Variable Impedance Control for Active Suspension of Off-Road Vehicles on Deformable Terrain Considering Soil Sinkage
Abstract
1. Introduction
2. Soil Parameter Identification
3. Active Suspension Dynamic Model Incorporating Road Sinkage
3.1. Sinkage Estimation Based on the Quasi-Rigid Wheel Assumption
3.2. Quarter-Car Active Suspension Model with Terrain Coupling
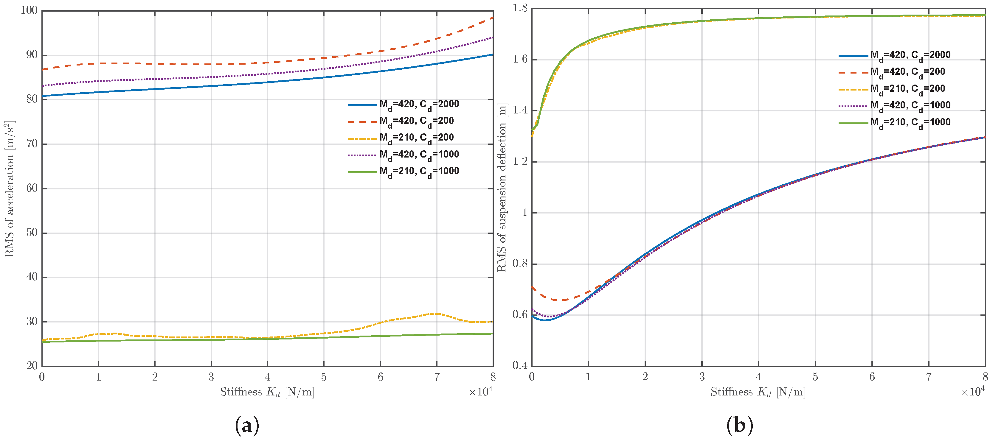
4. Variable Impedance Control Strategy
5. Results of Simulation
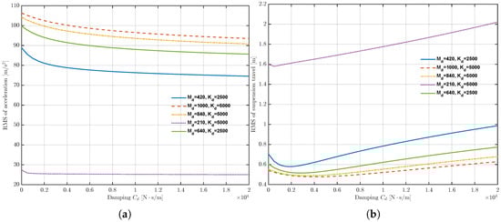
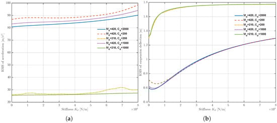
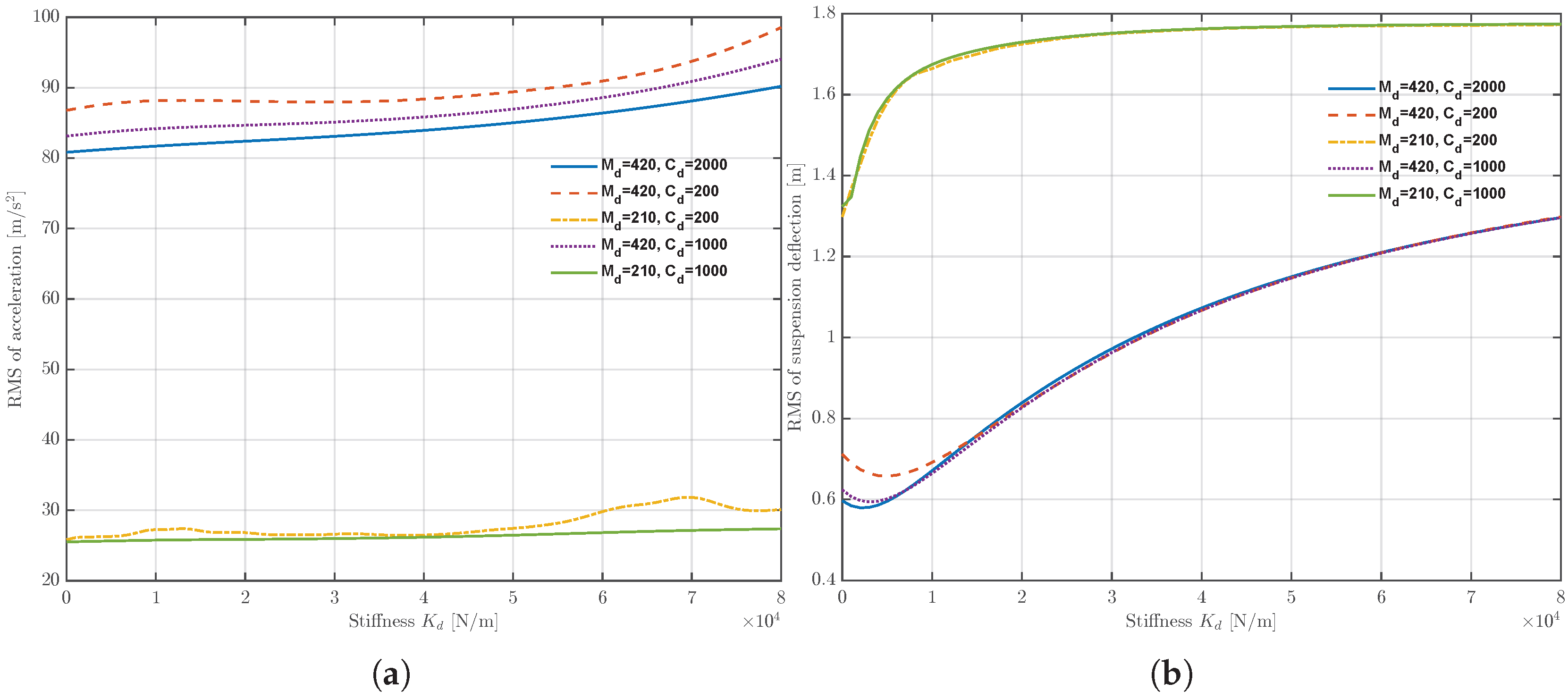
5.1. Influence of Soil Sinking on Dynamics
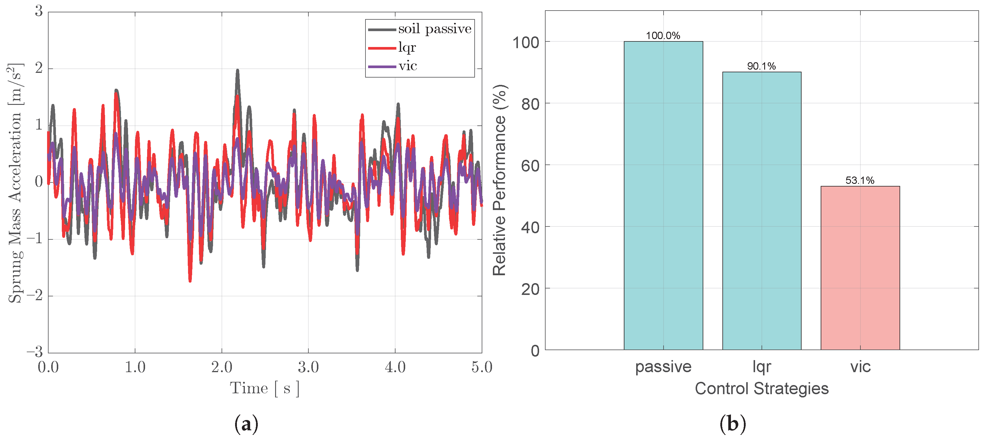
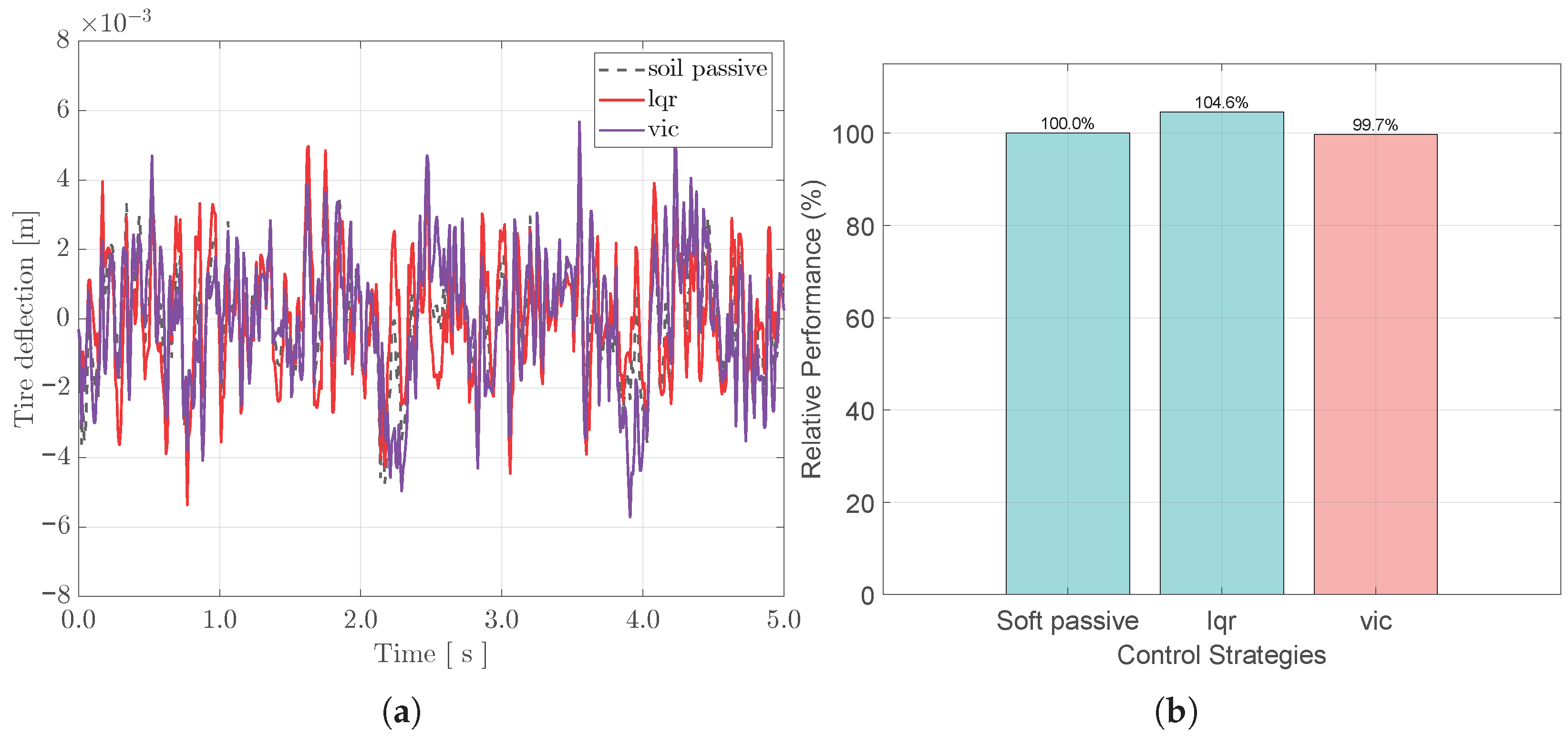
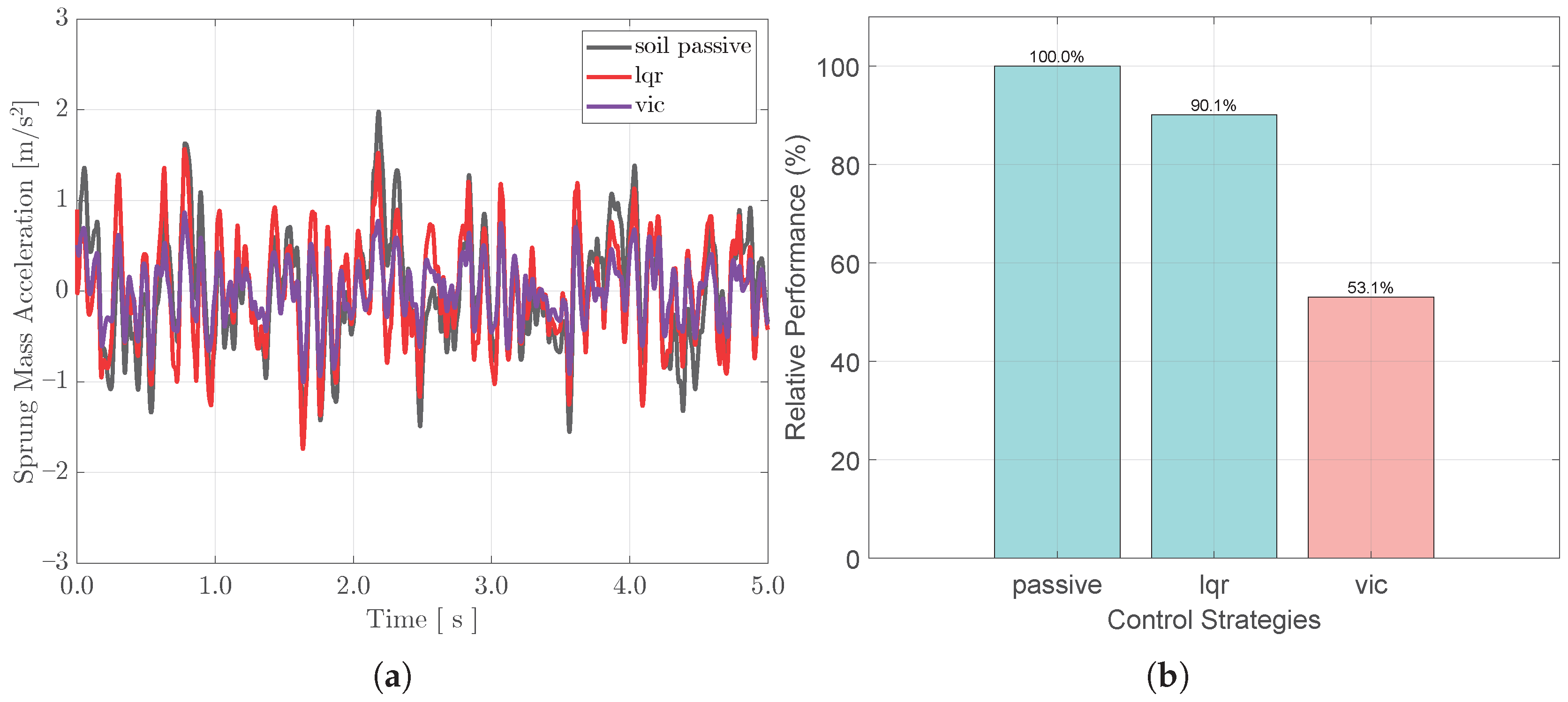
5.2. Comparative Assessment of Control Strategies
6. Conclusions
Author Contributions
Funding
Data Availability Statement
Conflicts of Interest
References
- Hua, C.; Zhang, W.; Fu, H.; Zhang, Y.; Yu, B.; Jiang, C.; Wei, Y.; Chen, Z.; Kuang, X. The Prediction Method and Application of Off-Road Mobility for Ground Vehicles: A Review. World Electr. Veh. J. 2025, 16, 47. [Google Scholar] [CrossRef]
- Zhou, S.; Liu, Z.; Gao, H.; Zhao, M.; Wang, L.; Jiang, G. Turn-on/off control with dynamic significance of active suspension based on energy dissipation principle for manned lunar rover under low gravity and rough terrain conditions. Mech. Syst. Signal Process. 2024, 209, 111071. [Google Scholar] [CrossRef]
- Bryant, A.; Beno, J.; Weeks, D. Benefits of Electronically Controlled Active Electromechanical Suspension Systems (EMS) for Mast Mounted Sensor Packages on Large Off-Road Vehicles; SAE Technical Paper; SAE International: Warrendale, PA, USA, 2011. [Google Scholar]
- Barbieri, N. The optimal performance index for an off–road vehicle with passive and active suspension systems. Int. J. Heavy Veh. Syst. 1995, 2, 225–237. [Google Scholar]
- Sharp, R.; Hassan, S. The relative performance capabilities of passive, active and semi-active car suspension systems. Proc. Inst. Mech. Eng. Part D Transp. Eng. 1986, 200, 219–228. [Google Scholar] [CrossRef]
- Ben, L.Z.; Hasbullah, F.; Faris, F.W. A comparative ride performance of passive, semi-active and active suspension systems for off-road vehicles using half car model. Int. J. Heavy Veh. Syst. 2014, 21, 26–41. [Google Scholar] [CrossRef]
- Li, M.; Xu, J.; Wang, Z.; Liu, S. Optimization of the semi-active-suspension control of BP neural network PID based on the sparrow search algorithm. Sensors 2024, 24, 1757. [Google Scholar] [CrossRef]
- Zhang, S.; Li, M.; Li, J.; Xu, J.; Wang, Z.; Liu, S. Research on ride comfort control of air suspension based on genetic algorithm optimized fuzzy PID. Appl. Sci. 2024, 14, 7787. [Google Scholar] [CrossRef]
- Pan, J.; Li, W.; Zhang, H. Control algorithms of magnetic suspension systems based on the improved double exponential reaching law of sliding mode control. Int. J. Control. Autom. Syst. 2018, 16, 2878–2887. [Google Scholar] [CrossRef]
- Ma, M.; Chen, H.; Liu, X. Robust H-infinity control for constrained uncertain systems and its application to active suspension. J. Control Theory Appl. 2012, 10, 470–476. [Google Scholar] [CrossRef]
- Wang, C.; Cui, X.; Zhao, S.; Zhou, X.; Song, Y.; Wang, Y.; Guo, K. A deep reinforcement learning-based active suspension control algorithm considering deterministic experience tracing for autonomous vehicle. Appl. Soft Comput. 2024, 153, 111259. [Google Scholar] [CrossRef]
- Taheri, S.; Sandu, C.; Taheri, S.; Pinto, E.; Gorsich, D. A technical survey on Terramechanics models for tire-terrain interaction used in modeling and simulation of wheeled vehicles. J. Terramechanics 2015, 57, 1–22. [Google Scholar] [CrossRef]
- He, R.; Sandu, C.; Khan, A.K.; Guthrie, A.G.; Els, P.S.; Hamersma, H.A. Review of terramechanics models and their applicability to real-time applications. J. Terramechanics 2019, 81, 3–22. [Google Scholar] [CrossRef]
- Ishigami, G.; Miwa, A.; Nagatani, K.; Yoshida, K. Terramechanics-based model for steering maneuver of planetary exploration rovers on loose soil. J. Field Robot. 2007, 24, 233–250. [Google Scholar] [CrossRef]
- Buzhardt, J.; Tallapragada, P. A Koopman operator approach for the vertical stabilization of an off-road vehicle. IFAC-PapersOnLine 2022, 55, 675–680. [Google Scholar] [CrossRef]
- Lyu, S.; Zhang, W.; Yao, C.; Zhu, Z.; Jia, Z. Modeling and analysis of a reconfigurable rover for improved traversing over soft sloped terrains. Biomimetics 2023, 8, 131. [Google Scholar] [CrossRef] [PubMed]
- Lv, S.; Zhao, Y.; Chen, Z.; Gao, C.; Hu, L.; Jia, Z. Improved rover mobility over loose deformable slopes through active control of body-rotating mechanism. In Proceedings of the 2021 27th International Conference on Mechatronics and Machine Vision in Practice (M2VIP), Shanghai, China, 26–28 November 2021; IEEE: Piscataway, NJ, USA, 2021; pp. 606–611. [Google Scholar]
- Lu, S.; Xu, X.; Wang, W. Coupling dynamic model of vehicle-wheel-ground for all-terrain distributed driving unmanned ground vehicle. Simul. Model. Pract. Theory 2023, 128, 102817. [Google Scholar] [CrossRef]
- Surkutwar, Y.; Vilsan, A.; Sandu, C.; Untaroiu, C. Comparative analysis of FEM tire-soft snow interaction and theoretical model based on Bekker’s coefficients. IOP Conf. Ser. Mater. Sci. Eng. 2024, 1303, 012046. [Google Scholar] [CrossRef]
- Edwards, M.B.; Dewoolkar, M.M.; Huston, D.R.; Creager, C. Bevameter testing on simulant Fillite for planetary rover mobility applications. J. Terramechanics 2017, 70, 13–26. [Google Scholar] [CrossRef]
- Levasseur, S.; Malécot, Y.; Boulon, M.; Flavigny, E. Soil parameter identification using a genetic algorithm. Int. J. Numer. Anal. Methods Geomech. 2008, 32, 189–213. [Google Scholar] [CrossRef]
- Hutangkabodee, S.; Zweiri, Y.H.; Seneviratne, L.D.; Althoefer, K. Soil parameter identification for wheel-terrain interaction dynamics and traversability prediction. Int. J. Autom. Comput. 2006, 3, 244–251. [Google Scholar] [CrossRef]
- Wong, J. Data processing methodology in the characterization of the mechanical properties of terrain. J. Terramechanics 1980, 17, 13–41. [Google Scholar] [CrossRef]
- Hutangkabodee, S.; Zweiri, Y.H.; Seneviratne, L.D.; Althoefer, K. Model-based soil parameter identification for wheel-terrain interaction dynamics. IFAC Proc. Vol. 2007, 40, 578–583. [Google Scholar] [CrossRef]
- Tao, G. Adaptive output tracking control with reference model system uncertainties. Automatica 2025, 174, 112174. [Google Scholar] [CrossRef]
- Hogan, N. Impedance control: An approach to manipulation. In Proceedings of the 1984 American Control Conference, San Diego, CA, USA, 6–8 June 1984; IEEE: Piscataway, NJ, USA, 1984; pp. 304–313. [Google Scholar]
- Hogan, N. Impedance control: An approach to manipulation: Part II—Implementation. J. Dyn. Syst. Meas. Control 1985, 107, 8–16. [Google Scholar] [CrossRef]
- Kong, L.; He, W.; Yang, C.; Li, Z.; Sun, C. Adaptive fuzzy control for coordinated multiple robots with constraint using impedance learning. IEEE Trans. Cybern. 2019, 49, 3052–3063. [Google Scholar] [CrossRef] [PubMed]
- Duan, J.; Gan, Y.; Chen, M.; Dai, X. Adaptive variable impedance control for dynamic contact force tracking in uncertain environment. Robot. Auton. Syst. 2018, 102, 54–65. [Google Scholar] [CrossRef]
- Blaya, J.A.; Herr, H. Adaptive control of a variable-impedance ankle-foot orthosis to assist drop-foot gait. IEEE Trans. Neural Syst. Rehabil. Eng. 2004, 12, 24–31. [Google Scholar] [CrossRef]
- Zhang, Y.; Li, T.; Tao, H.; Liu, F.; Hu, B.; Wu, M.; Yu, H. Research on adaptive impedance control technology of upper limb rehabilitation robot based on impedance parameter prediction. Front. Bioeng. Biotechnol. 2024, 11, 1332689. [Google Scholar] [CrossRef]
- Kim, J.; Guerrero, J.M.; Rodriguez, P.; Teodorescu, R.; Nam, K. Mode adaptive droop control with virtual output impedances for an inverter-based flexible AC microgrid. IEEE Trans. Power Electron. 2010, 26, 689–701. [Google Scholar] [CrossRef]
- Cespedes, M.; Sun, J. Adaptive control of grid-connected inverters based on online grid impedance measurements. IEEE Trans. Sustain. Energy 2014, 5, 516–523. [Google Scholar] [CrossRef]
- Dehghan, M.; Fateh, M.M.; Ghalehnoie, M. A fuzzy-supervised impedance control for an active suspension system. J. Vib. Eng. Technol. 2023, 11, 3257–3266. [Google Scholar] [CrossRef]
- Fateh, M.M.; Zirkohi, M.M. Adaptive impedance control of a hydraulic suspension system using particle swarm optimisation. Veh. Syst. Dyn. 2011, 49, 1951–1965. [Google Scholar] [CrossRef]
- Kang, S.; Kong, L.; Han, C.; Qiang, H.; Liu, K. Study on the impedance of active suspension drive unit under transverse slope condition based on track sensitivity. J. Braz. Soc. Mech. Sci. Eng. 2024, 46, 239. [Google Scholar] [CrossRef]
- Habibi, H. Control of Active Suspension Systems Based on Mechanical Wave Concepts. Actuators 2025, 14, 230. [Google Scholar] [CrossRef]
- ISO 8608:2016; Mechanical Vibration—Road Surface Profiles—Reporting of Measured Data. ISO: Geneva, Switzerland, 2016.
- GB/T 7031-2005; Mechanical Vibration—Road Surface Profiles—Reporting of Measured Data. Standards Press of China: Beijing, China, 2005.















| Parameter | Value |
|---|---|
| Sinkage Exponent (n) | 1.18 |
| Cohesive Modulus () | 7.9 |
| Friction Modulus () | 1735.74 |
| Class | Subjective Evaluation | |||
|---|---|---|---|---|
| Lower Limit | Geometric Mean | Upper Limit | ||
| A | - | 16 | 32 | Excellent |
| B | 32 | 64 | 128 | Good |
| C | 128 | 256 | 512 | Medium |
| D | 512 | 1024 | 2048 | Poor |
| Parameter & Unit | Value Range |
|---|---|
| Impedance Mass [kg] | 300∼2000 |
| Impedance Stiffness [N/m] | 0∼80,000 |
| Impedance Damping [N·s/m] | 0∼20,000 |
| Parameter | Symbol | Value | Unit |
|---|---|---|---|
| Sprung Mass | 400 | kg | |
| Unsprung Mass | 40 | kg | |
| Suspension Stiffness | 20,000 | N/m | |
| Suspension Damping | 2000 | N·s/m | |
| Tire Stiffness | 200,000 | N/m |
Disclaimer/Publisher’s Note: The statements, opinions and data contained in all publications are solely those of the individual author(s) and contributor(s) and not of MDPI and/or the editor(s). MDPI and/or the editor(s) disclaim responsibility for any injury to people or property resulting from any ideas, methods, instructions or products referred to in the content. |
© 2026 by the authors. Licensee MDPI, Basel, Switzerland. This article is an open access article distributed under the terms and conditions of the Creative Commons Attribution (CC BY) license.
Share and Cite
Zhao, J.; Liu, M.; Jin, X.; Du, Y.; Zhuang, Y. Variable Impedance Control for Active Suspension of Off-Road Vehicles on Deformable Terrain Considering Soil Sinkage. Vibration 2026, 9, 6. https://doi.org/10.3390/vibration9010006
Zhao J, Liu M, Jin X, Du Y, Zhuang Y. Variable Impedance Control for Active Suspension of Off-Road Vehicles on Deformable Terrain Considering Soil Sinkage. Vibration. 2026; 9(1):6. https://doi.org/10.3390/vibration9010006
Chicago/Turabian StyleZhao, Jiaqi, Mingxin Liu, Xulong Jin, Youlong Du, and Ye Zhuang. 2026. "Variable Impedance Control for Active Suspension of Off-Road Vehicles on Deformable Terrain Considering Soil Sinkage" Vibration 9, no. 1: 6. https://doi.org/10.3390/vibration9010006
APA StyleZhao, J., Liu, M., Jin, X., Du, Y., & Zhuang, Y. (2026). Variable Impedance Control for Active Suspension of Off-Road Vehicles on Deformable Terrain Considering Soil Sinkage. Vibration, 9(1), 6. https://doi.org/10.3390/vibration9010006

