Some Theoretical Aspects of Magnetars
Abstract
:1. Introduction
2. Anisotropic Nature of Matter
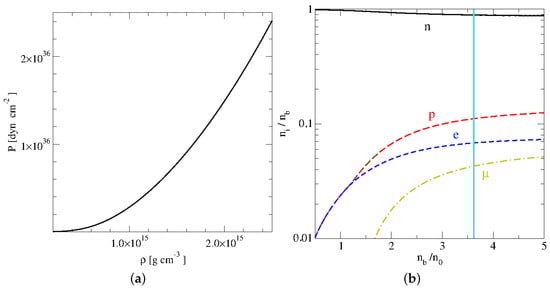
2.1. Baryonic Matter
2.2. Strange Quark Matter
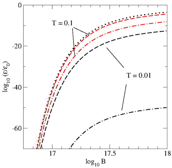
3. Quenched Superconductivity
4. Neutrino Emissivity
4.1. The Direct Urca Process
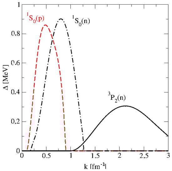
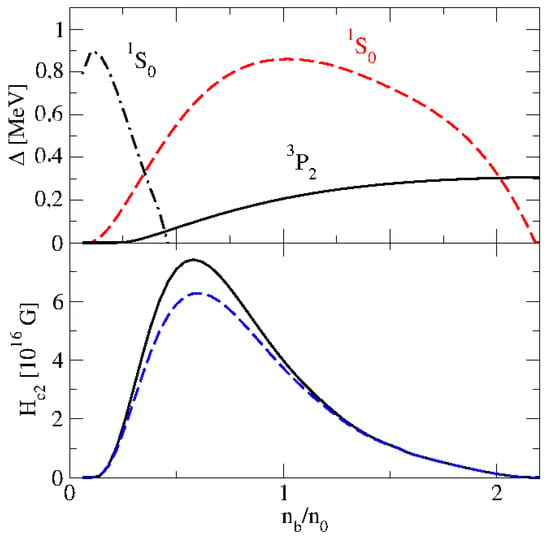
4.2. Pair-Breaking Processes
5. Summary and Conclusions
Acknowledgments
Conflicts of Interest
References
- Hewish, A.; Bell, S.J.; Pilkington, J.D.H.; Scott, P.F.; Collins, R.A. Observation of a Rapidly Pulsating Radio Source. Nature 1968, 217, 709–713. [Google Scholar] [CrossRef]
- Gold, T. Rotating Neutron Stars as the Origin of the Pulsating Radio Sources. Nature 1968, 218, 731–732. [Google Scholar] [CrossRef]
- Gold, T. Rotating Neutron Stars and the Nature of Pulsars. Nature 1969, 221, 25–27. [Google Scholar] [CrossRef]
- Duncan, R.C.; Thompson, C. Formation of very strongly magnetized neutron stars—Implications for gamma-ray bursts. Astrophys. J. 1992, 392, L9–L13. [Google Scholar] [CrossRef]
- Usov, V.V. Millisecond pulsars with extremely strong magnetic fields as a cosmological source of gamma-ray bursts. Nature 1992, 357, 472–474. [Google Scholar]
- Thompson, C.; Duncan, R.C. The soft gamma repeaters as very strongly magnetized neutron stars—I. Radiative mechanism for outbursts. Mon. Not. R. Astron. Soc. 1995, 275, 255–300. [Google Scholar] [CrossRef]
- Thompson, C.; Duncan, R.C. The Soft Gamma Repeaters as Very Strongly Magnetized Neutron Stars. II. Quiescent Neutrino, X-Ray, and Alfven Wave Emission. Astro. Phys. J. 1996, 473, 322. [Google Scholar] [CrossRef]
- Vasisht, G.; Gotthelf, E.V. The Discovery of an Anomalous X-Ray Pulsar in the Supernova Remnant Kes 73. Astrophys. J. 1997, 486, L129. [Google Scholar] [CrossRef]
- Kouveliotou, C.; Dieters, S.; Strohmayer, T.; van Paradijs, J.; Fishman, G.J.; Meegan, C.A.; Hurley, K.; Kommers, J.; Smith, I.; Frail, D.; et al. An X-ray pulsar with a superstrong magnetic field in the soft γ-ray repeater SGR1806-20. Nature 1998, 393, 235–237. [Google Scholar] [CrossRef]
- Woods, P.M.; Kouveliotou, C.; van Paradijs, J.; Hurley, K.; Kippen, R.M.; Finger, M.H.; Briggs, M.S.; Dieters, S.; Fishman, G.J. Discovery of a New Soft Gamma Repeater, SGR 1627-41. Astrophys. J. 1999, 519, L139–L142. [Google Scholar] [CrossRef]
- Kaspi, V.M.; Beloborodov, A.M. Magnetars. Ann. Rev. Astron. Astrophys. 2017, 55, 261–301. [Google Scholar] [CrossRef]
- Khalilov, V.R. Macroscopic effects in cold magnetized nucleons and electrons with anomalous magnetic moments. Phys. Rev. D 2002, 65, 056001. [Google Scholar] [CrossRef]
- Huang, X.G.; Huang, M.; Rischke, D.H.; Sedrakian, A. Anisotropic hydrodynamics, bulk viscosities, and r-modes of strange quark stars with strong magnetic fields. Phys. Rev. D 2010, 81, 045015. [Google Scholar] [CrossRef]
- Paulucci, L.; Ferrer, E.J.; de La Incera, V.; Horvath, J.E. Equation of state for the magnetic-color-flavor-locked phase and its implications for compact star models. Phys. Rev. D 2011, 83, 043009. [Google Scholar] [CrossRef]
- Sinha, M.; Mukhopadhyay, B.; Sedrakian, A. Hypernuclear matter in strong magnetic field. Nucl. Phys. A 2013, 898, 43–58. [Google Scholar] [CrossRef]
- Walecka, J.D. A theory of highly condensed matter. Ann. Phys. 1974, 83, 491–529. [Google Scholar] [CrossRef]
- Boguta, J.; Bodmer, A.R. Relativistic calculation of nuclear matter and the nuclear surface. Nucl. Phys. A 1977, 292, 413–428. [Google Scholar] [CrossRef]
- Glendenning, N.K. The hyperon composition of neutron stars. Phys. Lett. B 1982, 114, 392–396. [Google Scholar] [CrossRef]
- Glendenning, N.K. Neutron stars are giant hypernuclei? Astrophys. J. 1985, 293, 470–493. [Google Scholar] [CrossRef]
- Glendenning, N.K. Hyperons in neutron stars. Z. Phys. Hadron. Nucl. 1987, 326, 57–64. [Google Scholar] [CrossRef]
- Glendenning, N.K. Role of hyperons and pions in neutron stars and supernova. Z. Phys. Hadron. Nucl. 1987, 327, 295–300. [Google Scholar] [CrossRef]
- Dover, C.; Gal, A. Sigma hypernuclei. Comments Nucl. Part. Phys. 1984, 12, 155–165. [Google Scholar]
- Fukuda, T.; Higashi, A.; Matsuyama, Y.; Nagoshi, C.; Nakano, J.; Sekimoto, M.; Tlustý, P.; Ahn, J.K.; En’yo, H.; Funahashi, H.; et al. Cascade hypernuclei in the (K−,K+) reaction on 12C. Phys. Rev. C 1998, 58, 1306–1309. [Google Scholar] [CrossRef]
- Bart, S.; Chrien, R.E.; Franklin, W.A.; Fukuda, T.; Hayano, R.S.; Hicks, K.; Hungerford, E.V.; Michael, R.; Miyachi, T.; Nagae, T.; et al. Σ Hyperons in the Nucleus. Phys. Rev. Lett. 1999, 83, 5238–5241. [Google Scholar] [CrossRef]
- Bandyopadhyay, D.; Chakrabarty, S.; Pal, S. Quantizing Magnetic Field and Quark-Hadron Phase Transition in a Neutron Star. Phys. Rev. Lett. 1997, 79, 2176–2179. [Google Scholar] [CrossRef]
- Richardson, J.L. The heavy quark potential and the Upsilon, J/ψ systems. Phys. Lett. B 1979, 82, 272–274. [Google Scholar] [CrossRef]
- Dey, M.; Bombaci, I.; Dey, J.; Ray, S.; Samanta, B.C. Strange stars with realistic quark vector interaction and phenomenological density-dependent scalar potential. Phys. Lett. B 1998, 438, 123–128. [Google Scholar] [CrossRef]
- Sinha, M.; Huang, X.G.; Sedrakian, A. Strange quark matter in strong magnetic fields within a confining model. Phys. Rev. D 2013, 88, 025008. [Google Scholar] [CrossRef]
- Sedrakian, D.M.; Sedrakian, A.D.; Zharkov, G.F. Type I superconductivity of protons in neutron stars. Mon. Not. R. Astron. Soc. 1997, 290, 203–207. [Google Scholar] [CrossRef]
- Link, B. Constraining Hadronic Superfluidity with Neutron Star Precession. Phys. Rev. Lett. 2003, 91, 101101. [Google Scholar] [CrossRef] [PubMed]
- Buckley, K.B.; Metlitski, M.A.; Zhitnitsky, A.R. Neutron Stars as Type-I Superconductors. Phys. Rev. Lett. 2004, 92, 151102. [Google Scholar] [CrossRef] [PubMed]
- Buckley, K.B.; Metlitski, M.A.; Zhitnitsky, A.R. Vortices and type-I superconductivity in neutron stars. Phys. Rev. C 2004, 69, 055803. [Google Scholar] [CrossRef]
- Sedrakian, A. Type-I superconductivity and neutron star precession. Phys. Rev. D 2005, 71, 083003. [Google Scholar] [CrossRef]
- Alford, M.; Good, G.; Reddy, S. Isospin asymmetry and type-I superconductivity in neutron star matter. Phys. Rev. C 2005, 72, 055801. [Google Scholar] [CrossRef]
- Lalazissis, G.A.; Nikšić, T.; Vretenar, D.; Ring, P. New relativistic mean-field interaction with density-dependent meson-nucleon couplings. Phys. Rev. C 2005, 71, 024312. [Google Scholar] [CrossRef]
- Ducoin, C.; Margueron, J.; Providência, C.; Vidaña, I. Core-crust transition in neutron stars: Predictivity of density developments. Phys. Rev. C 2011, 83, 045810. [Google Scholar] [CrossRef]
- Wambach, J.; Ainsworth, T.L.; Pines, D. Quasiparticle interactions in neutron matter for applications in neutron stars. Nucl. Phys. A 1993, 555, 128–150. [Google Scholar] [CrossRef]
- Baldo, M.; Elgarøy, Ø.; Engvik, L.; Hjorth-Jensen, M.; Schulze, H.J. 3P2-3F2 pairing in neutron matter with modern nucleon-nucleon potentials. Phys. Rev. C 1998, 58, 1921–1928. [Google Scholar] [CrossRef]
- Baldo, M.; Cugnon, J.; Lejeune, A.; Lombardo, U. Proton and neutron superfluidity in neutron star matter. Nucl. Phys. A 1992, 536, 349–365. [Google Scholar] [CrossRef]
- Sinha, M.; Sedrakian, A. Magnetar superconductivity versus magnetism: Neutrino cooling processes. Phys. Rev. C 2015, 91, 035805. [Google Scholar] [CrossRef]
- Landau, L.D.; Lifshitz, E.M. Statistical Physics. Pt.2; Pergamon Press: Oxford, UK, 1980. [Google Scholar]
- Lattimer, J.M.; Prakash, M.; Pethick, C.J.; Haensel, P. Direct URCA process in neutron stars. Phys. Rev. Lett. 1991, 66, 2701–2704. [Google Scholar] [CrossRef] [PubMed]
- Pethick, C.J. Cooling of neutron stars. Rev. Mod. Phys. 1992, 64, 1133–1140. [Google Scholar] [CrossRef]
- Prakash, M. Rapid cooling of neutron stars. Phys. Rep. 1994, 242, 297–312. [Google Scholar] [CrossRef]
- Bandyopadhyay, D.; Chakrabarty, S.; Dey, P.; Pal, S. Rapid cooling of magnetized neutron stars. Phys. Rev. D 1998, 58, 121301. [Google Scholar] [CrossRef]
- Leinson, L.B.; Pérez, A. Direct URCA process in neutron stars with strong magnetic fields. J. High Energy Phys. 1998, 9, 20. [Google Scholar] [CrossRef]
- Baiko, D.A.; Yakovlev, D.G. Direct URCA process in strong magnetic fields and neutron star cooling. Astron. Astrophys 1999, 342, 192–200. [Google Scholar]
- Yakovlev, D.G.; Levenfish, K.P.; Shibanov, Y.A. Cooling of neutron stars and superfluidity in their cores. Phys. Uspekhi 1999, 42, 737–778. [Google Scholar] [CrossRef]
- Sedrakian, A. The physics of dense hadronic matter and compact stars. Prog. Part. Nucl. Phys. 2007, 58, 168–246. [Google Scholar] [CrossRef]
- Flowers, E.; Ruderman, M.; Sutherland, P. Neutrino pair emission from finite-temperature neutron superfluid and the cooling of young neutron stars. Asstrophys. Jour. 1976, 205, 541–544. [Google Scholar] [CrossRef]
- Kaminker, A.D.; Haensel, P.; Yakovlev, D.G. Neutrino emission due to proton pairing in neutron stars. Astron. Astrophys. 1999, 345, L14–L16. [Google Scholar]
- Leinson, L.B.; Pérez, A. Vector current conservation and neutrino emission from singlet-paired baryons in neutron stars. Phys. Lett. B 2006, 638, 114–118. [Google Scholar] [CrossRef]
- Sedrakian, A.; Müther, H.; Schuck, P. Vertex renormalization of weak interactions and Cooper-pair breaking in cooling compact stars. Phys. Rev. C 2007, 76, 055805. [Google Scholar] [CrossRef]
- Sedrakian, A. Vertex renormalization of weak interactions in compact stars: Beyond leading order. Phys. Rev. C 2012, 86, 025803. [Google Scholar] [CrossRef]
- Kolomeitsev, E.E.; Voskresensky, D.N. Neutrino emission due to Cooper-pair recombination in neutron stars reexamined. Phys. Rev. C 2008, 77, 065808. [Google Scholar] [CrossRef]
- Kolomeitsev, E.E.; Voskresensky, D.N. Neutral weak currents in nucleon superfluid Fermi liquids: Larkin-Migdal and Leggett approaches. Phys. Rev. C 2010, 81, 065801. [Google Scholar] [CrossRef]








© 2018 by the author. Licensee MDPI, Basel, Switzerland. This article is an open access article distributed under the terms and conditions of the Creative Commons Attribution (CC BY) license (http://creativecommons.org/licenses/by/4.0/).
Share and Cite
Sinha, M. Some Theoretical Aspects of Magnetars. Particles 2018, 1, 111-125. https://doi.org/10.3390/particles1010008
Sinha M. Some Theoretical Aspects of Magnetars. Particles. 2018; 1(1):111-125. https://doi.org/10.3390/particles1010008
Chicago/Turabian StyleSinha, Monika. 2018. "Some Theoretical Aspects of Magnetars" Particles 1, no. 1: 111-125. https://doi.org/10.3390/particles1010008
APA StyleSinha, M. (2018). Some Theoretical Aspects of Magnetars. Particles, 1(1), 111-125. https://doi.org/10.3390/particles1010008
