The Acute Effects of Whole Body Vibration on Isometric Mid-Thigh Pull Performance
Abstract
1. Introduction
2. Methods
3. Discussion
Author Contributions
Funding
Acknowledgments
Conflicts of Interest
References
- Cormie, P.; Deane, R.S.; Triplett, N.T.; McBride, J.M. Acute effects of whole-body vibration on muscle activity, strength, and power. J. Strength Cond. Res. 2006, 20, 257–261. [Google Scholar] [PubMed]
- Adams, J.B.; Edwards, D.; Serravite, D.H.; Bedient, A.M.; Huntsman, E.; Jacobs, K.A.; Del Rossi, G.; Roos, B.A.; Signorile, J.F. Optimal frequency, displacement, duration, and recovery patterns to maximize power output following acute whole-body vibration. J. Strength Cond. Res. 2009, 23, 237–245. [Google Scholar] [CrossRef] [PubMed]
- Cardinale, M.; Leiper, J.; Erskine, J.; Milroy, M.; Bell, S. The acute effects of different whole body vibration amplitudes on the endocrine system of young healthy men: A preliminary study. Clin. Physiol. Funct. Imaging 2006, 26, 380–384. [Google Scholar] [CrossRef] [PubMed]
- Cardinale, M.; Bosco, C. The use of vibration as an exercise intervention. Exerc. Sport Sci. Rev. 2003, 31, 3–7. [Google Scholar] [CrossRef]
- Cardinale, M.; Pope, M.H. The effects of whole body vibration on humans: Dangerous or advantageous? Acta Physiol. Hung. 2003, 90, 195–206. [Google Scholar] [CrossRef]
- Lamont, H.S.; Cramer, J.T.; Bemben, D.A.; Shehab, R.L.; Anderson, M.A.; Bemben, M.G. Effects of adding whole body vibration to squat training on isometric force/time characteristics. J. Strength Cond. Res. 2010, 24, 171–183. [Google Scholar] [CrossRef]
- Pojskic, H.; Pagaduan, J.; Uzicanin, E.; Babajic, F.; Muratovic, M.; Tomljanovic, M. Acute effects of loaded whole body vibration training on performance. Asian J. Sports Med. 2015, 6, 1. [Google Scholar] [CrossRef]
- Delecluse, C.; Roelants, M.; Verschueren, S. Strength increase after whole-body vibration compared with resistance training. Med. Sci. Sports Exerc. 2003, 35, 1033–1041. [Google Scholar] [CrossRef]
- Roelants, M.; Delecluse, C.; Goris, M.; Verschueren, S. Effects of 24 weeks of whole body vibration training on body composition and muscle strength in untrained females. Int. J. Sports Med. 2004, 25, 1–5. [Google Scholar] [CrossRef]
- Ronnestad, B.R. Comparing the performance-enhancing effects of squats on a vibration platform with conventional squats in recreationally resistance-trained men. J. Strength Cond. Res. 2004, 18, 839–845. [Google Scholar] [CrossRef]
- Torvinen, S.; Kannus, P.; Sievanen, H.; Jarvinen, T.A.; Pasanen, M.; Kontulainen, S.; Jarvinen, T.L.; Jarvinen, M.; Oja, P.; Vuori, I. Effect of four-month vertical whole body vibration on performance and balance. Med. Sci. Sports Exerc. 2002, 34, 1523–1528. [Google Scholar] [CrossRef] [PubMed]
- Bosco, C.; Colli, R.; Introini, E.; Cardinale, M.; Tsarpela, O.; Madella, A.; Tihanyi, J.; Viru, A. Adaptive respsonses of human skeletal muscle to vibration exposure. Clin. Physiol. 1999, 19, 183. [Google Scholar] [CrossRef] [PubMed]
- Torvinen, S.; Kannu, P.; Sievanen, H.; Jarvinen, T.A.; Pasanen, M.; Kontulainen, S.; Jarvinen, T.L.; Jarvinen, M.; Oja, P.; Vuori, I. Effect of a vibration exposure on muscular performance and body balance. Randomized cross-over study. Clin. Physiol. Funct. Imaging 2002, 22, 145–152. [Google Scholar] [CrossRef]
- McBride, J.M.; Nuzzo, J.L.; Dayne, A.M.; Israetel, M.A.; Nieman, D.C.; Triplett, N.T. Effect of an acute bout of whole body vibration exercise on muscle force output and motor neuron excitability. J. Strength Cond. Res. 2010, 24, 184–189. [Google Scholar] [CrossRef]
- Ronnestad, B.R. Acute effects of various whole-body vibration frequencies on lower-body power in trained and untrained subjects. J. Strength Cond. Res. 2009, 23, 1309–1315. [Google Scholar] [CrossRef] [PubMed]
- Issurin, V.; Tenenbaum, G. Acute and residual effects of vibratory stimulation on explosive strength in elite and amateur athletes. J. Sports Sci. 1999, 17, 177–182. [Google Scholar] [CrossRef] [PubMed]
- Cazás-Moreno, V.L.; Gdovin, J.R.; Williams, C.C.; Allen, C.R.; Fu, Y.-C.; Brown, L.E.; Garner, J.C., III. Influence of whole body vibration and specific warm-ups on force during an isometric mid-thigh pull. Int. J. Kinesiol. Sports Sci. 2015, 3, 31–39. [Google Scholar]
- Bosco, C.; Cardinale, M.; Tsarpela, O. Influence of vibration on mechanical power and electromyogram activity in human arm flexor muscles. Eur. J. Appl. Physiol. 1999, 79, 306–311. [Google Scholar] [CrossRef]
- Cardinale, M.; Lim, J. Electromyography activity of vastus lateralis muscle during whole-body vibrations of different frequencies. J. Strength Cond. Res. 2003, 17, 621–624. [Google Scholar]
- Jordan, M.J.; Norris, S.R.; Smith, D.J.; Herzog, W. Vibration training: An overview of the area, training consequences, and future considerations. J. Strength Cond. Res. 2005, 19, 459–466. [Google Scholar] [CrossRef]
- Issurin, V.; Liebermann, D.; Tenenbaum, G. Effect of vibratory stimulation training on maximal force and flexibility. J. Sports Sci. 1994, 12, 561–566. [Google Scholar] [CrossRef] [PubMed]
- Burke, J.R.; Schutten, M.C.; Koceja, D.M.; Kamen, G. Age-dependent effects of muscle vibration and the Jendrassik maneuver on the patellar tendon reflex response. Arch. Phys. Med. Rehabil. 1996, 77, 600–604. [Google Scholar] [CrossRef]
- Wilcock, I.M.; Whatman, C.; Harris, N.; Keogh, J.W. Vibration training: Could it enhance the strength, power, or speed of athletes? J. Strength Cond. Res. 2009, 23, 593–603. [Google Scholar] [PubMed]
- Martin, B.J.; Park, H.-S. Analysis of the tonic vibration reflex: Influence of vibration variables on motor unit synchronization and fatigue. Eur. J. Appl. Physiol. 1997, 75, 504–511. [Google Scholar] [CrossRef] [PubMed]
- Park, H.-S.; Martin, B.J. Contribution of the tonic vibration reflex to muscle stress and muscle fatigue. Scand. J. Work Environ. Health 1993, 19, 35–42. [Google Scholar] [CrossRef] [PubMed]
- Desmedt, J.E.; Godaux, E. Mechanism of the vibration paradox: Excitatory and inhibitory effects of tendon vibration on single soleus muscle motor units in man. J. Physiol. 1978, 285, 197–207. [Google Scholar] [CrossRef]
- Haff, G.G.; Stone, M.; O’Bryant, H.S.; Harman, E.; Dinan, C.; Johnson, R.; Han, K.-H. Force-time dependent characteristics of dynamic and isometric muscle actions. J. Strength Cond. Res. 1997, 11, 269–272. [Google Scholar]
- Batterham, A.M.; Hopkins, W.G. Making meaningful inferences about magnitudes. Int. J. Sports Physiol. Perform. 2006, 1, 50–57. [Google Scholar] [CrossRef]
- Haff, G.G.; Carlock, J.M.; Hartman, M.J.; Kilgore, J.L. Force-time curve characteristics of dynamic and isometric muscle actions of elite women olympic weightlifters. J. Strength Cond. Res. 2005, 19, 741. [Google Scholar]
- De Ruiter, C.; Van Der Linden, R.; Van Der Zijden, M.; Hollander, A.; De Haan, A. Short-term effects of whole-body vibration on maximal voluntary isometric knee extensor force and rate of force rise. Eur. J. Appl. Physiol. 2003, 88, 472–475. [Google Scholar] [CrossRef]
- Holm, S. A simple sequentially rejective multiple test procedure. Scand. J. Stat. 1979, 6, 65–70. [Google Scholar] [CrossRef]
- Kawamori, N.; Rossi, S.J.; Justice, B.D.; Haff, E.E.; Pistilli, E.E.; O’bryant, H.S.; Stone, M.H.; Haff, G.G. Peak force and rate of force development during isometric and dynamic mid-thigh clean pulls performed at various intensities. J. Strength Cond. Res. 2006, 20, 483–491. [Google Scholar] [PubMed]
- Stone, M.H.; Sands, W.A.; Pierce, K.C.; Carlock, J.; Cardinale, M.; Newton, R.U. Relationship of maximum strength to weightlifting performance. Med. Sci. Sports Exerc. 2005, 37, 1037–1043. [Google Scholar] [PubMed]
- Hopkins, W.G. Measures of Reliability in Sports Medicine and Science. Sports Med. 2000, 30, 1–15. [Google Scholar] [CrossRef]
- Hopkins, W.G.; Hawley, J.A.; Burke, L.M. Design and analysis of research on sport performance enhancement. Med. Sci. Sports Exerc. 1999, 31, 472–485. [Google Scholar] [CrossRef]
- Bullock, N.; Martin, D.T.; Ross, A.; Rosemond, D.; Jordan, M.J.; Marino, F.E. An acute bout of whole-body vibration on skeleton start and 30-m sprint performance. Eur. J. Sport Sci. 2009, 9, 35–39. [Google Scholar] [CrossRef]
- Armstrong, W.J.; Nestle, H.N.; Grinnell, D.C.; Cole, L.D.; Van Gilder, E.L.; Warren, G.S.; Capizzi, E.A. The acute effect of whole-body vibration on the hoffmann reflex. J. Strength Cond. Res. 2008, 22, 471–476. [Google Scholar] [CrossRef]
- Cochrane, D.J.; Legg, S.J.; Hooker, M.J. The short-term effect of whole-body vibration training on vertical jump, sprint, and agility performance. J. Strength Cond. Res. 2004, 18, 828–832. [Google Scholar]
- Blackwelder, W.C. “Proving the null hypothesis” in clinical trials. Control. Clin. Trials 1982, 3, 345–353. [Google Scholar] [CrossRef]




| Males (n = 7) | Females (n = 4) | Combined (n = 11) | |
|---|---|---|---|
| Mean ± SD | Mean ± SD | Mean ± SD | |
| Age (y) | 24.7 ± 1.8 | 23.5 ± 1.0 | 24.3 ± 1.6 |
| Height (cm) | 179.2 ± 6.2 | 164.8 ± 6.8 | 173.9 ± 9.5 |
| Weight (kg) | 101.7 ± 12.9 | 65.3 ± 5.2 | 88.4 ± 21.1 |
| T1 | T2 | T3 | ||||||||||
|---|---|---|---|---|---|---|---|---|---|---|---|---|
| ICCα | 95% CI | R | 95% CI | ICCα | 95% CI | R | 95% CI | ICCα | 95% CI | R | 95% CI | |
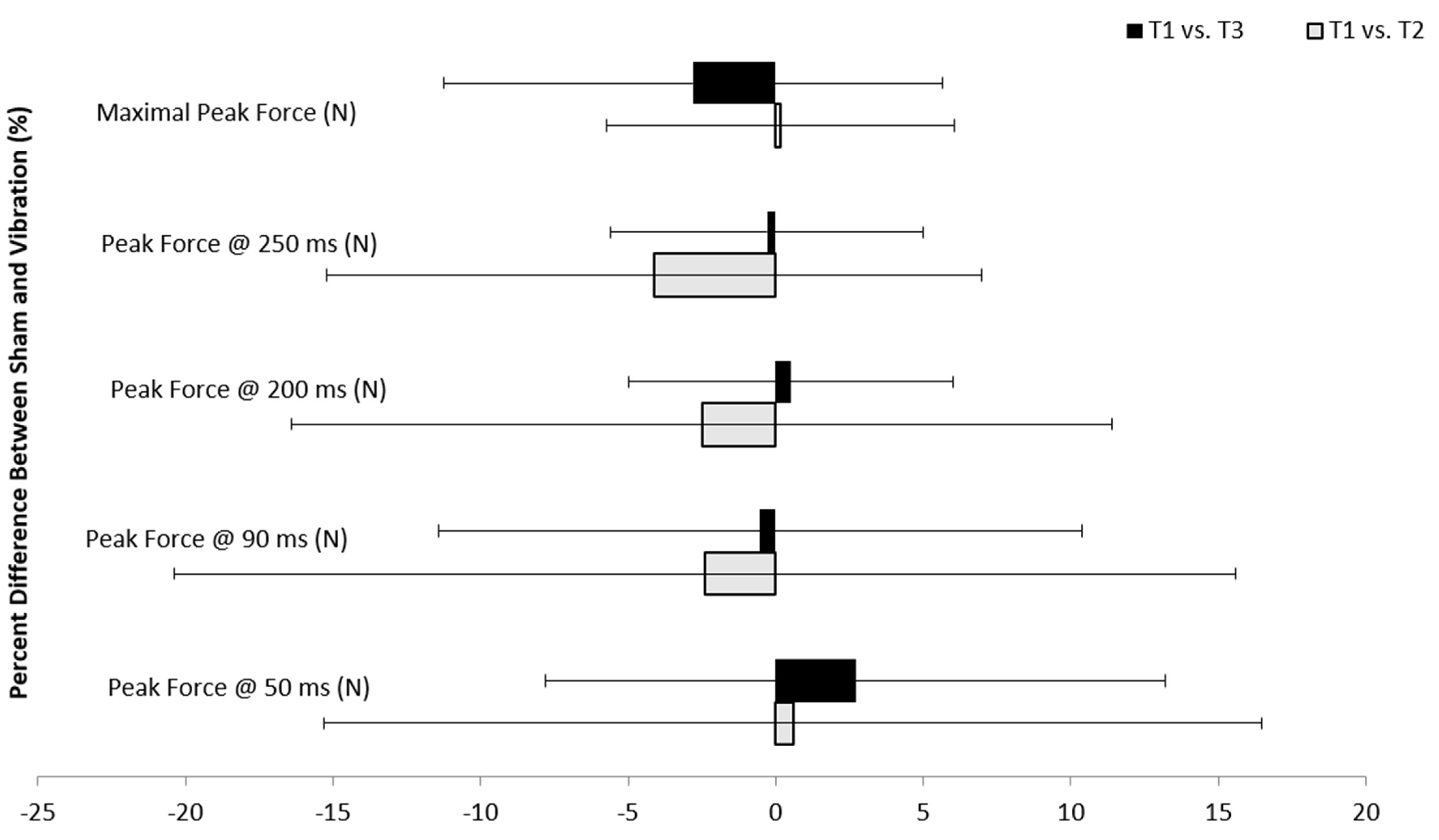
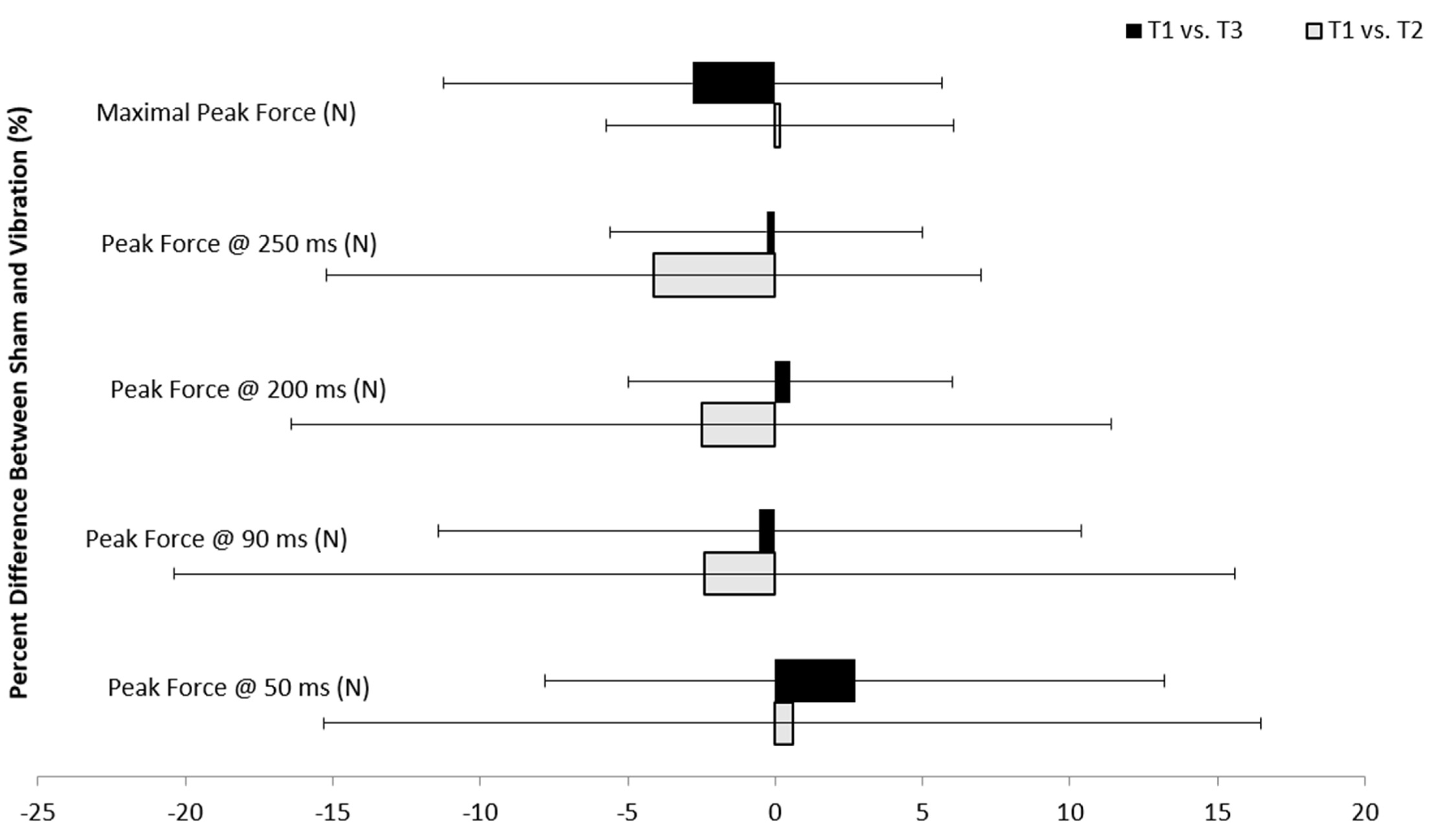
| Peak Force @ 50 ms | 0.96 | 0.87–0.98 | 0.95 | 0.85–0.98 | 0.94 | 0.83–0.98 | 0.94 | 0.83–0.95 | 0.94 | 0.84–0.98 | 0.94 | 0.81–0.98 |
| Peak Force @ 90 ms | 0.97 | 0.92–0.99 | 0.97 | 0.90–0.99 | 0.97 | 0.91–0.99 | 0.98 | 0.94–0.99 | 0.88 | 0.67–0.96 | 0.87 | 0.63–0.96 |
| Peak Force @ 200 ms | 0.98 | 0.95–0.99 | 0.98 | 0.93–0.99 | 0.93 | 0.80–0.98 | 0.93 | 0.80–0.98 | 0.96 | 0.89–0.99 | 0.96 | 0.87–0.99 |
| Peak Force @ 250 ms | 0.99 | 0.98–1.00 | 0.99 | 0.97–1.00 | 0.98 | 0.93–0.99 | 0.97 | 0.91–0.99 | 0.96 | 0.90–0.99 | 0.96 | 0.89–0.99 |
| Maximal Peak Force | >0.99 | 0.99–1.00 | 1.00 | 0.99–1.00 | >0.99 | 0.99–1.00 | >0.99 | 0.99–1.00 | >0.99 | 0.99–1.00 | 1.00 | 0.99–1.00 |
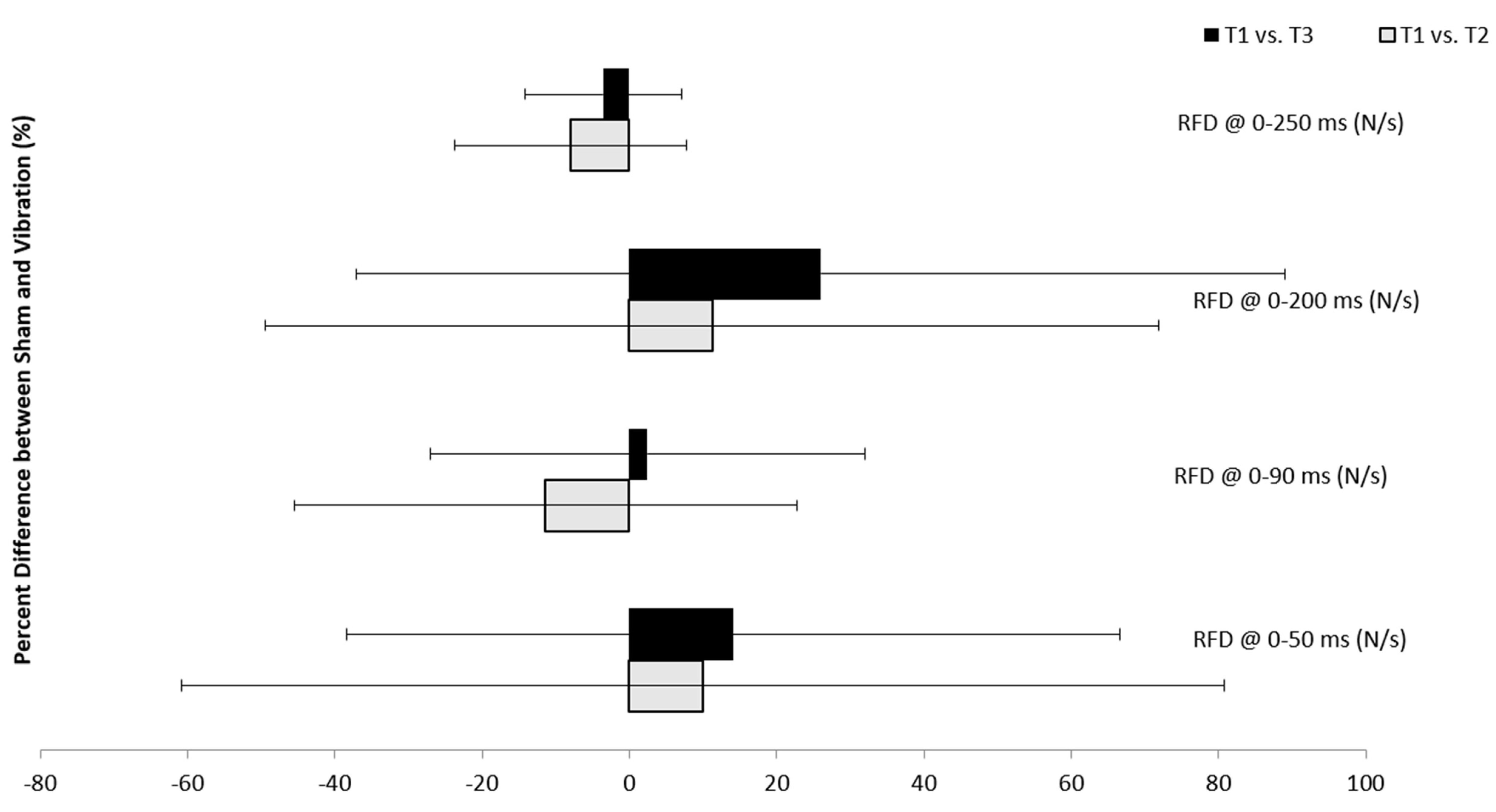
| PRFD @ 0–50 ms | 0.92 | 0.79–0.97 | 0.91 | 0.75–0.97 | 0.81 | 0.53–0.93 | 0.79 | 0.46–0.93 | 0.89 | 0.70–0.96 | 0.89 | 0.69–0.96 |
| PRFD @ 0–90 ms | 0.93 | 0.79–0.97 | 0.92 | 0.76–0.97 | 0.88 | 0.69–0.96 | 0.90 | 0.72–0.97 | 0.86 | 0.63–0.95 | 0.85 | 0.59–0.95 |
| PRFD @ 0–200 ms | 0.97 | 0.91–0.99 | 0.97 | 0.90–0.99 | 0.95 | 0.87–0.98 | 0.95 | 0.85–0.98 | 0.88 | 0.67–0.96 | 0.87 | 0.64–0.96 |
| PRFD @ 0–250 ms | 0.97 | 0.92–0.99 | 0.97 | 0.91–0.99 | 0.93 | 0.82–0.98 | 0.93 | 0.80–0.98 | 0.97 | 0.94–0.99 | 0.97 | 0.89–0.99 |
| Treatment Conditions | 1 × 3 ANOVA | ||||||
|---|---|---|---|---|---|---|---|
| T1 | T2 | T3 | |||||
| Variables | Mean ± SD | Mean ± SD | Mean ± SD | P | η2 | 1 – β | |
| Peak Force @ 50 ms | (N) | 1351.8 ± 487.2 | 1337.7 ± 457.1 | 1394.5 ± 535.2 | 0.64 | 0.09 | 0.10 |
| Peak Force @ 90 ms | (N) | 1838.5 ± 754.6 | 1744.5 ± 666.8 | 1811.5 ± 732.0 | 0.74 | 0.07 | 0.09 |
| Peak Force @ 200 ms | (N) | 3013.3 ± 1000.0 | 2875.5 ± 874.90 | 3019.3 ± 988.1 | 0.59 | 0.11 | 0.12 |
| Peak Force @ 250 ms | (N) | 3096.3 ± 1064.0 | 2931.9 ± 951.6 | 3078.9 ± 1057.1 | 0.36 | 0.21 | 0.20 |
| Maximal Peak Force | (N) | 4466.8 ± 1580.7 | 4469.7 ± 1574.7 | 4325.6 ± 1543.2 | 0.32 | 0.22 | 0.21 |
| PRFD @ 0–50 ms | (N·s−1) | 7744.3 ± 5521.7 | 7123.9 ± 6084.3 | 7845.7 ± 5979.5 | 0.86 | 0.03 | 0.07 |
| PRFD @ 0–90 ms | (N·s−1) | 9998.7 ± 6263.6 | 8262.0 ± 5604.3 | 9370.7 ± 5659.6 | 0.36 | 0.20 | 0.19 |
| PRFD @ 0–200 ms | (N·s−1) | 8775.7 ± 4419.3 | 8796.2 ± 4043.7 | 10,123.0 ± 4525.1 | 0.33 | 0.22 | 0.21 |
| PRFD @ 0–250 ms | (N·s−1) | 8680.2 ± 3618.8 | 7740.4 ± 3025.7 | 8172.9 ± 3057.9 | 0.20 | 0.30 | 0.30 |
| Treatment Conditions | 1 × 3 ANOVA | ||||||
|---|---|---|---|---|---|---|---|
| T1 | T2 | T3 | |||||
| Variables | Mean ± SD | Mean ± SD | Mean ± SD | P | η2 | 1 – β | |
| Peak Force @ 50 ms | (N) | 65.6 ± 14.0 | 65.5 ± 14.8 | 67.5 ± 16.2 | 0.73 | 0.07 | 0.09 |
| Peak Force @ 90 ms | (N) | 88.7 ± 24.5 | 85.3 ± 24.8 | 87.4 ± 22.7 | 0.78 | 0.05 | 0.08 |
| Peak Force @ 200 ms | (N) | 147.4 ± 33.0 | 141.7 ± 29.7 | 147.8 ± 32.4 | 0.67 | 0.08 | 0.10 |
| Peak Force @ 250 ms | (N) | 150.8 ± 31.9 | 144.0 ± 32.3 | 150.0 ± 31.7 | 0.44 | 0.17 | 0.16 |
| Maximal Peak Force | (N) | 218.2 ± 49.9 | 218.5 ± 51.7 | 211.4 ± 49.6 | 0.35 | 0.21 | 0.20 |
| T1 vs T2 | T1 vs T3 | |||||||||||
|---|---|---|---|---|---|---|---|---|---|---|---|---|
| Variable | CV % | 95% CI | ICCα | 95% CI | R | 95% CI | CV% | 95% CI | ICCα | 95% CI | R | 95% CI |
| Peak Force @ 50 ms | 11.7 | 8.0–21.4 | 0.93 | 0.75–0.98 | 0.92 | 0.71–0.98 | 7.4 | 5.1–13.3 | 0.97 | 0.90–0.99 | 0.97 | 0.89–0.99 |
| Peak Force @ 90 ms | 14.5 | 9.9–26.8 | 0.92 | 0.73–0.98 | 0.91 | 0.68–0.98 | 8.0 | 5.5–14.5 | 0.98 | 0.91–0.99 | 0.97 | 0.89–0.99 |
| Peak Force @ 200 ms | 10.8 | 7.5–19.8 | 0.93 | 0.77–0.98 | 0.93 | 0.75–0.98 | 3.9 | 2.7–7.0 | 0.99 | 0.97–1.00 | 0.99 | 0.96–1.00 |
| Peak Force @ 250 ms | 8.9 | 6.1–16.1 | 0.96 | 0.85–0.99 | 0.95 | 0.82–0.99 | 3.8 | 2.6–6.8 | 0.99 | 0.97–1.00 | 0.99 | 0.96–1.00 |
| Maximal Peak Force | 4.2 | 2.9–7.5 | 0.99 | 0.96–1.00 | 0.99 | 0.96–1.00 | 5.9 | 4.1–10.7 | 0.98 | 0.93–0.99 | 0.98 | 0.91–0.99 |
| PRFD @ 0–50 ms | 60.6 | 41.9–112.6 | 0.76 | 0.43–0.91 | 0.74 | 0.35–0.91 | 40.1 | 28.3–71.1 | 0.88 | 0.69–0.96 | 0.87 | 0.64–0.96 |
| PRFD @ 0–90 ms | 33.5 | 23.8–58.5 | 0.89 | 0.70–0.96 | 0.88 | 0.65–0.96 | 23.5 | 16.9–39.9 | 0.93 | 0.82–0.98 | 0.94 | 0.81–0.98 |
| PRFD @ 0–200 ms | 34.6 | 23.1–68.5 | 0.72 | 0.25–0.92 | 0.70 | 0.17–0.92 | 30.8 | 20.6–60.2 | 0.78 | 0.37–0.94 | 0.76 | 0.30–0.93 |
| PRFD @ 0–250 ms | 15.3 | 11.1–25.4 | 0.92 | 0.78–0.97 | 0.91 | 0.75–0.97 | 7.9 | 5.8–12.8 | 0.98 | 0.93–0.99 | 0.98 | 0.94–0.99 |
© 2020 by the authors. Licensee MDPI, Basel, Switzerland. This article is an open access article distributed under the terms and conditions of the Creative Commons Attribution (CC BY) license (http://creativecommons.org/licenses/by/4.0/).
Share and Cite
Hornsby, W.G.; South, M.A.; Stone, J.D.; Lamont, H.S.; Haff, G.G.; Stone, M.H. The Acute Effects of Whole Body Vibration on Isometric Mid-Thigh Pull Performance. Vibration 2020, 3, 85-98. https://doi.org/10.3390/vibration3020008
Hornsby WG, South MA, Stone JD, Lamont HS, Haff GG, Stone MH. The Acute Effects of Whole Body Vibration on Isometric Mid-Thigh Pull Performance. Vibration. 2020; 3(2):85-98. https://doi.org/10.3390/vibration3020008
Chicago/Turabian StyleHornsby, W. Guy, Mark A. South, Jason D. Stone, Hugh S. Lamont, G. Gregory Haff, and Michael H. Stone. 2020. "The Acute Effects of Whole Body Vibration on Isometric Mid-Thigh Pull Performance" Vibration 3, no. 2: 85-98. https://doi.org/10.3390/vibration3020008
APA StyleHornsby, W. G., South, M. A., Stone, J. D., Lamont, H. S., Haff, G. G., & Stone, M. H. (2020). The Acute Effects of Whole Body Vibration on Isometric Mid-Thigh Pull Performance. Vibration, 3(2), 85-98. https://doi.org/10.3390/vibration3020008

