Next Article in Journal
Uncertainty Propagation and Global Sensitivity Analysis of a Surface Acoustic Wave Gas Sensor Using Finite Elements and Sparse Polynomial Chaos Expansions
Previous Article in Journal
The Application of Micro-Vibratory Phenomena of a Shape-Memory Alloy Wire to a Novel Vibrator
 
 
Font Type:
Arial Georgia Verdana
Font Size:
Aa Aa Aa
Line Spacing:
Column Width:
Background:
Article

Residual Shift of Vibrotactile Perception Thresholds Following Repeated Hand-Arm Vibration Exposure: Screening Parameter for Early Signs of Neurosensory Disorders

National Institute of Occupational Safety and Health, 6-21-1, Nagao, Tama-Ku, Kawasaki 214-8585, Japan
Vibration 2023, 6(3), 599-609; https://doi.org/10.3390/vibration6030037
Submission received: 14 June 2023 / Revised: 19 July 2023 / Accepted: 28 July 2023 / Published: 1 August 2023

Abstract

Background: The purpose of this study was to validate the applicability of a new screening parameter of VPTW defined as the difference between the ascending and descending thresholds of vibrotactile perception to evaluation of the increasing risk of the neurological components of hand-arm vibration syndrome (HAVS) for repeated exposure to hand-arm vibration (HAV). Methods: Thirty subjects—10 old exposed (G1), 10 old non-exposed (G2), and 10 young non-exposed subjects (G3)—were required to carry out three 3 min grip tasks with exposure to two intensities of HAV at 10 min intervals. Vibration perception measurements, each of which lasted 90 s, were performed at 5 min intervals at the right index finger. Results: VPTWs calculated from pairs of the vibrotactile ascending and descending thresholds at the fingertips were not significantly affected by repeated HAV exposure. Moreover, the VPTWs measured for non-exposed subjects were almost invariant regardless of the subjects’ age or the time elapsed after repeated exposure to HAV. Residual TTSs at 125 Hz gradually recovered in all subject groups under both HAV exposure conditions. The residual TTSs of non-exposed subject groups significantly increased as the number of iterations of HAV exposure increased. Conclusions: VPTWs measured after exposure to repeated HAV are invariant and independent of the individual neurosensory characteristics of the fingertips, which supports the hypothesis that VPTWs can be used as a screening parameter to detect potential patients only with neurosensory components observed as early signs of HAVS.

1. Introduction

Prolonged exposure to hand-arm vibration (HAV) from the operation of hand-held power tools has been associated with the development of hand-arm vibration syndrome (HAVS) [1]. HAVS generally exhibits a complex combination of adverse health effects: peripheral vascular disease, peripheral neuropathy, and musculoskeletal disorders in the hand [2,3]. Above all, vibration-induced white finger (VWF), called Raynaud’s phenomenon, is one of the vascular components and is a typical symptom of HAVS. VWF is caused by an increased incidence of vasospasm in finger capillaries. The international standard ISO 5349-1 [4] regulates the risk assessment of HAVS in its annex by associating the level of vibration intensity and total exposure time with the prevalence of VWF. Moreover, the appearance of VWF has been one of the important parameters of judgment for the industrial accident compensation of HAVS.
Recently the focus has been on HAV patients with undiagnosed Raynaud’s phenomenon, including workers occupationally exposed to decades of HAV emitted from hand tools with relatively low-vibration intensities. These potential patients do not exhibit peripheral vascular manifestations, such as VWF, and complain mainly of neurosensory manifestations represented by hypoesthesia, tingling, numbness, and pain in the fingers. A recent study on a systematic review and meta-analysis of HAV and the risk of vascular and neurological disease showed that neurosensory damage occurred with a latency threefold shorter than VWF at the same HAV exposures [5]. This finding suggests that screening parameters of neurosensory components of HAVS represented by vibrotactile and thermotactile perceptions may be promising in detecting potential HAVS patients.
The author has developed a new indicator of vibrotactile sensation. This index is a kind of physical quantity that reflects the individual neurosensory characteristics of the fingertip and is not affected by environmental conditions or individual health conditions when measurements of vibrotactile perception are taken [6]. The study has reported that the difference between the ascending and descending thresholds of vibrotactile perception measured at the fingertip (denoted by VPTW) was nearly unchanged, indicating no acute effects of exposure to HAV. Moreover, VPTW is influenced by the long-term effect of HAV, such as occupational exposure from the use of hand-held power tools, which suggests that VPTW can evaluate the amount of worker’s HAV dose and hence the individual potential risk of HAVS. In contrast, a conventional parameter of vibrotactile perception threshold (VPT) is known to be sensitively affected by environmental and individual health conditions when the VPT measurement is performed. Only VPTs of already developed HAVS patients much larger than normal ones of healthy people have been used to detect HAVS patients with neurosensory damage to the fingers. Therefore, VPTWs can be a strong candidate for a screening parameter to detect potential patients only with neurosensory components observed as early symptoms of HAVS.
This study aimed to validate the applicability of a new screening parameter of VPTW to assess the increased risk of neurological components of HAVS to repeated HAV exposure. The author focused on VPTWs and residual shifts of VPTs observed during the recovery process after repeated HAV exposure. The findings obtained from this study can be used to evaluate the validity of VPTWs as a novel screening parameter for neurosensory components occurring before the main symptoms of HAVS.

2. Subjects and Methods

2.1. Subjects

Thirty healthy male subjects were recruited for this study. All 30 subjects were non-smokers and reported no HAVS symptoms, including cardiovascular or neurological disorders in their hands. The subjects were classified into three groups. Group 1 (G1) included 10 male subjects aged 60 years or older who have been occupationally exposed to HAV for at least twenty years. These old exposed subjects were composed of construction workers, exterior construction workers, and carpenters. The daily vibration exposure level A(8) estimated on the basis of a preliminary questionnaire ranged from 2.5 m/s2 to 3.3 m/s2. The average A(8) of Group 1 subjects was 2.8 m/s2. Group 2 (G2) consisted of 10 unexposed male subjects aged more than 60 years, and Group 3 (G3) consisted of 10 control male subjects aged 20–30 years who were not occupationally exposed to HAV. None of the G2 and G3 subjects had previously used hand-held power tools regularly for professional or recreational purposes. The mean ages of the three target groups were 65.8 years (ranging from 63 to 71 years) for G1, 70.8 years (ranging from 66 to 75 years) for G2, and 21.8 years (ranging from 20 to 24 years) for G3. Additional anthropometric data for the subjects are summarized in Table 1.
Subjects were asked to abstain from caffeine consumption for 4 h before and during the test. All subjects were briefed on the study procedures and received an explanation of the test procedure and provided written informed consent to participate in this study. The experimental protocol was approved by the Research Ethics Committee of the National Institute of Occupational Safety and Health, Japan (application number 2020N-1-17).

2.2. Apparatus

This study used a vibrotactile sensation meter (Type AU-06; Rion Co. Ltd., Tokyo, Japan) compliant with the specification defined in ISO 13091-1 (2021) [7]. The diameter of the probe used in this vibrotactile sensation meter is 4.0 mm, and the diameter of the contact area at the fingertip is 4.0 ± 2.0 mm, which yields the gap between the stimulating probe and the surround of 1.5 ± 0.6 mm. Probe-to-finger contact is classified as Method B according to ISO 13091-1.
Vibrotactile perception was measured at two test frequencies of 31.5 Hz and 125 Hz, which are within the response range of mechanoreceptors FA I and FA II, respectively. The choice of test frequency is based on the results of previous experimental studies, according to which daily shifts in fingertip VPT at 125 Hz and 31.5 Hz are likely to be more sensitively evoked than those at other frequencies [8,9,10,11]. These test frequencies have also been frequently used in other studies and their selection makes it possible to compare the data obtained from this study with those previously reported in other studies.
Subjects were instructed to place the tip of their right index finger so that the center of the distal phalanx coincided with the center of the probe. The subjects were advised to hold the response button on the left hand and were instructed to press the response button when they felt the vibration and release the response button when the vibration was no longer felt. The von Békésy algorithm was applied to the presentation of a test stimulus. The intensity of the test stimulus was automatically changed with an increasing or decreasing rate of 2.5 dB/s.

2.3. Experimental Condition

As shown in Figure 1, a pseudo-random vibration signal was designed such that the power spectrum density (PSD) was constant at 1.0 (m/s2)2/Hz over the frequency range of 6.3 to 1250 Hz. The frequency-weighted acceleration magnitude of this vibration signal is 5.9 m/s2 (r.m.s.). Another vibration signal segment was constructed by analogously rescaling the frequency contents of the original signal segment so that the weighted r.m.s. acceleration magnitude corresponds to 5.3 m/s2. The choice of vibration acceleration magnitudes in this study is based on previous reports investigating the vibration acceleration magnitudes of hand tools available in the domestic market. According to the report, several common hand tools, including pneumatic impact wrenches, grinders, hammer drills, and chainsaws, have average weighted vibration accelerations in the range of 5.0 to 6.0 m/s2.
Eighteen vibration signal segments with the same vibration magnitude (5.9 or 5.3 m/s2) were connected in series to construct two sets of HAV test signals. A signal sequence was designed to simulate the operation of a hand-held power tool, commonly used in production lines. One vibration sequence was composed of six vibration signal segments, each segment lasting 30 s followed by an interval of 5 s. Subjects were intermittently exposed to three sequences of HAV, each followed by a 10 min break. Subjects were, therefore, fully exposed to HAV for 9 min (see Figure 2).
Prior to the experiment of VPT measurements, each subject was exposed to HAV by grasping an experimental handle attached to a uniaxial HAV test rig [12]. The test rig was driven using an electro-dynamic exciter (VE-100S; IMV Corporation Ltd., Osaka, Japan) oriented for horizontal oscillation, to which the test handle was attached. The handle is vertically oriented and its geometry is cylindrical with a diameter of 40 mm and a handle length of 100 mm. The handle consists of the handle base and measuring cap, between which two piezoelectric uniaxial force sensors (9212; Kistler Inc., Winterthur, Switzerland) were sandwiched on the handle centerline to measure the grip force. An accelerometer (356A12; PCB Piezotronics Inc., New York, USA) was fixed to the center of the measuring cap to measure the vibration acceleration at the handle in the fore-aft direction. The resonant frequency of the handle is much higher than the frequency range of interest (6.3–1250 Hz) in this study. A force plate was fixed to the floor, and the horizontal reaction force acting between the subject’s foot and the plate surface was measured. This reaction force balances with the compressive force acting on the handle.

2.4. Experimental Procedure

The experiments were performed at a room temperature of 23 ± 2 °C. The subjects were required to wear earplugs with a noise reduction rate (NRR) of 31 dB to block ambient noise in the room, the main causes of which are the noise of the signal processing unit of the vibration test rig and the noise of the air conditioner in the room. Since the background noise level measured prior to the experiment was 80 dBA, it was expected that subjects wearing the earplugs would experience a noise level of less than 70 dBA.
The posture conditions applied to subjects in the HAV exposure task were based on the ISO 10,819 test protocol [13]. As shown in Figure 3, the subject was required to stand up straight in front of the shaker and use the right hand to grasp the experimental handle horizontally connected to the shaker shaft. The subjects were also encouraged to keep their right forearm horizontally aligned, with a wrist angle between 0 and 40 degrees and an elbow angle of 90 ± 10 degrees. The upper arm should also not touch the subject’s body. During HAV exposure for thirty seconds, the subjects are required to control the grip force to 30 ± 5 N and the feed force on the handle to 50 ± 8 N. During 5 min intervals between HAV exposure segments, the subjects let go of the handle and relaxed their right hand.
Immediately after being exposed to the vibration, the subjects were seated in a chair with a backrest and instructed to rest their right forearm relaxed on an arm holder. The subjects were then advised to place the right index finger so that the center of the probe is located between the center of the fingerprint whorl and the distal corners of the fingernail. A series of VPT measurements were performed on the exposed index finger at test frequencies of 125 Hz and 31.5 Hz. VPT measurements were performed in descending order of frequency. It took 90 s to complete a series of VPT measurements. Acute sensorineural responses were measured immediately after each HAV challenge task and then every 5 min for 90 s until the elapsed time of 10 min. At every interval of a series of VPT measurements, the subjects removed the index finger from the probe and allowed the finger to relax.

2.5. Data Analysis

A hysteresis model that establishes a loop-like relationship between vibrotactile perception and vibration stimuli was used in this study [6]. The concept of this hysteresis model proposed by the author has been explained in detail in a previous study, so only a brief description of the hysteresis model is given in this article. The subjective response represented by vibrotactile perception to increasing vibratory stimuli differs from that to decreasing vibratory stimuli, resulting in different thresholds for ascending and descending processes. Although ascending and descending thresholds are apparently affected by environmental conditions, such as the ambient temperature and by acute effects of fingertip physiological and biomechanical conditions [14,15,16], the difference between these thresholds denoted by vibrotactile perception threshold width (VPTW) is not significantly affected by the conditions mentioned above. VPT was determined by averaging three pairs of ascending and descending threshold values according to ISO 13091-1. The first peak-trough pair was excluded from the VPT and VPTW calculations. A temporary threshold shift (TTS) of a VPT at the elapsed time t after the cessation of exposure to HAV was defined as the shift in VPT values at time t from the baseline VPT measured before HAV exposure.

2.6. Statistical Analysis

A univariate general linear model analysis of variance (ANOVA) was performed to elucidate key elements of the experimental data. All ANOVAs were carried out by using the statistical software SPSS (version 14.0). Analytical results were considered significant at a level of p < 0.05. Multiple post hoc comparisons between VPTW data measured at different elapsed times were performed using Tukey’s method.
Anthropometric data on subjects’ height, weight, and other parameters related to hand size were excluded from the main ANOVA variables as no significant differences were observed between baseline TTSs and these anthropometric data.

3. Results

Mean baseline VPTs measured before the HAV exposure experiment are summarized in Table 2 for the three subject groups. A preliminary ANOVA performed on the baseline VPT of the three groups of subjects revealed that anthropometric data on subjects’ height, weight, and other hand size parameters (palm length, width, and circumference) did not significantly affect the baseline VPTs. The main effects of age and exposure experience were observed for VPTs at 125 Hz (p < 0.05). The mean baseline VPT at 125 Hz was significantly greater in G1 than that in G2 (p < 0.05) and G3 (p < 0.05). The main effect of Exposure experience was observed for VPTs at 31.5 Hz (p < 0.01). However, no main effect of age was observed for VPTs at 31.5 Hz (p = 0.13). The mean baseline VPT at 31.5 Hz was significantly greater in G1 than that in G2 (p < 0.01) and G3 (p < 0.001). No significant difference was observed between VPTs at 31.5 Hz in G2 and those in G3 (p = 0.20).
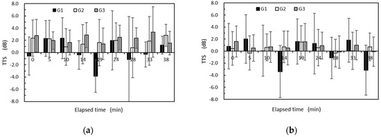
Figure 4a,b show the mean TTSs of vibrotactile perception measured after exposure to high and low HAV at a VPT test frequency of 125 Hz. Regardless of subject groups, recovery of TTSs was observed under both HAV exposure conditions. Residual threshold shifts tend to increase with an increasing number of HAV exposure iterations. Table 3 summarizes the results of mixed-design ANOVAs performed on TTSs at a test frequency of 125 Hz. Only the main effect of time elapsed (T) was significant (p < 0.001). A significant interaction effect was observed only between vibration intensity (V) and exposure experience (E) (p < 0.001).
Residual TTSs 10 min after the end of repeated exposure to HAV at a test frequency of 125 Hz were summarized in Table 4. Regardless of the number of repetitions of high HAV exposure, residual TTSs of old exposed subjects (G1) 10 min after the end of repeated high HAV exposure at 125 Hz were smaller than those of non-exposed subjects (G2 and G3). However, the residual TTSs of G1 did not significantly increase as the number of iterations of high HAV exposure increased. In contrast, the residual TTSs of G2 and G3 significantly increased as the number of iterations of HAV exposure increased. When the subjects were exposed to low HAV, no significant correlation was observed between residual TTSs 10 min after the end of repeated low HAV and the number of iterations of low HAV exposure.
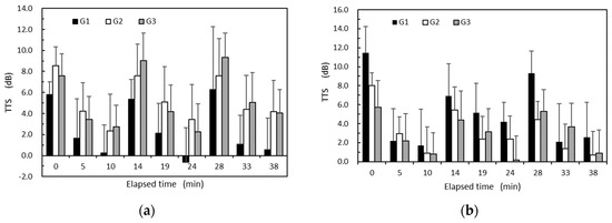
The average TTSs of vibrotactile perception measured at 5 min intervals after exposure to high HAV at a VPT test frequency of 31.5 Hz are shown in Figure 5a, and the TTSs after exposure to low HAV are shown in Figure 5b. After three repeated exposures to HAV, no TTS recovery was observed in any subject group. Negative TTS values were occasionally observed in G1, indicating a VPT lower than the baseline VPT. Table 5 shows the results of mixed-design ANOVAs performed on TTSs at 31.5 Hz. All other main effects except age were observed to be significant (p < 0.05). Significant interaction effects were observed between vibration intensity (V) and time elapsed (T) (p < 0.05) and between time elapsed (T) and exposure experience (E) (p < 0.05). Regardless of the intensity of HAV, no significant correlation was observed between residual TTSs 10 min after the end of repeated HAV and the number of iterations of HAV exposure.
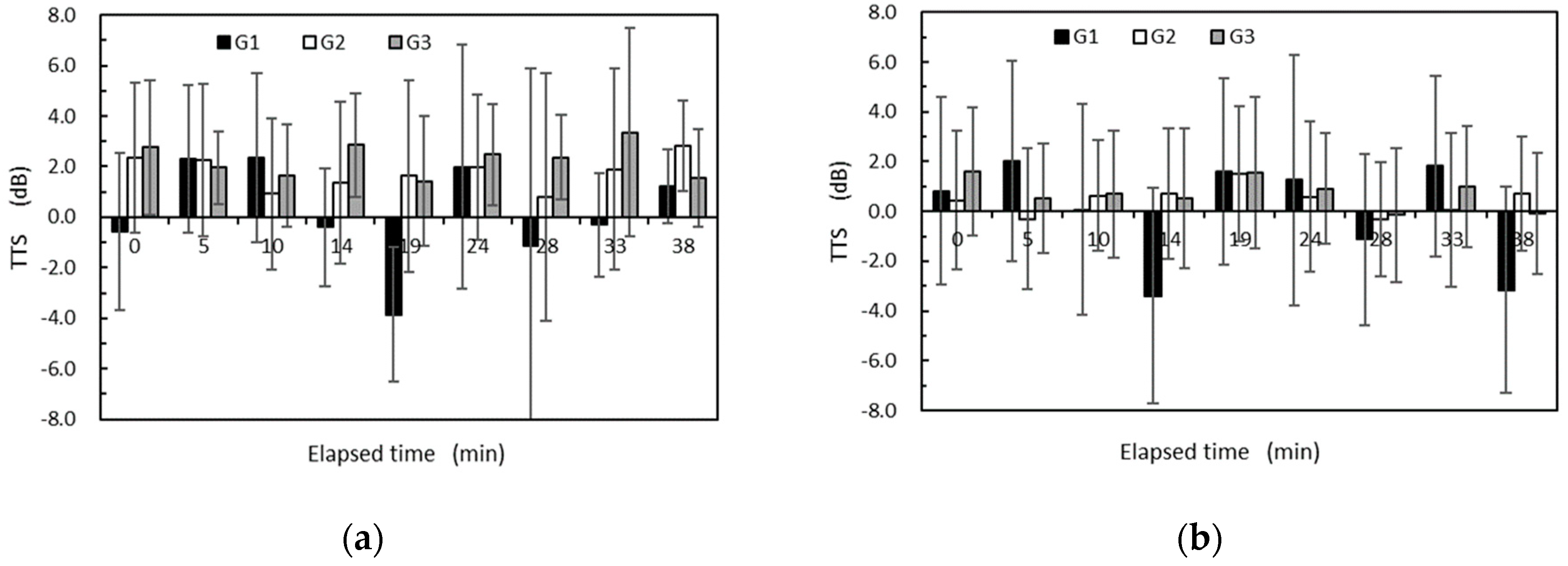
Figure 6a,b show the average VPTWs calculated at 5 min intervals after three repeated exposures to high HAV at a VPT test frequency of 125 Hz and the average VPTWs calculated after exposure to low HAV. The mean VPTWs for G2 and G3 did not change significantly over time after every exposure to 3-min HAV. In contrast, the mean VPTWs for G1 fluctuated over time. The mean VPTWs for G1 were always greater than those for G2 and G3. As shown in Figure 7, the same tendency was observed for mean VPTWs calculated at 5 min intervals after three repeated exposures to HAV at a VPT test frequency of 31.5 Hz.
Table 6 shows the results of mixed-design ANOVAs performed for VPTWs by using age (young and old), exposure experience (exposed and non-exposed), and vibration intensity (high and low) as variables, and the repeated measure of time elapsed (five minutes interval from post-exposure up to 10 min). The main effect of exposure experience was significant (p < 0.001) for VPTWs at 125 Hz. In contrast, the main effects of exposure experience (p < 0.001) and vibration intensity (p < 0.05) were significant for VPTWs at 31.5 Hz. No significant interaction effects were observed for any combination of variables.

4. Discussion

The major finding of this study is that VPTWs calculated from differences between descending and ascending vibrotactile thresholds at the fingertips are unaffected by repeated exposure to HAV. Moreover, the VPTWs obtained from unexposed subject groups changed little regardless of the subjects’ age or the elapsed time after repeated exposure to HAV. These results support the hypothesis that the VPTW is a kind of physical quantity independent of the individual neurosensory properties at the fingertips. Furthermore, the VPTWs of occupationally HAV-exposed old subjects were consistently greater than the VPTWs of unexposed old subjects, suggesting that VPTWs are affected by the long-term effect of occupational HAV exposure. Therefore, VPTWs can help us find potential patients only with neurosensory components observed as an early sign of HAVS.
As is the case in the author’s previous study, the results obtained in this study indicate that a test frequency of 125 Hz is superior to 31.5 Hz for measuring fingertip vibrotactile sensation. No recovery of TTS was observed for VPTs at 31.5 Hz, whereas recovery of TTS was observed for VPTs at 125 Hz. According to a previous report, fingertip VPT measurements at 125 Hz are the most sensitive. The difference in the frequency response of vibrotactile perception is related to the differences in the sensitivity of mechanoreceptors FA I and FA II; FA I covers 31.5 Hz and FA II 125 Hz.
Although recovery parameters derived from a time-course change in TTSs greatly vary depending on individual health conditions and baseline VPTs, a gradual increase in residual TTSs at 125 Hz 10 min after repeated exposure to HAV was observed to be characteristic of non-exposed subjects. Thus, residual TTS at 125 Hz short-term after repeated exposure to HAV can be used as a screening parameter in combination with VPTWs to identify potential patients only with neurosensory components of HAVS. As shown in the previous study [6], residual TTSs at 125 Hz after exposure to repeated HAV exhibits recovery following a first-order model [17]. Moreover, the recovery process observed in residual TTSs at a test frequency of 125 Hz is more sensitive and greater than that at 31.5 Hz, which supports the tendency reported in a previous study [11]. If the intensity of exposed HAV is low, the TTS of a vibrotactile perception observed after HAV exposure is small and sometimes shows a negative value because of measurement errors and variations in individual response.
There are some limitations in this study. Acquisition of VPT and VPTW data is limited to male subjects. This is based on the fact that most workers who are occupationally exposed to HAV are males. Female VPTW behavior will be necessary to investigate the viewpoint of human response to vibration. Future studies have to consider the effects of exposure to repeated shocks or different PSD on VPTW and a selection of the intensity of repeated exposure to HAV, which is not harmful but effective to acute neurosensory response to HAV.

5. Conclusions

This study showed that vibrotactile perception threshold widths (VPTWs) measured after repeated HAV exposure are invariant and are independent of individual neurosensory properties of fingertips. This finding reinforces the hypothesis that VPTWs can be effective in detecting potential patients only with the neurosensory component observed as an early sign of HAVS. VPTWs proposed by the author in a previous study are based on the difference between descending and ascending thresholds measured during the recovery process after HAV exposure. Although the baseline VPTs often used as a screening parameter for the diagnosis of HAVS depend on neurosensory properties at fingertips and the environmental conditions, such as ambient temperature, VPTWs are independent of these kinds of fingertip characteristics and environmental conditions. In the future, the screening accuracy of potential patients of HAVS is expected to be improved by using VPTWs in combination with residual TTS as an indicator of early signs of neurosensory components in HAVS.

Funding

This research received no external funding.

Data Availability Statement

Experimental data are available from the corresponding author upon reasonable request.

Acknowledgments

The author would like to thank Sachiko Yamaguchi-Sekino for supporting the acquisition of experimental data on vibrotactile perception thresholds.

Conflicts of Interest

The author declares no conflict of interest.

References

  1. Taylor, W.F. Hand-arm vibration syndrome—Diagnosis, assessment and objective tests: A review. J. R. Society Med. 1993, 86, 101–103. [Google Scholar]
  2. Bovenzi, M. Medical aspects of the hand-arm vibration syndrome. Int. J. Ind. Ergon. 1990, 6, 61–73. [Google Scholar] [CrossRef]
  3. Pelmear, P.L.; Wasserman, D.E. Hand-Arn Vibration: A Conprehensive Guide for Occupational Health Professionals, 2nd ed.; OEM Press: Beverly Farms, MA, USA, 1998. [Google Scholar]
  4. ISO5349-1; Mechanical Vibration—Measurement and Evaluation of Human Exposure to Hand-Transmitted Vibration—Part 1: General Requirements. International Organization for Standardization: Geneva, Switzerland, 2001.
  5. Nilsson, T.; Wahlstrom, J.; Burstrom, L. Hand-arm vibration and the risk of vascular and neurological diseases—A systematic review and meta-analysis. PLoS ONE 2017, 12, e0180795. [Google Scholar] [CrossRef] [PubMed]
  6. Shibata, N. Vibrotactile perception thresholds following short-term exposure to hand–arm vibration: Application for identifying potential workers at risk of neurosensory disorders. Vibration 2022, 5, 803–816. [Google Scholar] [CrossRef]
  7. ISO13091-1; Mechanical Vibration—Vibrotactile Perception Thresholds for the Assessment of Nerve Dysfunction—Part 1: Methods of Measurement at the Fingertips. International Organization for Standardization: Geneva, Switzerland, 2021.
  8. Bovenzi, M.; Apostoli, P.; Alessandro, G.; Vanoni, O. Changes over a workshift in aesthesiometric and vibrotactile perception thresholds of workers exposed to intermittent hand transmitted vibration from impact wrenches. Occup. Environ. Med. 1997, 54, 577–587. [Google Scholar] [CrossRef]
  9. Burström, L.; Lundström, R.; Hagberg, M.; Nilsson, T. Vibrotactile perception and effects of short-term exposure to hand-arm vibration. Ann. Occup. Hyg. 2009, 53, 539–547. [Google Scholar]
  10. Harada, N.; Griffin, M.J. Factors influencing vibration sense thresholds used to assess occupational exposures to hand transmitted vibration. Br. J. Ind. Med. 1991, 48, 185–192. [Google Scholar] [CrossRef] [PubMed]
  11. Malchaire, J.; Diaz, L.S.R.; Piette, A.; Amaral, F.G.; de Schaetzen, D. Neurological and functional effects of short-term exposure to hand-arm vibration. Int. Arch. Occup. Environ. Health 1998, 71, 270–276. [Google Scholar] [CrossRef] [PubMed]
  12. Shibata, N.; Hosoya, N.; Maeda, S. Establishment of one-axis vibration test system for measurement of biodynamic response of human hand-arm system. Ind. Health 2008, 46, 629–634. [Google Scholar] [CrossRef] [PubMed][Green Version]
  13. ISO10819; Mechanical Vibration and Shock—Hand-Arm Vibration—Method for the Measurement and Evaluation of the Vibration Transmissibility of Gloves at the Palm of the Hand. International Organization for Standardization: Geneva, Switzerland, 2013.
  14. Lundstrom, R.; Stromberg, T.; Lundborg, G. Vibrotactile perception threshold measurements for diagnosis of sensory neuropathy. Description of a reference population. Int. Arch. Occup. Environ. Health 1992, 64, 201–207. [Google Scholar] [CrossRef] [PubMed]
  15. Ahrend, K.D.; Hartung, E.; Dupuis, H. The vibrotactile threshold (VT) at the fingertips of chain saw operators. Cent. Eur. J. Public Health 1995, 3, 85–87. [Google Scholar] [PubMed]
  16. Lundström, R.; Nilsson, T.; Burström, L.; Hagberg, M. Exposure-response relationship between hand-arm vibration and vibrotactile perception sensitivity. Am. J. Ind. Med. 1999, 35, 456–464. [Google Scholar] [CrossRef]
  17. Malchaire, J.; Piette, A.; Diaz, L.S.R. Temporary threshold shift of the vibration perception threshold following a short duration exposure to vibration. Ann. Occup. Hyg. 1998, 42, 121–127. [Google Scholar] [CrossRef] [PubMed]
Figure 1. Power spectrum density of pseudo-random vibration signals used in this study.
Figure 1. Power spectrum density of pseudo-random vibration signals used in this study.
Vibration 06 00037 g001
Figure 2. Time schedule of VPT measurements after repeated exposure to HAV.
Figure 2. Time schedule of VPT measurements after repeated exposure to HAV.
Vibration 06 00037 g002
Figure 3. Subject’s posture condition at the grip task with exposure to HAV and that at the VPT measurement.
Figure 3. Subject’s posture condition at the grip task with exposure to HAV and that at the VPT measurement.
Vibration 06 00037 g003
Figure 4. Temporary threshold shift (TTS) of vibrotactile perception at a test frequency of 125 Hz after exposure to high HAV (a) and low HAV (b). G1 denotes the old-exposed group, G2 the old non-exposed group, and G3 the young non-exposed group.
Figure 4. Temporary threshold shift (TTS) of vibrotactile perception at a test frequency of 125 Hz after exposure to high HAV (a) and low HAV (b). G1 denotes the old-exposed group, G2 the old non-exposed group, and G3 the young non-exposed group.
Vibration 06 00037 g004
Figure 5. Temporary threshold shift (TTS) of vibrotactile perception at a test frequency of 31.5 Hz after exposure to high HAV (a) and low HAV (b). G1 denotes the old-exposed group, G2 the old non-exposed group, and G3 the young non-exposed group.
Figure 5. Temporary threshold shift (TTS) of vibrotactile perception at a test frequency of 31.5 Hz after exposure to high HAV (a) and low HAV (b). G1 denotes the old-exposed group, G2 the old non-exposed group, and G3 the young non-exposed group.
Vibration 06 00037 g005
Figure 6. Vibrotactile perception threshold width (VPTW) at a VPT test frequency of 125 Hz after exposure to high HAV (a) and low HAV (b). G1 denotes the old-exposed group, G2 the old non-exposed group, and G3 the young non-exposed group.
Figure 6. Vibrotactile perception threshold width (VPTW) at a VPT test frequency of 125 Hz after exposure to high HAV (a) and low HAV (b). G1 denotes the old-exposed group, G2 the old non-exposed group, and G3 the young non-exposed group.
Vibration 06 00037 g006
Figure 7. Vibrotactile perception threshold width (VPTW) at a VPT test frequency of 31.5 Hz after exposure to high HAV (a) and low HAV (b). G1 denotes the old-exposed group, G2 the old non-exposed group, and G3 the young non-exposed group.
Figure 7. Vibrotactile perception threshold width (VPTW) at a VPT test frequency of 31.5 Hz after exposure to high HAV (a) and low HAV (b). G1 denotes the old-exposed group, G2 the old non-exposed group, and G3 the young non-exposed group.
Vibration 06 00037 g007
Table 1. Anthropometry of subject groups. (average ± SD).
Table 1. Anthropometry of subject groups. (average ± SD).
Subject GroupAge (Years)Height (cm)Weight (kg)
G1 (Old exposed)65.8 ± 2.3170.0 × 4.176.0 ± 10.2
G2 (Old non-exposed)70.8 ± 3.3164.1 ± 6.959.8 ± 8.2
G3 (Young non-exposed)21.8 ± 1.5174.1 ± 4.864.1 ± 12.1
Table 2. Mean baseline VPTs at two test frequencies in the subject groups.
Table 2. Mean baseline VPTs at two test frequencies in the subject groups.
Subject GroupBaseline VPT: Mean ± SD (dB)
125 Hz31.5 Hz
G1 (Old exposed)116.1 ± 2.7107.9 ± 2.1
G2 (Old non-exposed)111.1 ± 6.5103.7 ± 4.1
G3 (Young non-exposed)104.2 ± 4.0101.3 ± 3.1
Table 3. ANOVA results of TTS at a VPT test frequency of 125 Hz.
Table 3. ANOVA results of TTS at a VPT test frequency of 125 Hz.
SourceSum of SquaresdfF Valuep Value
Main effects
   Vibration intensity (V)0.75610.0380.845
   Time elapsed (T)2101.698813.374<0.001
   Age (A)1.01310.0520.820
   Exposure experience (E)17.33610.8830.348
Interaction effects
   V × T110.67180.7040.688
   V × A1.77810.0910.764
   V × E490.467124.968<0.001
   T × A98.80480.6290.754
   T × E86.82080.5520.817
Table 4. Residual TTSs at 125 Hz 10 min after every exposure to HAV.
Table 4. Residual TTSs at 125 Hz 10 min after every exposure to HAV.
Subject Group T T S i 10 :   Residual   TTS   after   i   th   Exposure   to   HAV
High HAVLow HAV
T T S 1 10 T T S 2 10 T T S 3 10   T T S 1 10   T T S 2 10 T T S 3 10  
G10.3 ± 2.4−0.6 ± 1.90.5 ± 2.01.7 ± 4.54.2 ± 5.12.6 ± 5.4
G22.3 ± 3.33.4 ± 2.74.2 ± 3.00.9 ± 8.22.4 ± 4.60.7 ± 6.4
G32.8 ± 2.22.6 ± 2.94.0 ± 2.60.8 ± 3.10.2 ± 3.60.9 ± 5.6
Table 5. ANOVA results of TTSs at a VPT test frequency of 31.5 Hz.
Table 5. ANOVA results of TTSs at a VPT test frequency of 31.5 Hz.
SourceSum of SquaresdfF Valuep Value
Main effects
   Vibration intensity (V)68.20816.218<0.05
   Time elapsed (T)198.02782.257<0.05
   Age (A)13.34011.2160.271
   Exposure experience (E)95.48118.705<0.05
Interaction effects
   V × T185.77582.117<0.05
   V × A0.99210.0900.764
   V × E28.90012.6350.105
   T × A34.16880.3890.926
   T × E191.15782.178<0.05
Table 6. ANOVA results of VPTW at VPT test frequencies of 125 Hz and 31.5 Hz.
Table 6. ANOVA results of VPTW at VPT test frequencies of 125 Hz and 31.5 Hz.
SourceSum of SquaresdfF Valuep Value
125 Hz
   Vibration intensity (V)5.95510.7490.387
   Time elapsed (T)76.02681.1950.300
   Age (A)0.62510.0790.779
   Exposure experience (E)857.1671107.751<0.001
31.5 Hz
   Vibration intensity (V)52.59415.041<0.05
   Time elapsed (T)39.32580.4710.877
   Age (A)0.10710.0100.919
   Exposure experience (E)1192.4641114.301<0.001
Disclaimer/Publisher’s Note: The statements, opinions and data contained in all publications are solely those of the individual author(s) and contributor(s) and not of MDPI and/or the editor(s). MDPI and/or the editor(s) disclaim responsibility for any injury to people or property resulting from any ideas, methods, instructions or products referred to in the content.

Share and Cite

MDPI and ACS Style

Shibata, N. Residual Shift of Vibrotactile Perception Thresholds Following Repeated Hand-Arm Vibration Exposure: Screening Parameter for Early Signs of Neurosensory Disorders. Vibration 2023, 6, 599-609. https://doi.org/10.3390/vibration6030037

AMA Style

Shibata N. Residual Shift of Vibrotactile Perception Thresholds Following Repeated Hand-Arm Vibration Exposure: Screening Parameter for Early Signs of Neurosensory Disorders. Vibration. 2023; 6(3):599-609. https://doi.org/10.3390/vibration6030037

Chicago/Turabian Style

Shibata, Nobuyuki. 2023. "Residual Shift of Vibrotactile Perception Thresholds Following Repeated Hand-Arm Vibration Exposure: Screening Parameter for Early Signs of Neurosensory Disorders" Vibration 6, no. 3: 599-609. https://doi.org/10.3390/vibration6030037

APA Style

Shibata, N. (2023). Residual Shift of Vibrotactile Perception Thresholds Following Repeated Hand-Arm Vibration Exposure: Screening Parameter for Early Signs of Neurosensory Disorders. Vibration, 6(3), 599-609. https://doi.org/10.3390/vibration6030037

Article Metrics

Back to TopTop