DC Series Arc Fault Detection in Photovoltaic Systems Using a Hybrid WDCNN-BiLSTM-CA Model
Abstract
1. Introduction
2. Experimental
3. Analysis
3.1. Frequency Domain Analysis
3.2. Time–Frequency Domain Analysis
4. Denoising
4.1. Denoising Algorithm Based upon IMGO-ICEEMDAN
4.2. Denoising Effects Based upon IMGO-ICEEMDAN
4.2.1. Denoising Effects on Frequency Domain Features
4.2.2. Denoising Effects on Time–Frequency Domain Features
5. Detection
5.1. Detection Method Based upon Multi-Scale Spatiotemporal Feature Fusion Using WDCNN-BiLSTM-CA
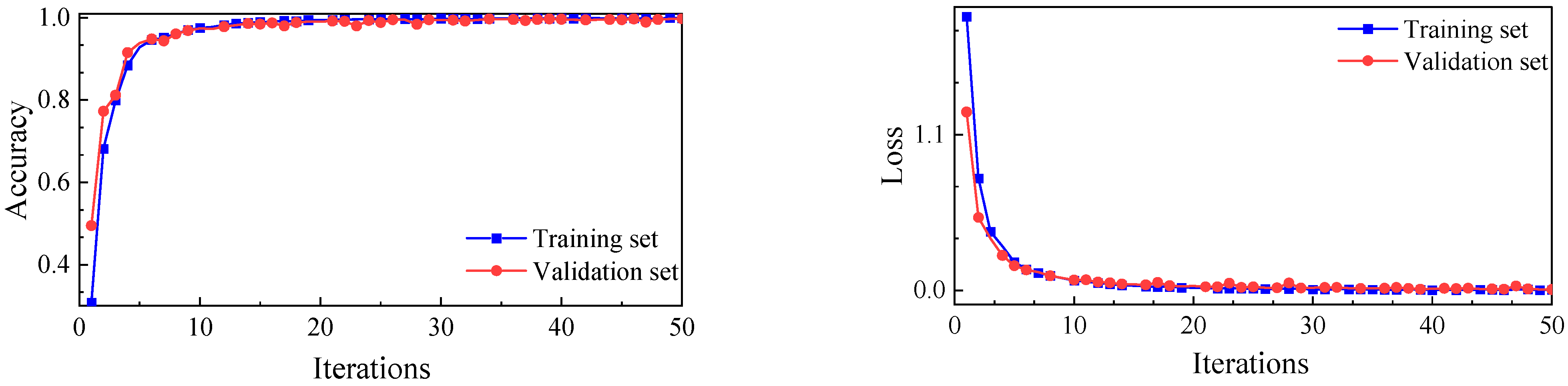
5.2. Model Training
5.3. Model Evaluation
5.4. Ablation Experiments
6. Conclusions
- While the difference between normal and arc fault current signals remained almost imperceptible as voltage increased, the characteristics of arc faults became more difficult to detect as the current rose due to increased noise.
- An IMGO-ICEEMDAN-based denoising algorithm was developed, which markedly enhanced arc fault features in both frequency and time–frequency domains. After denoising processing, the frequency domain characteristics of arc faults became prominent within the 0–100 kHz band, with a substantial increase in amplitude. In the time–frequency domain, the sample entropy-to-approximate entropy ratio of the denoised signals increased by a factor of 1 to 2.
- A WDCNN-BiLSTM-CA model was proposed for arc fault detection, which achieved accuracy, precision, recall, and F1 scores all reaching 99.89%, outperforming the traditional models. The ablation experiments further confirmed the distinct roles of the BiLSTM and CA modules, and revealed that the CA module improved the overall performance by 4.17%.
- The arc fault identification method proposed in this study was validated using a PV simulation source. Consequently, its performance under real-world conditions remains to be fully ascertained. A limitation lies in the fact that the typical interference sources considered were all generated by the simulator. This controlled environment may not adequately capture the complexity and stochastic nature of actual PV installations, where environmental dynamics, diverse load profiles, and system-level electrical noise interact in more intricate ways. Therefore, the robustness and generalization capability of the method require further investigation through field tests on operational PV systems. Ultimately, upon technological maturation, we aim to implement the method via embedded chips, thereby realizing real-time monitoring and identification of arc faults and reducing fire hazards in PV installations.
Author Contributions
Funding
Institutional Review Board Statement
Informed Consent Statement
Data Availability Statement
Acknowledgments
Conflicts of Interest
Nomenclature
| Original signal | |
| -th realization | |
| The mean value using the EMD algorithm | |
| The length of the PV DC signal | |
| The specified signal-to-noise ratio | |
| The first residual component | |
| The first model component | |
| -th residual component | |
| -th model component (n > 3) | |
| The n-th intrinsic mode function of the original signal after empirical mode decomposition | |
| The noise figure | |
| Residual component | |
| The signal reconstructed from the secondary denoising component and the residual component | |
| The signal reconstructed using wavelet denoising | |
| Multivariate intrinsic mode index | |
| High-frequency coefficients | |
| The visushrink threshold | |
| N | Signal length |
| . | Denoised low-frequency coefficients |
| Final denoised signal | |
| Tuning factor | |
| Tuning factor | |
| Tuning factor | |
| Correlation coefficient | |
| Kurtosis | |
| Variance contribution rate | |
| Target signal | |
| Original signal | |
References
- Gao, W.; Jin, H.; Yang, G. Series arc fault diagnosis method of photovoltaic arrays based on GASF and improved DCGAN. Adv. Eng. Inform. 2022, 54, 101809. [Google Scholar] [CrossRef]
- Sepúlveda Oviedo, E.H.; Travé-Massuyès, L.; Subias, A.; Alonso, C.; Pavlov, M. Feature extraction and health status prediction in PV systems. Adv. Eng. Inform. 2022, 53, 101696. [Google Scholar] [CrossRef]
- Lu, S.B.; Phung, B.T.; Zhang, D.M. A comprehensive review on DC arc faults and their diagnosis methods in photovoltaic systems. Renew. Sustain. Energy Rev. 2018, 89, 88–98. [Google Scholar] [CrossRef]
- Cabrera-Tobar, A.; Ciccariello, V.; Lamanna, E.; Leva, S.; Matera, N.; Ogliari, E.; Ramaschi, R. General rules and safety guidelines for a battery energy storage and photovoltaic system framework in commercial and industrial installations. IEEE Trans. Ind. Appl. 2025, 61, 5328–5337. [Google Scholar] [CrossRef]
- Chen, S.; Li, X.; Xiong, J. Series arc fault identification for photovoltaic system based on time-domain and time-frequency-domain analysis. IEEE J. Photovolt. 2017, 7, 1105–1114. [Google Scholar] [CrossRef]
- Han, B.; Zou, G.; Zhang, X.; Niu, Z.; Wang, W. Modeling and feature analysis of photovoltaic DC series arc faults. Meas. Sci. Technol. 2025, 36, 046113. [Google Scholar] [CrossRef]
- Babrauskas, V. Electrical Fires. In SFPE Handbook of Fire Protection Engineering; Hurley, M.J., Gottuk, D., Hall, J.R., Harada, K., Kuligowski, E., Puchovsky, M., Torero, J., Watts, J.M., Wieczorek, C., Eds.; Springer: New York, NY, USA, 2016; pp. 662–704. [Google Scholar] [CrossRef]
- Gao, Z.; Zhang, H.; Yang, W.; Wu, W.; Yang, R. A review on ignition characteristics of arc faults in wire system of aircraft. Aerosp. Traffic Saf. 2024, 1, 27–42. [Google Scholar] [CrossRef]
- Salmerón-Manzano, E.; Muñoz-Rodríguez, D.; Perea-Moreno, A.; Hernandez-Escobedo, Q.; Manzano-Agugliaro, F. Worldwide scientific landscape on fires in photovoltaic. J. Clean. Prod. 2024, 461, 142614. [Google Scholar] [CrossRef]
- Abuhashish, M.N.; Refaat, A.; Kalas, A.; Hamad, M.S.; Elfar, M.H. Towards accurate and reliable fault diagnosis in PV systems: Techniques, challenges, and future directions. Process. Saf. Environ. Prot. 2025, 198, 107217. [Google Scholar] [CrossRef]
- A Major Fire ‘Burns Away’ 1.5 Billion Yuan! Re-Examining the Fire Accident in Shanxi’s 50-Billion-Yuan Investment Project. 2025. Available online: https://baijiahao.baidu.com/s?id=1836424467666036929&wfr=spider&for=pc (accessed on 1 July 2025).
- BAM. BAM Report 2021/22: Sicherheit im Wandel; Annual Report; Bundesanstalt für Materialforschung und -prüfung: Berlin, Germany, 2022; Available online: https://www.bam.de/_SharedDocs/DE/Downloads/bam-report-2021-22.html (accessed on 6 February 2026).
- The Institute for Energy Research. Walmart and Amazon Sue Tesla, Solar Panels Blamed for Fires. 2019. Available online: https://www.instituteforenergyresearch.org/renewable/solar/walmart-and-amazon-sue-tesla-solar-panels-blamed-for-fires/ (accessed on 13 September 2019).
- Breaking News: Fire at Photovoltaic-Powered Farm Kills Over 20,000 Chickens from Smoke Inhalation. 2023. Available online: https://www.163.com/dy/article/IC1R0TT90514DRR7.html (accessed on 13 August 2023).
- Zhang, M.; Zhou, Z.; Gong, Y.; Yuan, J.; Ding, Y. Research Progress on Fire Hazards of Solar Photovoltaic Modules. Saf. Environ. Eng. 2025, 32, 127–136+169. (In Chinese) [Google Scholar] [CrossRef]
- Lu, Q.W.; Ye, Z.Y.; Su, M.M.; Li, Y.S.; Sun, Y.C.; Huang, H.Q. A DC series arc fault detection method using line current and supply voltage. IEEE Access 2020, 8, 10134–10146. [Google Scholar] [CrossRef]
- Dhar, S.; Patnaik, R.K.; Dash, P.K. Fault detection and location of photovoltaic based DC microgrid using differential protection strategy. IEEE Trans. Smart Grid 2018, 9, 4303–4312. [Google Scholar] [CrossRef]
- Park, H.P.; Kim, M.; Chae, S. Smart DC optimizer for DC series arc fault detection and extinguishing. IEEE Trans. Power Electron. 2022, 37, 10117–10121. [Google Scholar] [CrossRef]
- Amiri, A.; Samet, H.; Ghanbari, T. Recurrence plots based method for detecting series arc faults in photovoltaic systems. IEEE Trans. Ind. Electron. 2022, 69, 6308–6315. [Google Scholar] [CrossRef]
- Gu, J.C.; Lai, D.S.; Wang, J.M.; Huang, J.J.; Yang, M.T. Design of a DC series arc fault detector for photovoltaic system protection. IEEE Trans. Ind. Appl. 2019, 55, 2464–2471. [Google Scholar] [CrossRef]
- Chae, S.; Park, J.; Oh, S. Series DC arc fault detection algorithm for DC microgrids using relative magnitude comparison. IEEE J. Emerg. Sel. Top. Power Electron. 2016, 4, 1270–1278. [Google Scholar] [CrossRef]
- Yin, Z.D.; Ouyang, H.X.; Lu, J.C.; Wang, L.; Yang, S.S. A time–frequency composite recurrence plots-based series arc fault detection method for photovoltaic systems with different operating conditions. Fractal Fract. 2025, 9, 33. [Google Scholar] [CrossRef]
- Han, B.; Zou, G.; Wang, W.; Li, J.; Zhang, X. Photovoltaic DC series arc fault detection method based on two-stage feature comprehensive decision. Sol. Energy 2025, 285, 113084. [Google Scholar] [CrossRef]
- Jia, F.; Luo, L.; Gao, S.; Ye, J. Logistic regression based arc fault detection in photovoltaic systems under different conditions. J. Shanghai Jiaotong Univ. Sci. 2019, 24, 459–470. [Google Scholar] [CrossRef]
- Kavi, M.; Mishra, Y.; Vilathgamuwa, M. DC arc fault detection for grid-connected large-scale photovoltaic systems. IEEE J. Photovolt. 2020, 10, 1489–1502. [Google Scholar] [CrossRef]
- Artale, G.; Caravello, G.; Cataliotti, A.; Cosentino, V.; Di Cara, D.; Guaiana, S.; Panzavecchia, N.; Tinè, G. Characterization of DC series arc faults in PV systems based on current low frequency spectral analysis. Measurement 2021, 182, 109770. [Google Scholar] [CrossRef]
- Kanemaru, M.; Kokura, K.; Mori, M.; Shindoi, T.; Yamamoto, M. Identification technique of DC series arc-fault strings in photovoltaic systems. Electr. Eng. Jpn. 2019, 207, 12–19. [Google Scholar] [CrossRef]
- Raj, A.; Mishra, C.S.; Joga, S.R.K.; Elzein, I.M.; Mohanty, A.; Lika, S.; Mahmoud, M.M.; Ewais, A.M. Wavelet analysis- singular value decomposition based method for precise fault localization in power distribution networks using k-NN classifier. Int. J. Robot. Contr. Syst. 2024, 5, 530–554. [Google Scholar] [CrossRef]
- Ahn, J.B.; Jeong, S.J.; Cho, C.G.; Ryoo, H.J. DC series arc fault detector with differential DWT and variable threshold method for photovoltaic systems. IEEE Trans. Ind. Inform. 2024, 20, 9343–9351. [Google Scholar] [CrossRef]
- Cao, F.; Xu, Z. PSO-SVM based DC series arc fault detection method in photovoltaic systems. In Proceedings of the 11th Frontier Academic Forum of Electrical Engineering (FAFEE2024); Springer Nature: Singapore, 2024; Volume 1288, pp. 697–705. [Google Scholar] [CrossRef]
- Dang, H.L.; Kim, J.; Kwak, S.; Choi, S. Series DC arc fault detection using machine learning algorithms. IEEE Access 2021, 9, 133346–133364. [Google Scholar] [CrossRef]
- Lu, S.B.; Sirojan, T.; Phung, B.T.; Zhang, D.M.; Ambikairajah, E. DA-DCGAN: An effective methodology for DC series arc fault diagnosis in photovoltaic systems. IEEE Access 2019, 7, 45831–45840. [Google Scholar] [CrossRef]
- Park, H.P.; Kwon, G.Y.; Lee, C.K.; Chang, S.J. AI-enhanced time–frequency domain reflectometry for robust series arc fault detection in DC grids. Measurement 2024, 238, 115188. [Google Scholar] [CrossRef]
- Li, J.; Zhu, Y.; Dong, Z.; Yang, H.; Cheng, X.; Xue, Z. A lightweight arc fault detection model integrating multi-objective architecture search with dynamic noise-augmented training. Measurement 2026, 257, 118649. [Google Scholar] [CrossRef]
- Yan, J.; Li, Q.; Duan, S. A simplified current feature extraction and deployment method for DC series arc fault detection. IEEE Trans. Ind. Electron. 2024, 71, 625–634. [Google Scholar] [CrossRef]
- Xing, L.; Wen, Y.H.; Xiao, S.; Zhang, D.; Zhang, J. A deep learning approach for series DC arc fault diagnosing and real-time circuit behavior predicting. IEEE Trans. Electromagn. Compat. 2022, 64, 569–579. [Google Scholar] [CrossRef]
- UL 1699B; UL Standard for Safety for Photovoltaic (PV) DC Arc-Fault Circuit Protection. Underwriters Laboratories: Northbrook, IL, USA, 2018. Available online: https://www.doc88.com/p-7129981868401.html (accessed on 6 February 2026).
- Zhao, H.; Huang, X.; Xiao, Z.; Shi, H.; Li, C.; Tai, Y. Week-ahead hourly solar irradiation forecasting method based on ICEEMDAN and TimesNet networks. Renew. Energy 2024, 220, 119706. [Google Scholar] [CrossRef]
- Zheng, B.; Chen, Y.; Wang, C.; Heidari, A.; Liu, L.; Chen, H. The moss growth optimization (MGO): Concepts and performance Open access. J. Comput. Des. Eng. 2024, 11, 184–221. [Google Scholar] [CrossRef]
- Chen, B.; Wang, L.; Shu, B.; Li, X.; Qu, W.; Wu, H.; Qian, Y.; Wu, Z. GNSS Landslide Monitoring Coordinate Time Series Noise Reduction Methods Based on Composite Divisional Indicator Index and CEEMD-WT. Geomat. Inf. Sci. Wuhan Univ. 2024. (In Chinese) [Google Scholar] [CrossRef]
- Zhang, W. Study on Bearing Fault Diagnosis Algorithm Based on Convolutional Neural Network. Master’s Thesis, Harbin Institute of Technology, Harbin, China, 2017. (In Chinese) [Google Scholar] [CrossRef]













| Component | Parameter Value | Component | Parameter Value | Component | Parameter Value |
|---|---|---|---|---|---|
| C1 | 20 μF | L1 | 10 mH | R1, R2 | 10 Ω |
| C2, C3 | 22 nF | L2, L3 | 50 μH | R3, R4 | 20 Ω |
| C4 | 10 μF | L4, L5 | 40 μH | — | — |
| C5, C6 | 1 nF | — | — | — | — |
| Frequency Band | 200 V/3 A Ratio | 200 V/5 A Ratio | 200 V/7 A Ratio | 200 V/9 A Ratio | 200 V/11 A Ratio | ||||||
|---|---|---|---|---|---|---|---|---|---|---|---|
| Before | After | Before | After | Before | After | Before | After | Before | After | ||
| f1 | (0–20 kHz) | 5.68 | 3.24 | 2.54 | 2.07 | 1.09 | 4.66 | 1.84 | 4.83 | 1.04 | 7.35 |
| f2 | (20–40 kHz) | 1.19 | 5.24 | 1.01 | 3.24 | 1.08 | 8.67 | 1 | 9.40 | 1.02 | 11.83 |
| f3 | (40–60 kHz) | 4.89 | 18.68 | 1.73 | 18.52 | 1.12 | 12.41 | 1.07 | 15.40 | 1.02 | 17.72 |
| f4 | (60–80 kHz) | 4.82 | 21.13 | 1.35 | 24.80 | 1.05 | 15.58 | 1.04 | 25.10 | 1.03 | 29.44 |
| f5 | (80–100 kHz) | 3.06 | 17.92 | 1.25 | 22.81 | 1.21 | 13.40 | 1.12 | 23.70 | 0.96 | 27.70 |
| f6 | (100–250 kHz) | 2.53 | 5.63 | 1.14 | 4.62 | 1.12 | 4.77 | 1.06 | 7.51 | 0.96 | 7.63 |
| Time-Frequency Features | 200 V/3 A | 200 V/5 A | 200 V/7 A | 200 V/9 A | 200 V/11 A | |
|---|---|---|---|---|---|---|
| Ratio | Ratio | Ratio | Ratio | Ratio | ||
| After denoising | SampEn | 0.31 | 1.33 | 0.99 | 0.90 | 1.05 |
| ApEn | 0.36 | 1.08 | 1.04 | 0.94 | 1.00 | |
| Before denoising | SampEn | 0.17 | 0.38 | 0.51 | 0.66 | 0.53 |
| ApEn | 0.16 | 0.36 | 0.50 | 0.65 | 0.54 | |
| Model | Evaluation Indicators | |||
|---|---|---|---|---|
| Accuracy (%) | Precision (%) | Recall (%) | F1 Score (%) | |
| WPA-IGA-BP | 96.63 | 96.83 | 96.63 | 96.60 |
| CNN-GRU | 97.83 | 97.95 | 97.83 | 97.81 |
| 1DCNN-LSTM | 98.05 | 98.04 | 98.02 | 98.03 |
| CBAM-CNN | 98.56 | 98.76 | 98.56 | 98.52 |
| WDCNN-BiLSTM-CA | 99.89 | 99.89 | 99.89 | 99.89 |
| Module | Accuracy (%) | Precision (%) | Recall (%) |
|---|---|---|---|
| WDCNN | 94.74 | 94.74 | 94.74 |
| WDCNN-LSTM | 94.50 | 94.55 | 94.16 |
| WDCNN-BiLSTM | 95.42 | 95.42 | 95.42 |
| WDCNN-BiLSTM-CA | 99.89 | 99.89 | 99.89 |
Disclaimer/Publisher’s Note: The statements, opinions and data contained in all publications are solely those of the individual author(s) and contributor(s) and not of MDPI and/or the editor(s). MDPI and/or the editor(s) disclaim responsibility for any injury to people or property resulting from any ideas, methods, instructions or products referred to in the content. |
© 2026 by the authors. Licensee MDPI, Basel, Switzerland. This article is an open access article distributed under the terms and conditions of the Creative Commons Attribution (CC BY) license.
Share and Cite
Zhou, L.; Hou, M.; Zeng, Z.; Zhao, J.; Shu, C.-M.; Jiang, H. DC Series Arc Fault Detection in Photovoltaic Systems Using a Hybrid WDCNN-BiLSTM-CA Model. Fire 2026, 9, 84. https://doi.org/10.3390/fire9020084
Zhou L, Hou M, Zeng Z, Zhao J, Shu C-M, Jiang H. DC Series Arc Fault Detection in Photovoltaic Systems Using a Hybrid WDCNN-BiLSTM-CA Model. Fire. 2026; 9(2):84. https://doi.org/10.3390/fire9020084
Chicago/Turabian StyleZhou, Liang, Manman Hou, Zheng Zeng, Jingyi Zhao, Chi-Min Shu, and Huiling Jiang. 2026. "DC Series Arc Fault Detection in Photovoltaic Systems Using a Hybrid WDCNN-BiLSTM-CA Model" Fire 9, no. 2: 84. https://doi.org/10.3390/fire9020084
APA StyleZhou, L., Hou, M., Zeng, Z., Zhao, J., Shu, C.-M., & Jiang, H. (2026). DC Series Arc Fault Detection in Photovoltaic Systems Using a Hybrid WDCNN-BiLSTM-CA Model. Fire, 9(2), 84. https://doi.org/10.3390/fire9020084

