Modelling Relative Fire Sensitivity for Geodiversity Elements
Abstract
1. Introduction
1.1. Known Responses of Geodiversity Elements to Fire
1.2. Understanding Sensitivity of Geodiversity Elements Through Fire Temperature Thresholds
2. Materials and Methods
Generalised Soil and Lithological Sensitivity Functions
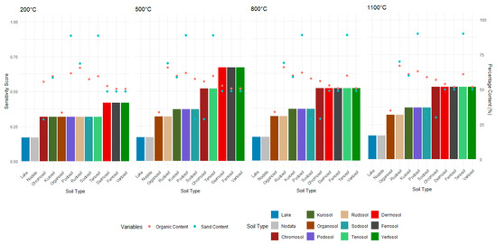
3. Results
3.1. Relative Soil and Lithology Sensitivity in Response to Increasing Fire Temperature
3.2. Relative Geosite Sensitivity in Relation to the Spatial Area Occupied by Various Soil and Lithological Types
4. Discussion
4.1. When Can This Approach Be Used?
4.2. Recommendations
5. Conclusions
Supplementary Materials
Author Contributions
Funding
Institutional Review Board Statement
Informed Consent Statement
Data Availability Statement
Acknowledgments
Conflicts of Interest
References
- Gray, M. Geodiversity: Valuing and Conserving Abiotic Nature; John Wiley & Sons, Incorporated: Hoboken, NJ, USA, 2013; ISBN 978-1-118-52508-1. [Google Scholar]
- Gray, M. Other Nature: Geodiversity and Geosystem Services. Environ. Conserv. 2011, 38, 271–274. [Google Scholar] [CrossRef]
- Prosser, C.D.; Burek, C.V.; Evans, D.H.; Gordon, J.E.; Kirkbride, V.B.; Rennie, A.F.; Walmsley, C.A. Conserving Geodiversity Sites in a Changing Climate: Management Challenges and Responses. Geoheritage 2010, 2, 123–136. [Google Scholar] [CrossRef]
- Van Ree, C.C.D.F.; van Beukering, P.J.H.; Boekestijn, J. Geosystem Services: A Hidden Link in Ecosystem Management. Ecosyst. Serv. 2017, 26, 58–69. [Google Scholar] [CrossRef]
- Sharples, C. Concepts and Principles of Geoconservation (Version 3); Department of Primary Industries, Parks, Water and Environment, Tasmania: Hobart, Australia, 2002. [Google Scholar]
- Reynard, E.; Brilha, J. Geoheritage: Assessment, Protection, and Management; Elsevier: Saint Louis, MO, USA, 2017; ISBN 978-0-12-809542-3. [Google Scholar]
- Thompson, M.P.; Calkin, D.E.; Finney, M.A.; Ager, A.A.; Gilbertson-Day, J.W. Integrated National-Scale Assessment of Wildfire Risk to Human and Ecological Values. Stoch Environ. Res Risk Assess 2011, 25, 761–780. [Google Scholar] [CrossRef]
- Chuvieco, E.; Yebra, M.; Martino, S.; Thonicke, K.; Gómez-Giménez, M.; San-Miguel, J.; Oom, D.; Velea, R.; Mouillot, F.; Molina, J.R.; et al. Towards an Integrated Approach to Wildfire Risk Assessment: When, Where, What and How May the Landscapes Burn. Fire 2023, 6, 215. [Google Scholar] [CrossRef]
- Turner II, B.L.; Kasperson, R.; Matson, P.; Mccarthy, J.; Corell, R.; Christensen, L.; Selin, N.; Kasperson, J.; Luers, A.; Martello, M.; et al. A Framework for Vulnerability Analysis in Sustainability Science. Proc. Natl. Acad. Sci. USA 2003, 100, 8074–8079. [Google Scholar] [CrossRef]
- Galiana-Martín, L.; Karlsson, O. Development of a Methodology for the Assessment of Vulnerability Related to Wildland Fires Using a Multi-Criteria Evaluation. Geogr. Res. 2012, 50, 304–319. [Google Scholar] [CrossRef]
- Kubalikova, L.; Balkova, M. Two-Level Assessment of Threats to Geodiversity and Geoheritage: A Case Study from Hády Quarries (Brno, Czech Republic). Environ. Impact Assess. Rev. 2023, 99, 107024. [Google Scholar] [CrossRef]
- Hoyland, R.O.; McHenry, M.T.; Foster, E.A. Fire and Geodiversity. Int. J. Wildland Fire 2024, 33, WF23134. [Google Scholar] [CrossRef]
- Shakesby, R.; Doerr, S. Wildfire as a Hydrological and Geomorphological Agent. Earth-Sci. Rev. 2006, 74, 269–307. [Google Scholar] [CrossRef]
- Barreiro, A.; Díaz-Raviña, M. Fire Impacts on Soil Microorganisms: Mass, Activity, and Diversity. Curr. Opin. Environ. Sci. Health 2021, 22, 100264. [Google Scholar] [CrossRef]
- Shtober-Zisu, N.; Wittenberg, L. Long-Term Effects of Wildfire on Rock Weathering and Soil Stoniness in the Mediterranean Landscapes. Sci. Total Environ. 2021, 762, 143125. [Google Scholar] [CrossRef]
- Certini, G. Effects of Fire on Properties of Forest Soils: A Review. Oecologia 2005, 143, 1–10. [Google Scholar] [CrossRef]
- Prior, L.D.; Storey, K.; Williamson, G.J.; Bowman, D.M.J.S. When Soil Becomes Fuel: Identifying a Safe Window for Prescribed Burning of Tasmanian Vegetation Growing on Organic Soils. Int. J. Wildland Fire 2024, 33, WF24061. [Google Scholar] [CrossRef]
- Sippel, J.; Siegesmund, S.; Weiss, T.; Nitsch, K.-H.; Korzen, M. Decay of Natural Stones Caused by Fire Damage. Geol. Soc. Lond. Spec. Publ. 2007, 271, 139–151. [Google Scholar] [CrossRef]
- Sarro, R.; Pérez-Rey, I.; Tomás, R.; Alejano, L.R.; Hernández-Gutiérrez, L.E.; Mateos, R.M. Effects of Wildfire on Rockfall Occurrence: A Review Through Actual Cases in Spain. Appl. Sci. 2021, 11, 2545. [Google Scholar] [CrossRef]
- Shtober-Zisu, N.; Wittenberg, L. Wildfires as a Weathering Agent of Carbonate Rocks. Minerals 2021, 11, 1091. [Google Scholar] [CrossRef]
- Yeste-Lizán, P.; Gomez-Heras, M.; García-Rodríguez, M.; Pérez-López, R.; Carcavilla, L.; Ortega-Becerril, J.A. Surface Mechanical Effects of Wildfires on Rocks in Climbing Areas. Fire 2023, 6, 46. [Google Scholar] [CrossRef]
- Winkler, E.M. Stone: Properties, Durability in Man’s Environment; Springer Science & Business Media: Berlin/Heidelberg, Germany, 2013; ISBN 978-3-7091-3819-9. [Google Scholar]
- Gomez-Heras, M.; McCabe, S.; Smith, B.J.; Fort, R. Impacts of Fire on Stone-Built Heritage. J. Archit. Conserv. 2009, 15, 47–58. [Google Scholar] [CrossRef]
- Keeley, J.E. Fire Intensity, Fire Severity and Burn Severity: A Brief Review and Suggested Usage. Int. J. Wildland Fire 2009, 18, 116–126. [Google Scholar] [CrossRef]
- Bradstock, R.A.; Auld, T.D. Soil Temperatures During Experimental Bushfires in Relation to Fire Intensity: Consequences for Legume Germination and Fire Management in South-Eastern Australia. J. Appl. Ecol. 1995, 32, 76–84. [Google Scholar] [CrossRef]
- Han, D.; Di, X.; Yang, G.; Sun, L.; Weng, Y. Quantifying Fire Severity: A Brief Review and Recommendations for Improvement. Ecosyst. Health Sustain. 2021, 7, 1973346. [Google Scholar] [CrossRef]
- Wotton, B.M.; Gould, J.S.; McCaw, W.L.; Cheney, N.P.; Taylor, S.W. Flame Temperature and Residence Time of Fires in Dry Eucalypt Forest. Int. J. Wildland Fire 2011, 21, 270. [Google Scholar] [CrossRef]
- Alcasena, F.J.; Salis, M.; Vega-García, C. A Fire Modeling Approach to Assess Wildfire Exposure of Valued Resources in Central Navarra, Spain. Eur. J. For. Res. 2016, 135, 87–107. [Google Scholar] [CrossRef]
- Cawson, J.G.; Nyman, P.; Smith, H.G.; Lane, P.N.J.; Sheridan, G.J. How Soil Temperatures during Prescribed Burning Affect Soil Water Repellency, Infiltration and Erosion. Geoderma 2016, 278, 12–22. [Google Scholar] [CrossRef]
- Castro Rego, F.; Morgan, P.; Fernandes, P.; Hoffman, C. Fire Effects on Plants, Soils, and Animals. In Fire Science: From Chemistry to Landscape Management; Rego, F.C., Morgan, P., Fernandes, P., Hoffman, C., Eds.; Springer International Publishing: Cham, Switzerland, 2021; pp. 259–318. ISBN 978-3-030-69815-7. [Google Scholar]
- Haque, M.K.; Azad, M.A.K.; Hossain, M.Y.; Ahmed, T.; Uddin, M.; Hossain, M.M. Wildfire in Australia during 2019–2020, Its Impact on Health, Biodiversity and Environment with Some Proposals for Risk Management: A Review. J. Environ. Prot. 2021, 12, 391–414. [Google Scholar] [CrossRef]
- Buckman, S.; Morris, R.H.; Bourman, R.P. Fire-Induced Rock Spalling as a Mechanism of Weathering Responsible for Flared Slope and Inselberg Development. Nat. Commun. 2021, 12, 2150. [Google Scholar] [CrossRef]
- DeBano, L.F. Water Repellent Soils: A State-of-the-Art; U.S. Department of Agriculture, Forest Service, Pacific Southwest Forest and Range Experiment Station: Berkeley, CA, USA, 1981. [Google Scholar] [CrossRef]
- Boerner, R.E.J. Soil, Fire, Water, and Wind: How the Elements Conspire in the Forest Context. In Fire in Eastern Oak Forests: Delivering Science to Land Managers, Proceedings of a Conference, Columbus, OH, USA, 15–17 November 2005; Gen. Tech. Rep. NRS-P-1; Dickinson, M.B., Ed.; U.S. Department of Agriculture, Forest Service, Northern Research Station: Berkeley, CA, USA, 2006; pp. 104–112. [Google Scholar]
- Grier, C.C. Wildfire Effects on Nutrient Distribution and Leaching in a Coniferous Ecosystem. Can. J. For. Res. 1975, 5, 599–607. [Google Scholar] [CrossRef]
- McGuire, L.A.; Ebel, B.A.; Rengers, F.K.; Vieira, D.C.S.; Nyman, P. Fire Effects on Geomorphic Processes. Nat Rev Earth Environ. 2024, 5, 486–503. [Google Scholar] [CrossRef]
- Santín, C.; Doerr, S.H. Fire Effects on Soils: The Human Dimension. Philos. Trans. R. Soc. B Biol. Sci. 2016, 371, 20150171. [Google Scholar] [CrossRef]
- Santana, V.M.; Bradstock, R.A.; Ooi, M.K.J.; Denham, A.J.; Auld, T.D.; Baeza, M.J. Effects of Soil Temperature Regimes after Fire on Seed Dormancy and Germination in Six Australian Fabaceae Species. Aust. J. Bot. 2010, 58, 539. [Google Scholar] [CrossRef]
- Ward, M.; Watson, J.E.M.; Greenville, A.; Maurer, G.; Todd, S.; Geary, W.; Tulloch, A. Consequences of the Australian 2019/20 Wildfires for Sites Important for Biodiversity and Other World Heritage Values. Aust. Zool. 2022, 42, 182–198. [Google Scholar] [CrossRef]
- Bowman, D.M.J.S.; Rodriguez-Cubillo, D.; Prior, L.D. The 2016 Tasmanian Wilderness Fires: Fire Regime Shifts and Climate Change in a Gondwanan Biogeographic Refugium. In Ecosystem Collapse and Climate Change; Canadell, J.G., Jackson, R.B., Eds.; Ecological Studies; Springer International Publishing: Cham, Switzerland, 2021; pp. 133–153. ISBN 978-3-030-71330-0. [Google Scholar]
- Manchester, P.S. Geotourism: Energised Tourism for Tasmania. Available online: https://tasmaniangeographic.com/geotourism-energised-tourism-for-tasmania/ (accessed on 1 November 2024).
- Bradbury, J. A Keyed Classification of Natural Geodiversity for Land Management and Nature Conservation Purposes. Proc. Geol. Assoc. 2014, 125, 329–349. [Google Scholar] [CrossRef]
- Baker, R.E.; Peña, J.-M.; Jayamohan, J.; Jérusalem, A. Mechanistic Models versus Machine Learning, a Fight Worth Fighting for the Biological Community? Biol. Lett. 2018, 14, 20170660. [Google Scholar] [CrossRef]
- Cotching, W.E. Carbon Stocks in Tasmanian Soils. Soil Res. 2010, 50, 83–90. [Google Scholar] [CrossRef]
- Cotching, W.E.; Lynch, S.; Kidd, D.B. Dominant Soil Orders in Tasmania: Distribution and Selected Properties. Soil Res. 2009, 47, 537–548. [Google Scholar] [CrossRef]
- Bioregional Assessment Program Spatial Data Conversion of the Atlas of Australian Soils to the Australian Soil Classification V01 2016. Creative Commons Attribution 4.0 International. Available online: https://data.gov.au/data/dataset/6f804e8b-2de9-4c88-adfa-918ec327c32f/resource/56ba5f25-2324-43b5-8df8-b9c69ae2ea0b (accessed on 1 November 2024).
- Raymond, O.L.; Liu, S.; Gallagher, R.; Zhang, W.; Highet, L.M. Surface Geology of Australia 1:1 Million Scale Dataset 2012 Edition; Geoscience Australia: Canberra, Australia, 2012. [Google Scholar]
- Geoconservation Section Natural and Cultural Heritage Division Tasmanian Geoconservation Database (Natural Values Atlas: Geodiversity) 2016. Available online: https://www.thelist.tas.gov.au/app/content/data/geo-meta-data-record?detailRecordUID=84153191-3d32-4dad-9b85-7ec1118b64d6 (accessed on 1 November 2024).
- Dorn, R.I. Boulder Weathering and Erosion Associated with a Wildfire, Sierra Ancha Mountains, Arizona. Geomorphology 2003, 55, 155–171. [Google Scholar] [CrossRef]
- Ersoy, H.; Atalar, C.; Sünnetci, M.O.; Kolaylı, H.; Karahan, M.; Fırat Ersoy, A. Assessment of Damage on Geo-Mechanical and Micro-Structural Properties of Weak Calcareous Rocks Exposed to Fires Using Thermal Treatment Coefficient. Eng. Geol. 2021, 284, 106046. [Google Scholar] [CrossRef]
- Goudie, A.S.; Allison, R.J.; McLaren, S.J. The Relations between Modulus of Elasticity and Temperature in the Context of the Experimental Simulation of Rock Weathering by Fire. Earth Surf. Process. Landf. 1992, 17, 605–615. [Google Scholar] [CrossRef]
- Kendrick, K.J.; Partin, C.A.; Graham, R.C. Granitic Boulder Erosion Caused by Chaparral Wildfire: Implications for Cosmogenic Radionuclide Dating of Bedrock Surfaces. J. Geol. 2016, 124, 529–539. [Google Scholar] [CrossRef]
- Marsden-Smedley, J.B.; Styger, J.K.; Kirkpatrick, J.B. Impact of Changes in Lightning Fire Incidence on the Values of the Tasmanian Wilderness World Heritage Area. In Papers and Proceedings of the Royal Society of Tasmania; University of Tasmania, Australia: Hobart, Australia, 2018; Volume 152, pp. 27–32. [Google Scholar] [CrossRef]
- Prior, L.D.; French, B.J.; Storey, K.; Williamson, G.J.; Bowman, D.M.J.S.; Prior, L.D.; French, B.J.; Storey, K.; Williamson, G.J.; Bowman, D.M.J.S. Soil Moisture Thresholds for Combustion of Organic Soils in Western Tasmania. Int. J. Wildland Fire 2020, 29, 637–647. [Google Scholar] [CrossRef]
- Whinam, J.; Hope, G. The Peatlands of the Australasian Region. Stapfia 2005, 85, 397–433. [Google Scholar]
- Kirkbride, V.; Gordon, J. The Geomorphological Heritage of the Cairngorm Mountains; Scottish Natural Heritage: Inverness, UK, 2010. [Google Scholar]
- Pausas, J.G.; Keeley, J.E.; Schwilk, D.W. Flammability as an Ecological and Evolutionary Driver. J. Ecol. 2017, 105, 289–297. [Google Scholar] [CrossRef]
- Dixon, G.; Sharples, C.; Houshold, I.; Pemberton, M.; Eberhard, R. National Estate Values (Geoconservation); Conservation Management Guidelines for Geodiversity; Tasmanian Regional Forest Agreement Environment and Heritage Technical Committee: Hobart, Australia, 1997. [Google Scholar]
- Colavito, M. The Role of Risk Managament Prioritization Decision Support Tools: An Overview of Barriers, Facilitators, and Recommendations; Northern Arizona University Ecological Restoration Institute: Flagstaff, AZ, USA, 2020; p. 49. [Google Scholar]
- Esch, B.; Waltz, A.E.M. Assessing Metrics of Landscape Restoration Success in Collaborative Forest Landscape Restoration Program Projects; Ecological Restoration Institute: Flagstaff, AZ, USA, 2019; p. 12. [Google Scholar]








| Value of Geodiversity | ||||
|---|---|---|---|---|
| Geodiversity Element | Function | Culture | Economic | Scientific |
| Geology | Fracturing Spalling | Aesthetic impacts: charring, spalling, ash accumulation | Decline in geotourism (i.e., rock climbing) | Loss/degradation of fossil deposits |
| Soil | Hydrophobicity Particle fusion | Loss of biological assemblages | Reduction in capacity to support agricultural or ecological functions | Destruction of paleosols |
| Fluvial Landform | Channel widening Increased velocity | Reduced recreational value | Decreased flood hazard mitigation | Loss of channel and system properties |
| Depositional Landform | Destabilisation and Altered patterns of accumulation | Altered cultural narratives of landscapes (formation and | Loss of ecosystem support services | Disturbance of paleo-records |
| Karstic Landform | Altered drip water geochemistry | Aesthetic impacts: discoloured walls and waters | Loss of tourism opportunities and decline in safe site access | Implications for the use of records in proxies |
| Dataset | Fire-Induced Modification | Weight | Justification for Weight | Reference |
|---|---|---|---|---|
| Soil | Water Repellence | 1 | Alters soil hydrology by creating a hydrophobic layer, impacting water infiltration and increasing erosion risk. | [13,33] |
| Organic Compound Volatilisation | 1.5 | Leads to a loss of nutrients essential for soil fertility and vegetation recovery. | [34] | |
| Inorganic Compound Volatilisation | 1.5 | Causes depletion of key inorganic nutrients, with significant long-term effects on soil productivity. | [34,35] | |
| Aggregate Breakdown | 1.5 | Reduces soil structure stability, increasing erosion and susceptibility to further degradation. | [13,36] | |
| pH Increase | 0.5 | Alters soil chemistry but often leads to conditions favourable for some plants in the long term. | [16] | |
| Fungi Death | 0.75 | Negatively impacts soil ecosystems by reducing decomposition and nutrient cycling. | [14] | |
| Bacteria Death | 0.75 | Reduces microbial activity critical for nutrient availability and soil health. | [37] | |
| Soil Sterilisation | 0.2 | Rarely impacts large soil areas under natural conditions, with localised effects on biota. | [16] | |
| Organic Matter Charred | 0.3 | Reduces organic matter but can contribute to the formation of stable carbon compounds in the soil. | [38] | |
| Clay Fusion/Conversion | 2 | Causes permanent changes to soil mineralogy, significantly reducing permeability and nutrient availability. | [23,37] | |
| Lithology | Fracture | 0.1 | Largely affected aesthetics; structural implications but functionality is largely preserved. | [23,37] |
| Spall | 0.3 | Significant visual effects and external structure degraded. | ||
| Melt | 0.6 | Altered physical and chemical structure; lithological type is altered irreversibly. |
| Recommendation | Action |
|---|---|
| Develop Geosite-Specific Fire Sensitivity Assessments |
|
| Enhance Data Accessibility and Quality |
|
| Integrate Geosite Values into Fire Management |
|
| Account for Geodiversity Processes and Recovery |
|
| Recognise Fire as a Formative and Destructive Agent |
|
| Provide Practical, Accessible Tools for Fire Managers |
|
| Promote Collaborative Research and Policy Development |
|
Disclaimer/Publisher’s Note: The statements, opinions and data contained in all publications are solely those of the individual author(s) and contributor(s) and not of MDPI and/or the editor(s). MDPI and/or the editor(s) disclaim responsibility for any injury to people or property resulting from any ideas, methods, instructions or products referred to in the content. |
© 2025 by the authors. Licensee MDPI, Basel, Switzerland. This article is an open access article distributed under the terms and conditions of the Creative Commons Attribution (CC BY) license (https://creativecommons.org/licenses/by/4.0/).
Share and Cite
Hoyland, R.O.; McHenry, M.T. Modelling Relative Fire Sensitivity for Geodiversity Elements. Fire 2025, 8, 101. https://doi.org/10.3390/fire8030101
Hoyland RO, McHenry MT. Modelling Relative Fire Sensitivity for Geodiversity Elements. Fire. 2025; 8(3):101. https://doi.org/10.3390/fire8030101
Chicago/Turabian StyleHoyland, Ruby O., and Melinda T. McHenry. 2025. "Modelling Relative Fire Sensitivity for Geodiversity Elements" Fire 8, no. 3: 101. https://doi.org/10.3390/fire8030101
APA StyleHoyland, R. O., & McHenry, M. T. (2025). Modelling Relative Fire Sensitivity for Geodiversity Elements. Fire, 8(3), 101. https://doi.org/10.3390/fire8030101

