the thermodynamic stability and critical points of BHs. In contrast, in Section 5, we examine the behavior of thermodynamic quantities near the critical point and determine the value of critical exponents. Finally, we conclude the paper in Section 6.
2. Hayward–Letelier Solution in AdS Spacetime
Here, we intend to obtain a Hayward–Letelier BH in AdS spacetime. The action reads
where R is the curvature scalar, L is positive AdS radius related to the cosmological constant through the relation , and is the nonlinear Lagrangian of electromagnetic theory. The Lagrangian is a nonlinear function of the electromagnetic scalar , where is the Maxwell–Faraday tensor for gauge potential . is the Nambu–Goto action of the cloud of strings. The Lagrangian for the Hayward solution that we are interested in is given as
where is a positive constant and g is the magnetic monopole charge. The action reads [49,56]
where spacelike and timelike parameters parameterize the world sheet [48] represented by and , and is a dimensionless positive constant that characterizes each string. The quantity is the determinant of given by
The movement of a string in time sweeps out an area in two dimensions, which is termed as its [48] world sheet and has associated with it a bivector given by [49]
where is the Levi–Civita tensor in two dimensions, which is anti-symmetric in the indices a and b given by . Variation of action (4) with respect to metric leads to following equation of motions
The tensor obeys
and the Bianchi identities
where * denotes the Hodge dual. We consider a spherically symmetric metric ansatz
For a spherically symmetric spacetime that is only magnetically charged, the only nonzero component of is as in [6] (In [57], the authors explicitly show how the nonzero components are obtained for a spherically symmetric electromagnetic field).
and the scalar is
The energy–momentum tensor of NED reads
and that of the cloud of strings as [49,53,56]
with , and are the proper density and gauge invariant density of the cloud of strings, respectively. The strings are characterized by a surface-forming bivector , and the conditions for being surface-forming are and , where the square brackets denote antisymmetrization. These equations, along with Equation (6), lead to the useful identity
which will be employed in subsequent calculations. By applying conservation of the energy–momentum condition, , and using Equation (15), we performed some tensor calculus as given in [53,54] to obtain the following condition
which, on using the coordinate system adapted to the surface parameterization, results in in [53,54,56]
where and depend only on r, as we are looking for static, spherically symmetric solutions. The only non-zero component of the bivector is Consequently, , and from Equation (17), we obtain and, hence, we obtain the energy–momentum tensor for the cloud of strings [53,54,56]
Solving the Einstein equations, on using Equations (3), (7), (12), (13), and (18), we obtain the metric function
where a is the cloud of strings parameter, and M is the constant of integration interpreted as the mass of the black hole found to be equal to . In the limiting case, , we find the Hayward–AdS solution [21], and for , the solution (19) reduces to the Schwarzschild–AdS BH surrounded by a cloud of strings [58].
In order to locate the horizons, it is necessary to solve the equation . Unfortunately, obtaining analytical expressions for the horizon radius is not feasible. Therefore, we employ numerical analysis to examine the horizon structure. This involves plotting the metric function against the radial coordinate r in Figure 1. By doing so, we can determine up to two horizons, which are contingent upon the values of several parameters (). To verify curvature singularities, it suffices to examine the Kretschmann scalar, denoted as , where represents the Riemann tensor, which reads
Figure 1.
Graphical representation of with respect to the radial coordinate with different values of a and fixed , , and .
Because we included the parameter a of the cloud of strings, the Hayward BH loses its regularity, and the Hayward–Letelier AdS BH has a curvature-singularity at the origin.
3. Thermodynamics
The investigation of BH thermodynamics is a fascinating area of study. In the following section, we inquire into BH thermodynamics. John Wheeler [59,60] was the first to notice that for any system consisting of a BH to follow the non-decreasing entropy law, it is necessary to assign temperature and entropy to the BH. Based on this assertion, we can conclude that a body while falling into a black hole transfers its entropy alongside its mass, angular momentum, and charge. Later, Bekenstein and Hawking made a breakthrough in the thermodynamic aspect of BHs, by relating the temperature and entropy of BHs at the event horizon, respectively, with the surface gravity and the area of the event horizon [36,37,38,61]. The temperature of a BH is related to its surface gravity by [62], where the surface gravity is given by where is the event horizon radius. Using the above relation, we obtain the temperature for the Hayward–Letelier AdS BH as
In extended phase space thermodynamics, the negative cosmological constant is treated as a thermodynamic pressure as:
By incorporating the cosmological constant as a thermodynamic pressure and interpreting the BH mass as enthalpy, extended phase space thermodynamics provides a more comprehensive understanding of BH thermodynamics. As our black hole solution exhibits two horizons, there must be different temperatures associated with these horizons. Hence, theoretically, it is not possible to attain the thermal equilibrium. Here, we are taking into consideration that the event horizon can attain a quasi-equilibrium with the surroundings and the inner horizon remains isolated; thus, we can use the first law of black hole thermodynamics to describe the thermodynamic properties. The first law of BH thermodynamics for a charged and static BH in extended phase space becomes modified by the inclusion of charge and cosmological constant along with their conjugates and has the following form [42]
where M is the enthalpy of the system, is the magnetic charge potential, and S is the entropy of the system, which can be expressed in terms of the horizon area of a BH as [37]
where A is the area of the BH horizon. By using the first law of BH thermodynamics given in Equation (23), one can derive the temperature and magnetic potential as follows:
By solving for , we obtain the mass M of the BH as
Using Equation (26) in Equation (25) leads to the following BH temperature expression
It is intriguing that the temperature determined through surface gravity, denoted as , does not align with the temperature obtained from the first law, represented as . This discrepancy arises because of the invalidity of the first law, as presented in Equation (23), within theories coupled to NED [63,64,65]. The Lagrangian density of NED relies explicitly on the mass, necessitating a modification in the first law [66,67].
where is the correction factor, given by
and is one of the components of the stress–energy tensor. The correction factor, , correlates the old and new thermodynamic quantities.
The two temperatures, and , are related to each other by
with .
As depicted in Figure 2 and Figure 3, the temperature exhibits a varying pattern with the entropy S, and displays local maxima and minima. This behavior confirms the occurrence of phase transitions between different stages of BHs. The temperature reaches zero at a specific entropy value, revealing an extremal BH. The extremal BH’s entropy allows us to determine its corresponding radius, which can also be calculated from the metric function. The extremal BH radius corresponds to where the metric function reaches its minimum, signifying that the derivative of the metric function at that point is zero. The temperature expressions for the Hayward–AdS and Schwarzschild–Letelier–AdS BHs, respectively, are as shown in the figures.
Figure 2.
Graphical representation depicting the temperature associated with the Hayward–Schwarzschild–Letelier–AdS solution (21) for varying values of a.
Figure 3.
Graphical representation depicting the temperature associated with the Hayward–Schwarzschild–Letelier–AdS solution (21) for varying values of P.
Next, we want to derive the Smarr formula, which establishes a relation between the mass and the other parameters. We can obtain the Smarr formula by using the properties of the homogeneous function [68]. To do so, first, we write the mass of the BH in terms of entropy as
To find out the degree of homogeneity of the mass, we rewrite it in the given form
From Equation (35), it can be seen clearly that the mass is a homogeneous function with a degree of homogeneity [68].
According to Euler’s identity, a homogeneous function with degree n satisfies the following relation [68]
Using the above relation, we obtain the Smarr formula for our BH solution as
where and are given by (25), and is
By using Equation (28) and the Smarr formula (37), we can write the complete first law for BHs with NED as
As we know, for BHs obtained from NED sources, the Lagrangian depends explicitly on some parameters, such as charge and mass, and thus, the fluctuations in the matter sector can be problematic. However, the modified first law given in Equation (39) shows that changes in the geometry sector can compensate for the fluctuations in the matter sector.
4. Themodynamic Stability and Critical Points
In this section, we explore the thermodynamic stability and phase structure of the BHs through an analysis of the behavior of the heat capacity, Gibbs free energy, and isothermal compressibility, and also discuss the derivatives of the solution to find the critical points. According to classical thermodynamics, a thermodynamic system having and is thermodynamically stable. Here, and are the specific heat at constant volume and pressure, respectively, and and are the isothermal and isentropic compressibilities, respectively, [69]. The specific heat at constant pressure and isothermal compressibility at constant temperature are given by [70]
Using Equations (21) and (24) in Equation (40), we derive the following specific heat at constant pressure
If we use Equation (27) instead of Equation (21), we obtain
which is not equal to the heat capacity in Equation (42); however, both heat capacities are connected through the relation given below
The heat capacity of the Hayward–AdS and Schwarzschild–Letelier–AdS solutions are
Figure 4 and Figure 5 depict the graphical behavior of the specific heat of the solution (19) vs. its entropy. There exist two regions with both positive and negative values for , where the solution is thermodynamically stable and unstable for some values of entropy, respectively. Interestingly, for the range of small values of entropy, the specific heat, as well as the temperature, are negative, and, therefore, this range is nonphysical. Hence, we can conclude that the BH solution exhibits two phase transition points corresponding to maxima and minima of the temperature, where flips its sign from positive to negative or negative to positive such that small and large BHs are stable with , whereas the intermediate BHs with are thermodynamically unstable.
Figure 4.
Graphical representation of heat capacity at constant pressure corresponding to the Hayward–Schwarzschild–Letelier–AdS solution (19) by considering , , and varying values of a and S from left to right.
Figure 5.
Graphical representation of Heat capacity at constant pressure associated with the Hayward-Schwarzschild–Letelier–AdS solution (19) with , , and varying values of P and S from left to right.
Next, we want to explore the critical behavior of the solution through the equation of state. We use the modified first law (39) to obtain the thermodynamic volume which reads
The pressure for the Hayward–AdS and Schwarzschild–Letelier–AdS solutions are
To find the critical points, we use the conditions [71,72,73]
which results in the following critical values of pressure, temperature, and volume
The critical points for Hayward–AdS BHs are
however, Schwarzschild–Letelier–AdS BHs do not show critical behavior.
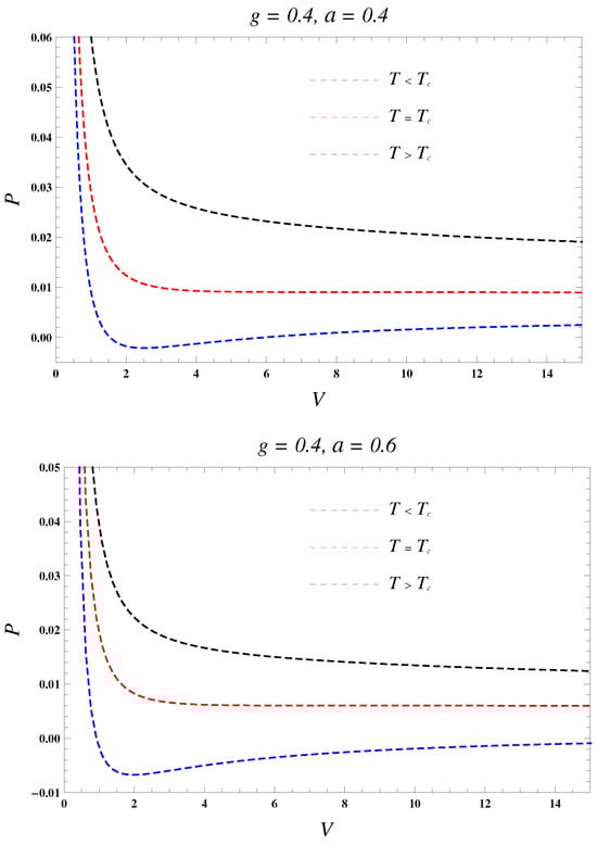
In Figure 6, we depict the isotherm on the diagram, corresponding to three different cases, , , and , where is the critical temperature to find the for , our system behaves like an ideal gas as the pressure monotonically decreases with increasing volume. Conversely, for , the system shows oscillating behavior, signifying the van der Waals-like phase transition between small (high pressure) and large (low pressure) BHs.
Figure 6.
Graphic representation of the behavior of the Hayward–Schwarzschild–Letelier–AdS solution (19) with (Top) and (Bottom).
Now, we want to discuss a very important thermodynamic quantity called the compressibility factor, Z, which tells us about the deviation of a thermodynamic system from an ideal gas. The compressibility factor is defined as [69]
By using the equation of state (48), we obtain the compressibility factor Z as a function of T and V as
In the limiting cases and , we find the compressibility factor of the Hayward–AdS and Schwarzschild–Letelier–AdS BHs, respectively, as
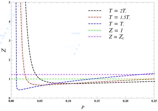
Figure 7 shows the behavior of Z against pressure for different values of temperature. The compressibility factor for our system shows a divergence for small values of pressure. It then decreases as we increase the pressure to reach minima, and then it starts increasing again as we further increase the pressure. We can easily see the deviation of the compressibility factor of our system from the ideal gas for which . We also calculate the compressibility factor at the critical point, which is , which is more than thrice that of a van der Waals fluid ( [72]).
Figure 7.
Compressibility factor for Hayward–Schwarzschild–Letelier-AdS solution in terms of the ratio to , , and .
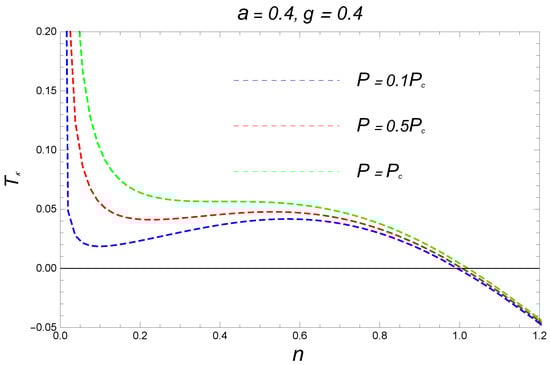
A microscopic analysis of the compressibility factor leads to information about the interaction of molecules of a fluid [66,74]. So, it is very interesting to carry out this analysis of BHs by considering BHs to be made of some virtual molecules. According to Wei and Liu [75], it is possible to analyze a BH microscopically through the idea of virtual molecules. Hence, we would like to do the microscopic analysis through the number density of virtual micro-molecules of the BH, i.e.,
where v, and are the specific volume of the BH and the Planck length, respectively. Here, we are taking natural units, and . Noticeably, the specific volume is linear with the event horizon radius . So, we rewrite temperature in terms of the number density, which reads
By keeping , and , we can obtain the temperature of Hayward–AdS and Schwarz-schild–Letelier–AdS BHs, respectively, as
The behavior of temperature against number density for different values of pressure is depicted in Figure 8.
Figure 8.
Behavior for Hayward–Schwarzschild–Letelier–AdS solution in terms of number density.
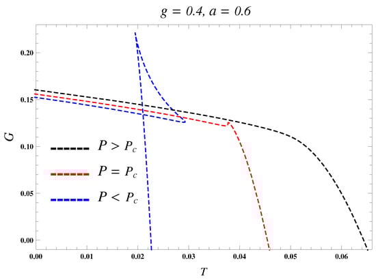
Next, we want to check the global stability and order of the phase transition of the system by analyzing the Gibbs free energy [71,72,73,76,77,78,79], G, which is defined as
The Gibbs free energy for the Hayward–AdS and Schwarzschild–Letelier–AdS solutions are
In Figure 9, we show how the Gibbs free energy of the system behaves.

Figure 9.
Gibbs free energy for Hayward–Schwarzschild–Letelier–AdS solution as a function of temperature for (Top) and (Bottom).
One can also analyze the phase transition via isothermal compressibility . By using Equations (41) and (48), we obtain
For Hayward–AdS and Schwarzschild–Letelier–AdS, we obtain
Figure 10 shows that small and large BHs with positive isothermal compressibility are thermodynamically stable, whereas, the intermediate BHs are unstable with .
Figure 10.
Isothermal compressibility associated with the Hayward–Schwarzschild–Letelier–AdS solution (19) with , .
5. Critical Exponents
It is important to find out the values of the critical exponents because we can analyze the behavior of thermodynamic quantities like specific heat and isothermal compressibility around the phase transition point, which shows divergence at the transition point. To do so, we use the following expressions [72,73]
where is the difference in volume between the two phases, and . The value of the critical exponent depends upon the behavior of the specific heat at constant volume. To do so, we rewrite the entropy in terms of volume by using Equations (24) and (47), which yields
Hence, the specific heat at constant volume becomes
which signifies . Before going forward, we define some dimensionless quantities as
Using the fact that pressure remains constant during the phase transition, we can write Equation (76) for two different states as
where subscripts 1 and 2 represent the two different states of the BH. By considering t as constant, we can take derivative of p with respect to to obtain
To obtain the critical exponent , we need to apply the well-known Maxwell’s area law, which states [58,72,73,80,81]
We solve Equations (77) and (79) to find
which results in . The critical isotherm can be calculated by taking as
and, hence, . Now, we use (76) to calculate the isothermal compressibility to obtain
which means . It can be confirmed from the equations below that these critical exponents satisfy the Griffiths, Rushbrooke, and Widom equalities [69,73,82];
which signifies that there are only two independent exponents.
6. Discussion
We began this article by obtaining an exact magnetically charged spherically symmetric Hayward–Letelier AdS BH. The event horizon’s structure indicates that the obtained solution may have up to two horizons, depending on the values of the CS parameter a and the magnetic charge g. In the limits, namely and , the solution reduces to the Hayward–AdS and Schwarzschild–Letelier–AdS BHs, respectively. However, unlike the Hayward BH, the surrounding CS confirmed that our BH solution no longer remains regular.
Furthermore, we analyzed the thermodynamic aspects of the obtained Hayward–Letelier AdS BH solution by investigating various thermodynamic quantities. We started by determining the BH temperature through its surface gravity and the temperature using the first law of BH thermodynamics. We observe that these two temperatures differ because of the explicit dependence of the NED Lagrangian on the mass M. To address this issue, we revised the first law by introducing a correction factor that compensates for changes in the matter sector through fluctuations in the geometry. Additionally, we derived the Smarr formula by utilizing the homogeneity of the BH mass.
Subsequently, we studied the specific heat as a function of entropy and identified regions of thermodynamic stability () as well as thermodynamic instability (). We also investigated the critical behavior of the system by obtaining the equation of state and plotting isotherms on the plane. Remarkably, our system exhibits behavior reminiscent of van der Waals fluids for temperatures below the critical temperature. Moreover, we calculated the compressibility factor Z to assess the deviation of the system from an ideal gas. In addition, we analyzed the temperature in terms of the number density of virtual micro-molecules and determined an upper limit on the number density to ensure the physicality of the system ().
We employed Gibbs’s free energy to explore the system’s phase structure. By plotting isobars on the plane, we found that the system can exhibit no phase transition, a first-order phase transition, or a second-order phase transition for , , and , respectively. When , we observe the existence of small and large stable BH states and intermediate unstable BH states. The small stable BHs undergo a van der Waals-like first-order phase transition to transform into large stable BHs. We also confirmed this phase transition through the behavior of the isothermal compressibility. Furthermore, we analyzed thermodynamic quantities such as specific heat and isothermal quantities near the critical point, which exhibit divergences at critical points. We calculated the critical exponents and found that the system discussed in this article strongly resembles a van der Waals fluid. Notably, only two critical exponents are independent, as presented using the Griffiths, Rushbrooke, and Widom equalities given by Equations (83) and (84).
Author Contributions
Conceptualization, A.K. and S.G.G.; methodology, A.K. and A.S.; software, A.K. and A.S.; validation, A.K., A.S., S.G.G. and A.B.; formal analysis, A.K., A.S., S.G.G. and A.B.; investigation, A.K., A.S., S.G.G. and A.B.; resources, S.G.G.; writing—original draft preparation, A.K. and A.S.; writing—review and editing, A.K., A.S., S.G.G. and A.B.; visualization, A.K., A.S., S.G.G. and A.B.; supervision, S.G.G. and A.B.; project administration, S.G.G. All authors have read and agreed to the published version of the manuscript.
Funding
This research received no external funding.
Institutional Review Board Statement
Not applicable.
Informed Consent Statement
Not applicable.
Data Availability Statement
Not applicable.
Acknowledgments
S.G.G. would like to thank the Inter-University Centre for Astronomy and Astrophysics (IUCAA), Pune for hospitality while this work was being done.
Conflicts of Interest
The authors declare no conflicts of interest.
Abbreviations
The following abbreviations are used in this manuscript:
| GR | General Relativity |
| AdS | Anti-de Sitter |
| BH | Black Hole |
| NED | Nonlinear Electrodynamics |
References
- Hawking, S.W.; Ellis, G.F.R. The Large Scale Structure of Spacetime; Cambridge University Press: Cambridge, UK, 1973. [Google Scholar]
- Sakharov, A.D. Nachal’naia stadija rasshirenija Vselennoj i vozniknovenije neodnorodnosti raspredelenija veshchestva. Sov. J. Exp. Theor. Phys. 1966, 22, 241. [Google Scholar]
- Gliner, E.B. Algebraic properties of the energy-momentum tensor and vacuum-like states of matter. Sov. J. Exp. Theor. Phys. 1966, 22, 378. [Google Scholar]
- Bardeen, J. Non-singular general-relativistic gravitational collapse. In Proceedings of the International Conference GR5, Tbilisi, Russia, 9–13 September 1968; p. 174. [Google Scholar]
- Ayon-Beato, E.; Garcia, A. The Bardeen model as a nonlinear magnetic monopole. Phys. Lett. B 2000, 493, 149–152. [Google Scholar] [CrossRef]
- Bronnikov, K.A. Comment on Regular black hole in general relativity coupled to nonlinear electrodynamics. Phys. Rev. Lett. 2000, 85, 4641. [Google Scholar] [CrossRef]
- Bronnikov, K.A. Regular magnetic black holes and monopoles from nonlinear electrodynamics. Phys. Rev. D 2001, 63, 044005. [Google Scholar] [CrossRef]
- Ansoldi, S. Spherical black holes with regular center: A Review of existing models including a recent realization with Gaussian sources. arXiv 2008, arXiv:0802.0330. [Google Scholar]
- Lemos, J.P.S.; Zanchin, V.T. Regular black holes: Electrically charged solutions, Reissner-Nordstróm outside a de Sitter core. Phys. Rev. D 2011, 83, 124005. [Google Scholar] [CrossRef]
- Schee, J.; Stuchlik, Z. Gravitational lensing and ghost images in the regular Bardeen no-horizon spacetimes. J. Cosmol. Astropart. Phys. 2015, 6, 48. [Google Scholar] [CrossRef]
- Ali, M.S.; Ghosh, S.G. Exact d-dimensional Bardeen-de Sitter black holes and thermodynamics. Phys. Rev. D 2018, 98, 084025. [Google Scholar] [CrossRef]
- Kumar, A.; Singh, D.V.; Ghosh, S.G. D-dimensional Bardeen-AdS black holes in Einstein–Gauss–Bonnet theory. Eur. Phys. J. C 2019, 79, 275. [Google Scholar] [CrossRef]
- Dymnikova, I. Vacuum nonsingular black hole. Gen. Relativ. Gravit. 1992, 24, 235–242. [Google Scholar] [CrossRef]
- Dymnikova, I. Regular electrically charged structures in nonlinear electrodynamics coupled to general relativity. Class. Quant. Grav. 2004, 21, 4417–4429. [Google Scholar] [CrossRef]
- Xiang, L.; Ling, Y.; Shen, Y.G. Singularities and the Finale of Black Hole Evaporation. Int. J. Mod. Phys. D 2013, 22, 1342016. [Google Scholar] [CrossRef]
- Balart, L.; Vagenas, E.C. Regular black hole metrics and the weak energy condition. Phys. Lett. B 2014, 730, 14–17. [Google Scholar] [CrossRef]
- Balart, L.; Vagenas, E.C. Regular black holes with a nonlinear electrodynamics source. Phys. Rev. D 2014, 90, 124045. [Google Scholar] [CrossRef]
- Neves, J.C.S.; Saa, A. Regular rotating black holes and the weak energy condition. Phys. Lett. B 2014, 734, 44–48. [Google Scholar] [CrossRef]
- Fernando, S. Bardeen?de Sitter black holes. Int. J. Mod. Phys. D 2017, 26, 1750071. [Google Scholar] [CrossRef]
- Hayward, S.A. Formation and evaporation of regular black holes. Phys. Rev. Lett. 2006, 96, 031103. [Google Scholar] [CrossRef]
- Ghosh, S.G.; Kumar, A.; Singh, D.V. Anti-de Sitter Hayward black holes in Einstein–Gauss–Bonnet gravity. Phys. Dark Univ. 2020, 30, 100660. [Google Scholar] [CrossRef]
- Kumar, A.; Singh, D.V.; Ghosh, S.G. Hayward black holes in Einstein–Gauss–Bonnet gravity. Ann. Phys. 2020, 419, 168214. [Google Scholar] [CrossRef]
- Kumar, A.; Baboolal, D.; Ghosh, S.G. Nonsingular black holes in 4D Einstein–Gauss–Bonnet Gravity. Universe 2022, 8, 244. [Google Scholar] [CrossRef]
- Frolov, V.P.; Zelnikov, A. Quantum radiation from an evaporating nonsingular black hole. Phys. Rev. D 2017, 95, 124028. [Google Scholar] [CrossRef]
- Frolov, V.P. Notes on nonsingular models of black holes. Phys. Rev. D 2016, 94, 104056. [Google Scholar] [CrossRef]
- Lin, K.; Li, J.; Yang, S. Quasinormal Modes of Hayward Regular Black Hole. Int. J. Theor. Phys. 2013, 52, 3771. [Google Scholar] [CrossRef]
- Chiba, T.; Kimura, M. A note on geodesics in the Hayward metric. Prog. Theor. Exp. Phys. 2017, 2017, 043E01. [Google Scholar] [CrossRef]
- Mehdipour, S.H.; Ahmadi, M.H. Black Hole Remnants in Hayward Solutions and Noncommutative Effects. Nucl. Phys. B 2018, 926, 49. [Google Scholar] [CrossRef]
- Zhao, S.S.; Xie, Y. Strong deflection gravitational lensing by a modified Hayward black hole. Eur. Phys. J. C 2017, 77, 272. [Google Scholar] [CrossRef]
- Kumar, A.; Ghosh, S.G.; Beesham, A. Extended phase space thermodynamics of Bardeen–Letelier black holes in 4D Einstein–Gauss–Bonnet gravity. Eur. Phys. J. Plus 2024, 139, 439. [Google Scholar] [CrossRef]
- Kumar, A.; Walia, R.K.; Ghosh, S.G. Bardeen Black Holes in the Regularized 4D Einstein–Gauss–Bonnet Gravity. Universe 2022, 8, 232. [Google Scholar] [CrossRef]
- Kumar, A.; Ghosh, S.G.; Wang, A. Effect of dark energy on photon orbits and thermodynamic phase transition for Hayward anti-de Sitter black holes. Phys. Dark Univ. 2024, 46, 101608. [Google Scholar] [CrossRef]
- Maldacena, J.M. The Large N limit of superconformal field theories and supergravity. Adv. Theor. Math. Phys. 1998, 2, 231–252. [Google Scholar] [CrossRef]
- Gubser, S.S.; Klebanov, I.R.; Polyakov, A.M. Gauge theory correlators from noncritical string theory. Phys. Lett. B 1998, 428, 105–114. [Google Scholar] [CrossRef]
- Witten, E. Anti-de Sitter space and holography. Adv. Theor. Math. Phys. 1998, 2, 253–291. [Google Scholar] [CrossRef]
- Hawking, S.W. Particle Creation by black holes. Commun. Math. Phys. 1975, 43, 199. [Google Scholar] [CrossRef]
- Bekenstein, J.D. Black holes and entropy. Phys. Rev. D 1973, 7, 2333–2346. [Google Scholar] [CrossRef]
- Bardeen, J.M.; Carter, B.; Hawking, S.W. The Four laws of black hole mechanics. Commun. Math. Phys. 1973, 31, 161–170. [Google Scholar] [CrossRef]
- Hawking, S.W.; Page, D.N. Thermodynamics of black holes in anti-De Sitter Space. Commun. Math. Phys. 1983, 87, 577. [Google Scholar] [CrossRef]
- Kastor, D.; Ray, S.; Traschen, J. Enthalpy and the Mechanics of AdS black holes. Class. Quantum Gravity 2009, 26, 195011. [Google Scholar] [CrossRef]
- Dolan, B.P. Pressure and volume in the first law of black hole thermodynamics. Class. Quantum Gravity 2011, 28, 235017. [Google Scholar] [CrossRef]
- Gunasekaran, S.; Mann, R.B.; Kubiznak, D. Extended phase space thermodynamics for charged and rotating black holes and Born-Infeld vacuum polarization. J. High Energy Phys. 2012, 11, 110. [Google Scholar] [CrossRef]
- Kubiznak, D.; Mann, R.B. P-V criticality of charged AdS black holes. J. High Energy Phys. 2012, 7, 33. [Google Scholar] [CrossRef]
- Kubiznak, D.; Mann, R.B.; Teo, M. Black hole chemistry: Thermodynamics with Lambda. Class. Quantum Gravity 2017, 34, 063001. [Google Scholar] [CrossRef]
- Altamirano, N.; Kubiznak, D.; Mann, R.B. Reentrant phase transitions in rotating anti–de Sitter black holes. Phys. Rev. D 2013, 88, 101502. [Google Scholar] [CrossRef]
- Altamirano, N.; Kubizňák, D.; Mann, R.B.; Sherkatghanad, Z. Kerr-AdS analogue of triple point and solid/liquid/gas phase transition. Class. Quantum Gravity 2014, 31, 042001. [Google Scholar] [CrossRef]
- Johnson, C.V. Holographic Heat Engines. Class. Quantum Gravity 2014, 31, 205002. [Google Scholar] [CrossRef]
- Synge, J.L. Relativity: The General Theory; North Holland: Amsterdam, The Netherlands, 1966; p. 175. [Google Scholar]
- Letelier, P.S. Clouds of Strings in General Relativity. Phys. Rev. D 1979, 20, 1294. [Google Scholar] [CrossRef]
- Graça, J.P.M.; Lobo, I.P.; Bezerra, V.B.; Moradpour, H. Effects of a string cloud on the criticality and efficiency of AdS black holes as heat engines. Eur. Phys. J. C 2018, 78, 823. [Google Scholar] [CrossRef]
- Lee, T.H.; Ghosh, S.G.; Maharaj, S.D.; Baboolal, D. Lovelock black hole thermodynamics in a string cloud model. arXiv 2015, arXiv:1511.03976. [Google Scholar]
- Lee, T.H.; Baboolal, D.; Ghosh, S.G. Lovelock black holes in a string cloud background. Eur. Phys. J. C 2015, 75, 297. [Google Scholar] [CrossRef]
- Herscovich, E.; Richarte, M.G. Black holes in Einstein–Gauss–Bonnet gravity with a string cloud background. Phys. Lett. B 2010, 689, 192–200. [Google Scholar] [CrossRef]
- Ghosh, S.G.; Papnoi, U.; Maharaj, S.D. Cloud of strings in third order Lovelock gravity. Phys. Rev. D 2014, 90, 044068. [Google Scholar] [CrossRef]
- Ghosh, S.G.; Maharaj, S.D. Cloud of strings for radiating black holes in Lovelock gravity. Phys. Rev. D 2014, 89, 084027. [Google Scholar] [CrossRef]
- Singh, D.V.; Ghosh, S.G.; Maharaj, S.D. Clouds of strings in 4D Einstein–Gauss–Bonnet black holes. Phys. Dark Univ. 2020, 30, 100730. [Google Scholar] [CrossRef]
- Plebanski, J.; Krasinski, A. An Introduction to General Relativity and Cosmology; Cambridge University Press: New York, NY, USA, 2006. [Google Scholar]
- Sood, A.; Kumar, A.; Singh, J.K.; Ghosh, S.G. Thermodynamic stability and P–V criticality of nonsingular-AdS black holes endowed with clouds of strings. Eur. Phys. J. C 2022, 82, 227. [Google Scholar] [CrossRef]
- Ruffini, R.; Wheeler, J.A. Introducing the black hole. Phys. Today 1971, 24, 30. [Google Scholar] [CrossRef]
- Misner, C.W.; Thorne, K.S.; Wheeler, J.A. Gravitation; W. H. Freeman: San Francisco, CA, USA, 1973; ISBN 978-0-7167-0344-0/978-0-691-17779-3. [Google Scholar]
- Bekenstein, J.D. Black holes and the second law. Lett. Nuovo C. 1972, 4, 737–740. [Google Scholar] [CrossRef]
- Wald, R.M. The thermodynamics of black holes. Living Rev. Relativ. 2001, 4, 6. [Google Scholar] [CrossRef]
- Ma, M.S.; Zhao, R. Corrected form of the first law of thermodynamics for regular black holes. Class. Quantum Gravity 2014, 31, 245014. [Google Scholar] [CrossRef]
- Zhang, Y.; Gao, S. First law and Smarr formula of black hole mechanics in nonlinear gauge theories. Class. Quantum Gravity 2018, 35, 145007. [Google Scholar] [CrossRef]
- Maluf, R.V.; Neves, J.C.S. Thermodynamics of a class of regular black holes with a generalized uncertainty principle. Phys. Rev. D 2018, 97, 104015. [Google Scholar] [CrossRef]
- Rodrigues, M.E.; Silva, M.V.d.; Vieira, H.A. Bardeen-Kiselev black hole with a cosmological constant. Phys. Rev. D 2022, 105, 084043. [Google Scholar] [CrossRef]
- Singh, D.V.; Siwach, S. Thermodynamics and P-v criticality of Bardeen-AdS black hole in 4D Einstein–Gauss–Bonnet Gravity. Phys. Lett. B 2020, 808, 135658. [Google Scholar] [CrossRef]
- Hankey, A.; Stanley, H.E. Systematic Application of Generalized Homogeneous Functions to Static Scaling, Dynamic Scaling, and Universality. Phys. Rev. B 1972, 6, 3515. [Google Scholar] [CrossRef]
- Stanley, H.E. Introduction to Phase Transitions and Critical Phenomena; Oxford University Press: London, UK, 1971. [Google Scholar]
- Davies, P.C.W. Thermodynamics of black holes. Proc. R. Soc. Lond. A 1977, 353, 499–521. [Google Scholar] [CrossRef]
- Dehyadegari, A.; Sheykhi, A.; Montakhab, A. Novel phase transition in charged dilaton black holes. Phys. Rev. D 2017, 96, 084012. [Google Scholar] [CrossRef]
- Dayyani, Z.; Sheykhi, A.; Dehghani, M.H.; Hajkhalili, S. Critical behavior and phase transition of dilaton black holes with nonlinear electrodynamics. Eur. Phys. J. C 2018, 78, 152. [Google Scholar] [CrossRef]
- Wei, S.W.; Liu, Y.X. Extended thermodynamics and microstructures of four-dimensional charged Gauss–Bonnet black hole in AdS space. Phys. Rev. D 2020, 101, 104018. [Google Scholar] [CrossRef]
- Gallagher, J.E. Natural Gas Measurement Handbook; Gulf Publishing Company: Huston, TX, USA, 2006. [Google Scholar]
- Wei, S.W.; Liu, Y.X. Insight into the Microscopic Structure of an AdS black hole from a Thermodynamical Phase Transition. Phys. Rev. Lett. 2015, 115, 111302, Erratum in Phys. Rev. Lett. 2016 116, 169903. [Google Scholar] [CrossRef] [PubMed]
- Liu, Y.; Zou, D.C.; Wang, B. Signature of the Van der Waals like small-large charged AdS black hole phase transition in quasinormal modes. J. High Energy Phys. 2014, 9, 179. [Google Scholar] [CrossRef]
- Nam, C.H. Non-linear charged dS black hole and its thermodynamics and phase transitions. Eur. Phys. J. C 2018, 78, 418. [Google Scholar] [CrossRef]
- Dehyadegari, A.; Sheykhi, A. Critical behavior of charged dilaton black holes in AdS space. Phys. Rev. D 2020, 102, 064021. [Google Scholar] [CrossRef]
- Kumara, A.N.; Rizwan, C.L.A.; Hegde, K.; Ali, M.S.; Ajith, K.M. Ruppeiner geometry, reentrant phase transition, and microstructure of Born-Infeld AdS black hole. Phys. Rev. D 2021, 103, 044025. [Google Scholar] [CrossRef]
- Kumar, A.; Ghosh, S.G.; Maharaj, S.D. Nonsingular black hole chemistry. Phys. Dark Univ. 2020, 30, 100634. [Google Scholar] [CrossRef]
- Kumar, A.; Ghosh, S.G. Nonsingular black hole chemistry in 4D Einstein–Gauss–Bonnet gravity. Nucl. Phys. B 2023, 987, 116089. [Google Scholar] [CrossRef]
- Griffiths, R.B. Ferromagnets and Simple Fluids near the Critical Point: Some Thermodynamic Inequalities. J. Chem. Phys. 1965, 43, 1958. [Google Scholar] [CrossRef]
Disclaimer/Publisher’s Note: The statements, opinions and data contained in all publications are solely those of the individual author(s) and contributor(s) and not of MDPI and/or the editor(s). MDPI and/or the editor(s) disclaim responsibility for any injury to people or property resulting from any ideas, methods, instructions or products referred to in the content. |
© 2024 by the authors. Licensee MDPI, Basel, Switzerland. This article is an open access article distributed under the terms and conditions of the Creative Commons Attribution (CC BY) license (https://creativecommons.org/licenses/by/4.0/).