Next Article in Journal
Impact of Mezzanine Rack Shelf Spacing on Radiative Heat-Dominated Flame Spread Characteristics
Previous Article in Journal
Influence of Aging on Thermal Runaway Behavior of Lithium-Ion Batteries: Experiments and Simulations for Engineering Education
Previous Article in Special Issue
Study on the Fire Temperature Pattern of Tunnels with Beams Under the Longitudinal Smoke Exhaust Mode
 
 
Font Type:
Arial Georgia Verdana
Font Size:
Aa Aa Aa
Line Spacing:
Column Width:
Background:
Article

A Numerical Study on the Smoke Diffusion Characteristics in Tunnel Fires During Construction Under Pressed-In Ventilation

1
Beijing Key Laboratory of Green Built Environment and Energy Efficient Technology, Beijing University of Technology, Beijing 100124, China
2
Shandong Urban and Rural Planning Design Institute, Jinan 250013, China
3
School of Thermal Engineering, Shandong Jianzhu University, Jinan 250101, China
*
Author to whom correspondence should be addressed.
Fire 2025, 8(12), 480; https://doi.org/10.3390/fire8120480
Submission received: 17 November 2025 / Revised: 10 December 2025 / Accepted: 12 December 2025 / Published: 18 December 2025
(This article belongs to the Special Issue Modeling, Experiment and Simulation of Tunnel Fire)

Abstract

Pressed-in ventilation provides the possibility of implementing fire smoke control in tunnels during construction. In this study, the impact of the velocity at the air duct outlet, the heat release rate (HRR), and the tunnel geometry on the longitudinal temperature decay of the ceiling (ΔT) and smoke’s back-layering length (SBL) is investigated, using a reduced-scale experiment and the Fire Dynamics Simulator (FDS, version 6.7.6). The results indicate that an increase in the velocity at the air duct outlet and a decrease in the HRR lead to a reduction in the value of both ΔT and SBL in the main tunnel. Predictive models for the dimensionless longitudinal temperature decay of the ceiling and the dimensionless SBL are proposed. Near the fire source, the predicted SBL is relatively high due to thermal radiation. The research results provide valuable references for preventing tunnel fires during construction.

1. Introduction

As the number of tunnels under construction increases, fire accidents have become more frequent, often resulting in significant casualties and property losses [1,2,3]. The fires in the Da’an Tunnel and Xiamen Metro Line 2 resulted in six and three deaths, respectively [4]. The accumulation of smoke in tunnels is a major factor in casualties. Previous research on tunnel fires during construction mainly focused on natural ventilation scenarios. Ye et al. [5] conducted full-scale fire tests in a one-dead-end tunnel and found that the closed-end wall altered the jet flow structure of the ceiling and accelerated longitudinal temperature attenuation. Xu et al. [6] performed experiments in an L-shaped tunnel model with a scale of 1/20. They proposed a prediction model for the vertical temperature distribution of two-layer smoke. Yao et al. [7] analyzed the smoke diffusion in a two-closed-end tunnel model. The smoke exhaust system in the shaft of the construction tunnel was upgraded, resulting in an increased smoke exhaust flow.
Pressed-in ventilation is the predominant mechanical ventilation technology in the modern construction of tunnels due to its following advantages: cost-effectiveness, convenient transportation, and simple installation [8,9,10,11]. A pressed-in ventilation system operates through external fans that deliver fresh air to the working face using air ducts. The fresh air impinges on the working face, creating a backflow that drives the airflow toward the tunnel portal. This backflow is similar to the airflow formed by longitudinal ventilation. Therefore, pressed-in ventilation has the potential to inhibit the diffusion of smoke to the working area. Lee [12] analyzed the ventilation characteristics influenced by air ducts’ diameters and positions, and then performed flow analysis using the air age concept to identify optimal ventilation conditions. Jalali and Forouhandeh [13] proposed a method for assessing the reliability of long tunnel ventilation systems by determining the failure probability of active jet fans based on their failure rate time and the repair probability of shut-down fans based on their repair rate time. Menéndez et al. [14] utilized forced ventilation to assess blasting energy consumption and re-entry time under various ventilation conditions. A CFD model was developed to predict the migration time of harmful gases and to enhance the analysis of the ventilation system’s energy consumption. Chang et al. [8] investigated the impact of duct position, diameter, and ventilation velocity to derive the spatio-temporal distribution of CO concentration and its flow fields. Liu et al. [11] studied the effectiveness of the forced ventilation system, introduced the concept of combined fans, and developed a theoretical model for long-distance air supply calculations, considering the impact of air leakage in the ducts. However, most of these studies focused on dust suppression during construction, and the control of fire smoke was not paid attention to.
Lönnermark et al. [15] constructed a T-shaped tunnel model with a scale of 1/40 to study smoke diffusion with different ventilation rates and fire locations. The experimental results showed that the O2 concentration near the working face remained largely unaffected when the fire source was distant from the working face. This means that the smoke had not reached the O2 concentration measurement point. Evidently, it is the backflow that prevents the smoke from spreading towards the working face. As the fire source moves further from the working face, a larger smoke-free zone is expected to form between them. This can provide a temporary safe environment for the personnel trapped in the tunnel. Therefore, investigating fire smoke diffusion in a tunnel during construction using pressed-in ventilation is crucial.
The smoke temperature of the ceiling has been a key focus for engineers and researchers in the research on tunnel fires [16,17,18,19,20,21]. This parameter is critical for evaluating fire risk assessments. Smoke, being a high temperature, harms both people and the stability of the passage’s structure. A passage may collapse due to the smoke’s high temperature, resulting in significant casualties. For instance, most concrete loses its strength when the temperature exceeds 300 °C [22]. Meanwhile, the smoke’s back-layering flow, a unique form of smoke diffusion under ventilation, significantly impacts personnel evacuation efficiency and is a key focus in smoke control research. Li et al. [23] conducted reduced-scale experiments to study the impact of longitudinal ventilation on SBL in tunnels. In the study, two scenarios were compared: with or without obstacles. Based on the experimental results, corresponding empirical formulas were derived. Meng [24] studied an experimental bench with two fire sources with a scale of 1/20 to examine the effects of the separation distance (distance between two fire sources) and heat release rate on SBL under longitudinal ventilation. Huang et al. [25] utilized FDS to study the SBL by longitudinal ventilation in bifurcated tunnels and established a correlation model with airflow velocity from the chimney effect. However, the above-mentioned studies focused on operational tunnels that were open at both ends and there are few studies on smoke diffusion under the effect of pressed-in ventilation.
To fill this research gap, this paper studies the effects of the velocity at the air duct outlet (V), HRR (Q), and the tunnel geometry on smoke’s diffusion characteristics. Firstly, the feasibility of this method is studied through a reduced-scale experiment; then, the FDS is utilized to quantify the effects on both the longitudinal temperature decay of smoke on the ceiling and the SBL. This study is original in that it develops prediction models that accurately capture ceiling temperature decay and SBL in tunnel fires during construction under pressed-in ventilation. These results are vital for improving tunnel fire safety, offering valuable insights for the optimization of ventilation systems and structural protective measures.

2. Materials and Methods

To research fires inside tunnels, the methods of both reduced-scale experiment and numerical simulation (FDS) have been widely applied [6,26,27,28,29,30]. FDS software solves the Navier–Stokes equations and is ideal for low-speed, heat-driven smoke flow and heat transfer during fires. To calculate the diffusion characteristics of smoke, FDS employs the Large Eddy Simulation (LES) method, which can effectively address the problems caused by turbulence and buoyancy effects.

2.1. Reduced-Scale Experiment

2.1.1. Experimental Bench Setup

The purpose of conducting the reduced-scale experimental research was to explore the feasibility of fire smoke control through the pressed-in ventilation. The experiment was scaled to 1/20 according to the Froude similarity criterion [23]. The proportions of relevant parameters are shown in Table 1.
As shown in Figure 1a, the bench consists of a main tunnel (6.38 m long, 0.6 m wide, and 0.4 m high) and an inclined shaft (8 m long, 0.38 m wide, and 0.28 m high). Here, x is the distance from the upstream closed end, in m; y is the distance from the fire source, in m; and z is the height from the floor, in m. Both ends of the main tunnel are closed. The inclined shaft is the only ventilation opening in the tunnel. In this paper, Tunnel Geometry A represents the section of the inclined shaft, and Tunnel Geometry B represents the section of the main tunnel. Fireproof gypsum boards (11 mm thick) clad the ceiling, floor, and one side wall of the main tunnel. The other side wall features fireproof glass which is 8 mm thick, providing a clear view for observation.
The schematic diagram of pressed-in ventilation is shown in Figure 1b. Pressed-in ventilation is a primary method used to provide fresh air and maintain a safe working environment in a tunnel during construction. A powerful fan installed outside the tunnel pushes fresh air through a large air duct directly to the working face. This jet of clean air dilutes hazardous gases and air dust, forcing the contaminated air back along the tunnel to the entrance, thereby providing a safe breathing environment for workers.
In the research conducted in this paper, the influence of flames on air ducts is temporarily not taken into account for the following reasons:
(1)
In pressed-in ventilation, PVC air ducts are usually adopted as the air supply channels;
(2)
The flash point of PVC material is approximately 240 °C to 270 °C. PVC air ducts have good fire resistance and are not easily burned directly;
(3)
When the air duct has not failed, the influence of the airflow generated by the forced ventilation on the diffusion of flue gas becomes the main factor, which is precisely the focus of this study.
The jet flow generated at the air duct outlet is crucial for establishing the airflow within the tunnel. Therefore, in this study, a simplified representation of the air duct system is adopted. The long-distance duct extending from the inclined shaft opening to the air duct outlet is omitted from the bench of the reduced-scale experiment. The pressed-in ventilation system is simulated using a variable frequency fan connected to a PVC duct with a diameter of 0.12 m × 0.12 m, as illustrated in Figure 1c. The velocity at the air duct outlet (V) can be precisely adjusted by controlling the fan’s frequency.
The HRR is a critical parameter that must be taken into account during the design of numerical simulation scenarios. Numerous engineers highlight that HRR not only serves as a key factor in determining fire severity but also acts as a crucial criterion for evaluating the scale of a fire [29]. According to the similarity criterion, in this study, a 4.47 kW HRR (Q) was selected in the reduced-scale experiment to correspond to an 8 MW fire in the full-scale target scene [31]. For the fire source, a square propane burner (0.1 m × 0.1 m) placed 5.5 m away from the upstream closed end and located on the centerline of the main tunnel is adopted.
In the main tunnel, thermocouples are arranged 0.02 m below the ceiling at intervals of 0.1 m. The combustion time for each experimental condition is 600 s. Approximately 400 s after ignition, the smoke flow under all cases reached a stable state. Unless otherwise specified, the data from this quasi-steady-state stage will be adopted in subsequent studies. In this paper, the range of 450 s to 550 s with stable parameters is selected as the data analysis period. The specific experimental condition settings are shown in Table 2.

2.1.2. Feasibility Analysis

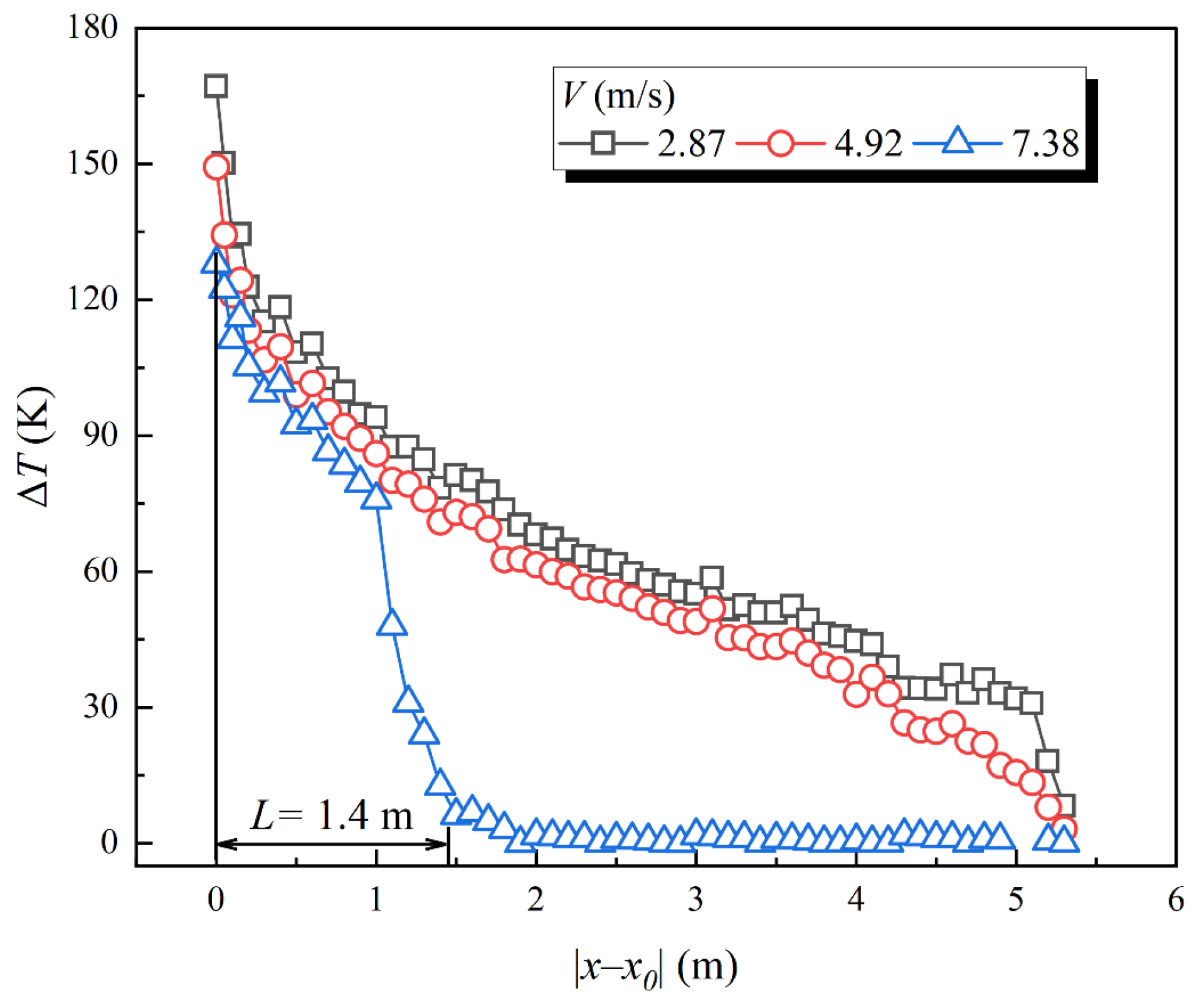
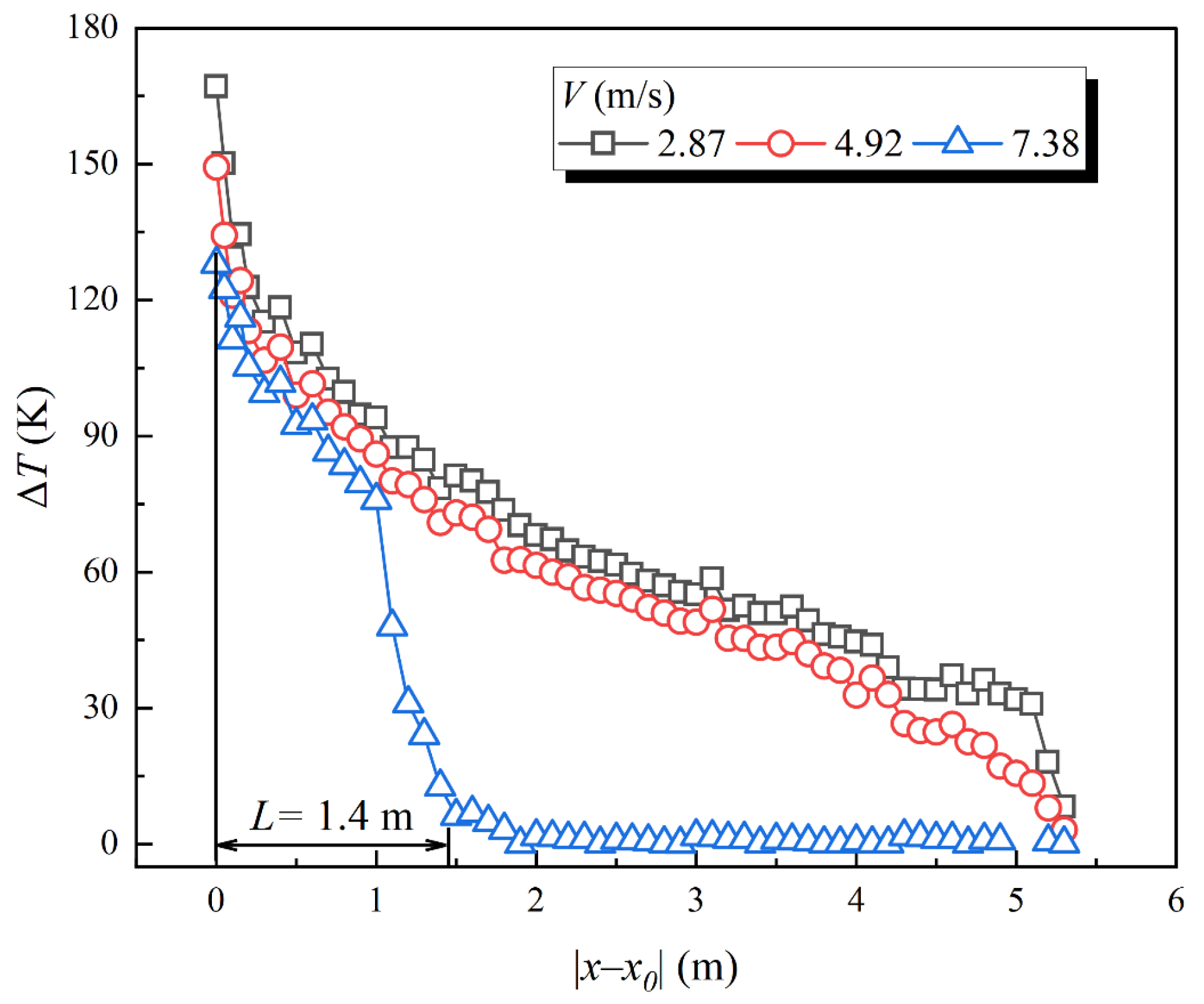
Figure 2 illustrates the longitudinal temperature decay of the ceiling (ΔT) at different values of V, where x0 is the location of the fire source (x0 = 110 m), in m; |xx0| is the distance from the fire source to the upstream closed end, in m; and ΔT is the temperature rise, in K. As the value of V decreases, the overall value of ΔT drops. When V = 7.38 m/s, the smoke temperature rise drops sharply at 1.4 m. The smoke shows a back-layering flow phenomenon. This proves that the smoke from fires in construction tunnels can be effectively controlled by adopting pressed-in ventilation. The SBL (L) is the key to studying the back-layering flow phenomenon. The SBL is determined by the longitudinal temperature distribution of the ceiling [24]. In this study, the SBL is defined as the longitudinal distance from the fire source to the smoke front. According to this definition, when V = 7.38 m/s, the measured SBL is 1.4 m (i.e., L = 1.4 m).

2.2. Numerical Simulation

2.2.1. Fire Dynamics Simulator

In this study, FDS is employed to examine fire smoke’s diffusion characteristics in tunnels during construction under pressed-in ventilation. The theoretical basis of this software is the three fundamental conservation laws (conservation of mass, conservation of momentum, and conservation of energy). The control equations are as follows:
ρ t + ρ u = 0
t ρ u + ρ u u + p = ρ g + f + τ i j
t ρ h + ρ h u = D p D t + q ˙ q ˙ + Φ

2.2.2. Physical Model Setup

In this study, FDS is employed to examine fire smoke’s diffusion characteristics in tunnels during construction under pressed-in ventilation. According to the experimental setup described in Section 2.1, a full-scale numerical model with a scale of 1:20 was established. As shown in Figure 3, this model consists of a main tunnel (127.6 m long, 12 m wide, and 8 m high) and an inclined shaft (160 m long, 7.6 m wide, and 5.6 m high). Both ends of the main tunnel are closed.

2.2.3. Fire Scenarios Settings

The material of the tunnel’s sidewalls is concrete, with a density, conductivity, and specific heat of 2280 kg/m3, 1.8 W/(m∙K), and 1.04 kJ/(kg∙K), respectively. The surface of the air duct is set as “INERT” to prevent it from being burned by flames. This paper only focuses on the smoke diffusion in the main tunnel; thus, the pressed-in ventilation system is appropriately simplified (the air duct in the inclined shaft is neglected). As shown in Figure 3, the air duct is used to supply fresh air to the upstream closed end. Additionally, the cross-sectional dimensions for the air duct are 2.4 m in width and 2.4 m in height. The distance between the air duct outlet and the upstream closed end is 15 m. The range of the airflow velocity at the cross-section in the main tunnel is specified by the Technical Specifications for Construction of Highway Tunnel (JTG/T 3660—2020) [32]. Based on the dimensions of the air duct and cross-section, the value of V should be within the range of 10 to 40 m/s.
The HRR is a critical parameter that must be taken into account during the design of numerical simulation scenarios. Numerous engineers highlight that HRR not only serves as a key factor in determining fire severity but also acts as a crucial criterion for evaluating the fire scale [29]. Ingason et al. [31] showed the HRR for different vehicles in the evacuation analysis, such as a blast hole drilling rig (Q = 6 MW), two cars (Q = 8 MW), and an articulated hauler (Q = 12 MW). In view of the above, the HRR is set as 6, 8, and 12 MW in the simulation. In this study, the most unfavorable situation where the fire source occurs in the main tunnel is considered. Therefore, a square propane burner (2 m × 2 m) is set at the junction of the main tunnel and the inclined shaft, i.e., 110 m away from the upstream closed end of the main tunnel.
The ambient temperature is set as 20 °C. The pressure is set as 101.325 Pa. All of the grid boundaries are set as “OPEN”. Two temperature slices, at y = −2 m and y = 0, are positioned in the main tunnel to observe the smoke diffusion range. A total of 52 cases are simulated, as shown in Table 3. The simulation duration for each case is 600 s. About 400 s after ignition, the smoke flow under various cases tends to stabilize. In this paper, the range of 450 s to 550 s with stable parameters is selected as the data analysis period.

2.2.4. Analysis of Grid Sensitivity and Model Verification

The grid size has a direct impact on the accuracy of the FDS results. Selecting the right grid size in FDS fire simulations is crucial to ensure its accuracy, improve its efficiency, and reduce the calculation time. The ratio of D*/δx is commonly employed to determine the suitable grid size, where D* represents the fire characteristic diameter and δx refers to the grid size. The formula is expressed as follows:
D * = ( Q ρ a C p T a g 1 / 2 ) 2 / 5
where Q is the HRR, in kW; ρa is the ambient air’s density, in kg/m3; Cp is the air’s specific heat capacity under constant pressure conditions, in kJ/kg·K; Ta is the ambient temperature, in K; and g is the gravity acceleration, in m/s2.
The FDS user’s guide describes the range of values for D*/δx [33]. In this study, for an HRR of 6–12 MW, the corresponding grid size should range between 0.65 m and 0.12 m.
Figure 4 illustrates the comparison of different grid sizes. The simulation case was set as Q = 8 MW and V = 22 m/s, whose corresponding reduced-scale tunnel bench was Q = 4.47 kW and V = 4.92 m/s. A comparison was made of the longitudinal temperature distribution of the ceiling for grid sizes of 0.5 m, 0.4 m, 0.3 m, and 0.2 m. It was found that the simulation values are relatively close between grid sizes of 0.3 m and 0.2 m. With a grid size of 0.2 m, the total number of grid cells is around 5,035,200, which greatly increased the simulation time and affected its efficiency. Considering the calculation accuracy and efficiency, 0.3 m (grid size) was used for the subsequent research.
In order to validate the simulation results, experiment case T2 was used for comparison with the simulated case (Q = 8 MW and V = 22 m/s), as shown in Figure 5. The values measured in the experiment have been converted according to the Froude similarity criterion. The comparison shows that the attenuation trend of the simulation results is basically consistent with the experimental results, with an error not exceeding 16%. This is sufficient to prove that the numerical simulation method adopted in this study can be used for research on the diffusion of fire smoke under pressed-in ventilation conditions.

3. Results and Discussion

3.1. Smoke Diffusion Characteristics

Figure 6 shows the smoke diffusion of fire in the tunnel during construction by pressed-in ventilation (Q = 12 MW, V = 30 m/s). Due to the pressed-in ventilation, the spread of smoke is restricted, and the smoke front is located 50 m from the fire source. In the area in the smoke front (|xx0| < 50 m), the smoke declines to the tunnel floor, forming a thick smoke layer. The vertical temperature shows significant differences, and the smoke is confined within a limited height under the ceiling. In the inclined shaft, the smoke mixes vigorously across the cross-section and gradually flows to the tunnel portal. Due to the temperature slice at y = 0 m, where the main tunnel is blocked by the air duct, it is impossible to accurately analyze the ceiling smoke. As the smoke gradually recedes from the fire source, the longitudinal temperature decay of the smoke on the ceiling enters a one-dimensional diffusion state, and the smoke diffusion at different sections remains consistent. In view of this, the temperature slice at y = −2 m is subsequently selected to analyze the SBL.
Figure 7 illustrates the temperature at Tunnel Geometry B in the temperature slice at y = −2 m (see Figure 3) at different V when Q = 12 MW. When V = 0, the smoke arrives at the upstream closed end. After that, the smoke declines and flows toward the fire source. This creates a backflow of smoke, opposite to the ceiling jet [6,34]. The smoke disperses throughout the entire cross-sectional area of Tunnel Geometry B. The airflow created by the pressed-in ventilation combines with the smoke, leading to a substantial decrease in smoke temperature at V = 10 m/s. At this velocity, the smoke continues to occupy the entire cross-sectional area of Tunnel Geometry B. As the value of V increases to 20 m/s, a further reduction in smoke temperature occurs, and the smoke layer exhibits a noticeable upward displacement. At V = 30 m/s, the continued increase in value of V causes backflow of the smoke in Tunnel Geometry B, with the smoke front reaching 50 m from the fire source. The smoke layer is elevated to a range of 2.4 to 4.8 m and does not descend to the floor. At this stage, the smoke is effectively controlled. Finally, when V = 40 m/s, the backflow phenomenon in the main tunnel disappears, and the smoke between the fire source and the upstream closed end is fully controlled.
Figure 8 shows that the distance between the smoke front and the fire source significantly shortens as the HRR (Q) decreases (from 50 m at 12 MW to 12 m at 6 MW), which reflects that a higher HRR will significantly increase the difficulty of smoke control.

3.2. Longitudinal Temperature Decay of the Ceiling

Since the temperature section at y = −2 m is selected as the research section in this paper, its temperature distribution inevitably differs from that of the y = 0 m section. Therefore, to study the longitudinal temperature decay of the ceiling, it is necessary to determine the starting position of one-dimensional spread (xst) [10]. Ji et al. [10] define the starting position of the one-dimensional spread as the location where the temperature difference between two sets of measurement points at the same cross-section is below 5 °C. Based on this definition, they established the relationship between the value of xst and HRR:
x s t * = x s t H = 3.8727 ( Q * ) 0.7125
where xst* is the dimensionless xst; H is the height of Tunnel Geometry B, in m; and Q* is the dimensionless HRR.
According to Equation (5), the value of xst in this paper can be obtained, as shown in Table 4:
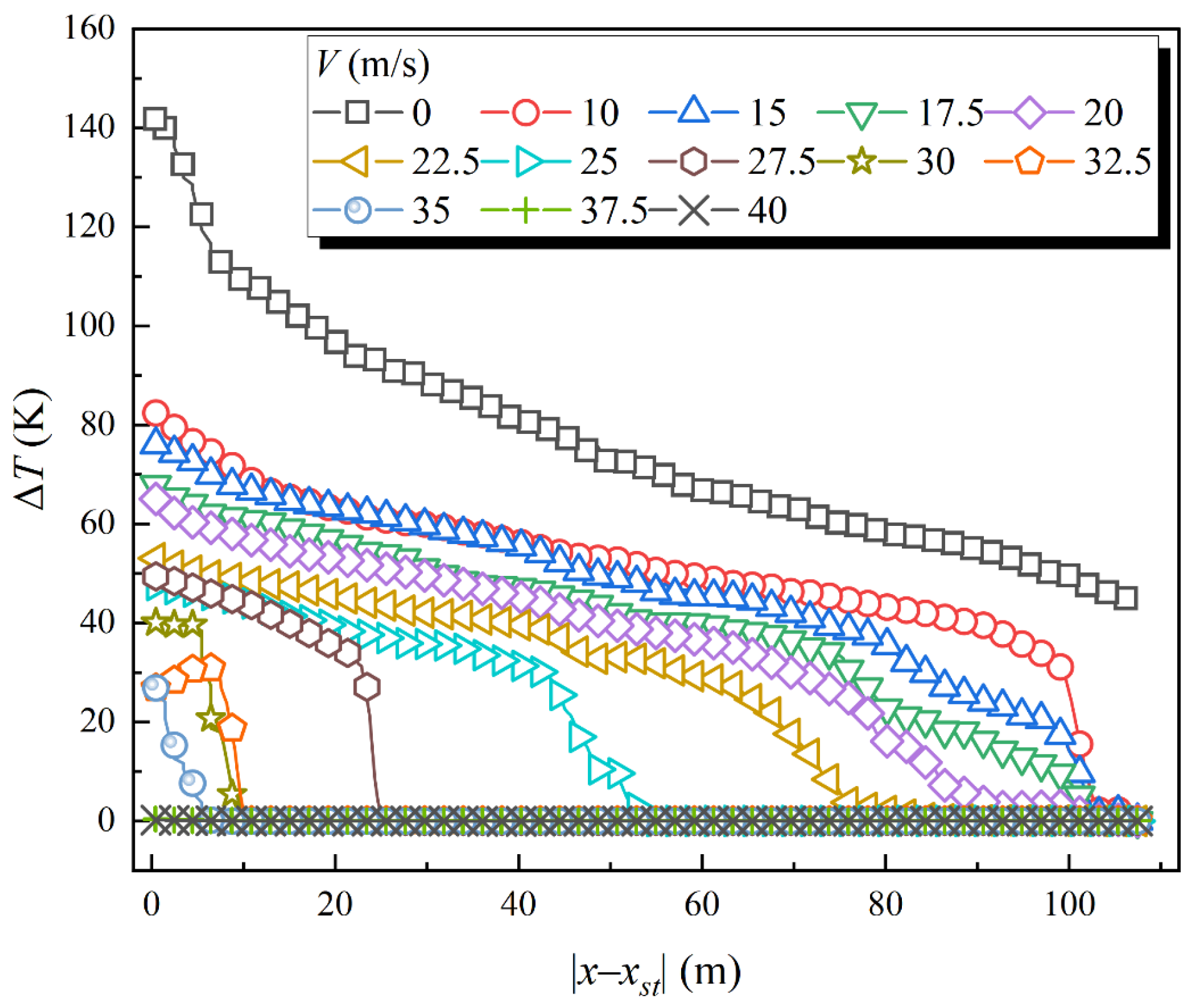
Figure 9 illustrates the comparison of ΔT and |xxst| under different V (Q = 6 MW, Tunnel Geometry A + B). As the smoke continuously moves away from the starting position of one-dimensional spread, the temperature gradually decays. When V = 0, there is no mechanical ventilation in the main tunnel, and the temperature rise at the starting position of one-dimensional spread reaches 142 K. When V = 10 m/s, the smoke is influenced by the pressed-in ventilation in Tunnel Geometry B, and the value of ΔT drops significantly. The value of ΔT at xst decreases to 82 K. Meanwhile, near the upstream closed end, the temperature rise drops sharply, and the smoke begins to show the back-layering flow phenomena. As the value of V increases from 10 m/s to 30 m/s, the ΔT value gradually decreases, and the back-layering flow phenomenon becomes more and more obvious. When V = 35 m/s, the temperature rise at xst drops to 27 K. When V = 37.5 m/s, the back-layering phenomenon disappears, and the smoke is completely controlled downstream of the fire source.
Figure 10 shows the comparison of ΔT and |xxst| in Tunnel Geometry B under different Q (V = 30 m/s, Tunnel Geometry A + B). As Q increases from 6 MW to 12 MW, the temperature rise at xst increases from 40 K to 73 K, and the longitudinal temperature rise in smoke on the ceiling increases significantly. By observing the position where the value of ΔT increase decreases abruptly, it can be concluded that the smoke front is gradually distancing itself from the fire source [24].
Figure 11 takes cases 39 and 52 as examples to show the effect of the tunnel geometry on the value of ΔT. When the smoke is discharged from the tunnel via the long inclined shaft, the upward slope of the inclined shaft creates a stack effect. This intensifies air convection and further reduces the smoke temperature rise. This results in a relatively small value of ΔT in Tunnel Geometry B. In the case of Tunnel Geometry A + B (case 39), the ceiling smoke longitudinal temperature rise is between 48.6 K and 73.5 K. In the case of Tunnel Geometry B (case 39), the longitudinal temperature rise in smoke on the ceiling is between 49.7 K and 77.7 K. It means that the inclined shaft increases the longitudinal temperature distribution of smoke on the ceiling, but it does not increase the difficulty of smoke control.
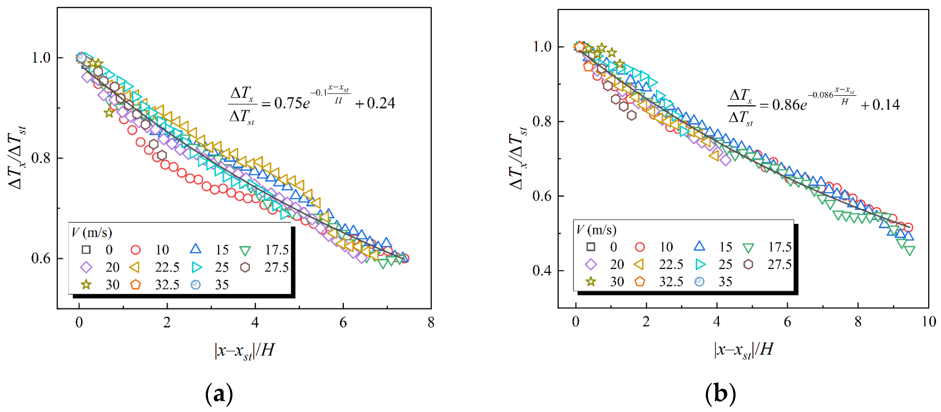
Figure 12 shows the relationship between dimensionless distance from the starting position of one-dimensional spread (|xxst|/H) and dimensionless longitudinal temperature decay of the ceiling (ΔTxTst) from the starting position of one-dimensional spread, where ΔTx is the value of ΔT at a distance from the fire source, in K; ΔTst is the value of ΔT at xst, in K. It can be observed that the dimensionless temperature rise distribution of smoke on the ceiling conforms to the same law, regardless of V’s value. Previous research has demonstrated that the longitudinal temperature decay of the ceiling can be effectively represented by a simple exponential function [35,36]. The relationship of ΔTxTst and |xxst|/H can be expressed by Equation (6) [10]:
Δ T | x x s t | / Δ T s t = a e b ( x x s t ) / H + c
where a, b, and c are the constants.
According to Equation (6), the predictive models for the relationship of ΔTxTst and |xxst|/H in this study are shown in the following Table 5:
By taking the average of a, b, and c in Table 5, we can yield the following formula:
Δ T | x x s t | / Δ T s t = 0.75 e 1.04 ( x x s t ) / H + 0.24
As illustrated in Figure 13, the predictive model proposed in this paper has a strong correlation with the simulation value. This indicates that the predictive model developed in this study is accurate and dependable. In references [10,37], the predicted values were relatively higher when |xxst|/H > 10.4. This occurred because the heat exchange between the smoke and airflow was limited under natural ventilation conditions, resulting in a relatively higher temperature. Therefore, the predictive model proposed in this paper is suitable for forecasting the decay of longitudinal temperature rise in smoke on the ceiling under forced ventilation conditions.
When the longitudinal velocity applied to the smoke is high enough, the smoke will be controlled directly above the fire source. At this time, this longitudinal velocity is called the critical velocity [23]. The value of each critical velocity would be associated with its corresponding velocity at the air duct outlet (V′), as detailed in Table 6.

3.3. Smoke Back-Layering Length

Figure 14 illustrates the comparison of the SBL at different Q and V (Tunnel Geometry A + B). When L > 95 m, the smoke front is located between the air duct outlet and the upstream closed end. In this area, the jet flow generated by the pressed-in ventilation flows from the air duct outlet. Once the jet flow reaches the upstream closed end, it reverses direction and flows back toward the tunnel portal (backflow). A vortex area is created where the jet flow interacts with the backflow [8]. When the smoke flows into the vortex area, it spreads throughout the entire cross-sectional area in Tunnel Geometry B under the influence of the vortex, and the smoke control effect is poor. With the increase in the value of V, the SBL does not decrease significantly and basically remains unchanged. When the smoke is controlled between the air duct outlet and the fire source (0 < L < 95 m), the smoke is no longer affected by the jet flow. The influence of backflow on smoke is similar to that of longitudinal ventilation. Hence, the smoke control effect is enhanced. The increase in the smoke’s back-layering length becomes significant as the velocity at the air duct outlet increases. Based on the above analysis, the influence of pressed-in ventilation on the smoke’s back-layering length can be divided into two regions: Region I (L > 95 m) and Region II (0 < L < 95 m). For instance, when Q = 12 MW, the SBL decreases only slightly from 110 m to 102.5 m as the V value increases from 0 m/s to 25 m/s (Region I). However, in Region II, as the velocity increases from 27.5 m/s to 40 m/s, the SBL drops significantly from 74.3 m to 0.
As illustrated in Figure 15, the variations in SBL closely follow the changes in the value of V; regardless of whether the smoke is discharged through the inclined shaft (in both Regions I and II), the SBL remains basically unchanged.
Figure 16 illustrates the comparison of the dimensionless SBL (L/H) and the value of Q*1/3/V*. In Region I, the value of L/H is constant, as follows:
L H = 13.08
where Q* is the dimensionless heat release rate; V* is the dimensionless velocity at the air duct outlet. Its formulae are as follows:
Q * = Q ρ a C p T a g 1 / 2 H 5 / 2  
V * = V g H
The theoretical analysis is conducted for Region II as follows:
Feng et al. [38] found that the value of airflow velocity in Tunnel Geometry B (Vx) first decreases and then tends to a constant from the air duct outlet to the tunnel portal. Therefore, the value of Vx should be a monotonically ascending concave function (rising slowly at first and then rising sharply) from the fire source to the air duct outlet. It conforms to the form of a power function with an exponent greater than one, as shown below:
V x = A ( | x x 0 | + B ) C + D
where A, B, C, and D are the constants.
Nan et al. [39] found that the dimensionless airflow velocity in Tunnel Geometry B (Vx/V) conforms to the same curve. It means that the normalized curve is not affected by the value of V. Then, Equation (11) can be rewritten as the following equation:
V x V = A ( | x x 0 | H + B ) C + D
where |xx0|/H is the dimensionless distance from the fire source.
The velocity of the smoke front (Vsx) conforms to the following equation [40]:
V s x = 0.8 g Q T s 2 C p ρ a T a 2 W 1 / 3
where Ts is the smoke temperature, in K; W is the tunnel’s width, in m.
At the interface between smoke flow and airflow, the smoke temperature can be considered the same as the airflow temperature, i.e., Ts = Ta. Meanwhile, the smoke front and the airflow front reach a dynamic equilibrium, i.e.:
( A ( | x x 0 | H + B ) C + D ) V = 0.8 ( g Q T s 2 C p ρ a T a 2 W ) 1 / 3
At this time, |xx0|/H = L/H. Therefore, Equation (14) can be rewritten as the following:
L H = A V ( Q T a ) 1 / 3 + B D + C
Substituting Ta = 293 K into Equation (15), the predictive model in Region II is shown as follows:
L H = 235.52 Q * 1 / 3 V * 20.2
Building on the previous analysis, the predictive model for the SBL in this paper can be summarized as follows:
L H = { 235.52 Q * 1 / 3 V * 20.2 ,   0 < Q * 1 / 3 V * < 0.14 13.08 ,   0.14 < Q * 1 / 3 V * < 0.35
It can be seen that the error for 90% of the values is within ±20%, and the cases where the error value exceeds ±20% all occur when L/H < 4, as shown in Figure 17. This is because the smoke front is close to the fire source and is affected by the thermal radiation of the flame when the SBL is small and the value of V is large, resulting in a larger predicted value of the smoke’s back-layering length. However, the error caused by this assumption did not affect the overall accuracy of the result, and the error range is still within an acceptable range. By comparing the relevant experimental values with this predictive model, it was found that the error was relatively small. This indicates that this predictive model is both precise and trustworthy.

3.4. Limitations

Reduced-scale experiments and numerical simulations were used to study smoke diffusion under varying HRRs (6, 8, and 12 MW), velocities at the air duct outlet (0–40 m/s), and tunnel geometries. Predictive models were obtained from the analysis. However, the study has certain limitations:
(1)
The location of the fire source was not taken into account;
(2)
The slope of the inclined shaft was not taken into account;
(3)
A relatively short length of the main tunnel was selected.
Therefore, whether this predictive model is applicable to fire scenarios with different fire source locations, inclined shaft slopes, and super long construction tunnels still requires further research.

4. Conclusions

With regard to tunnel fire scenarios during construction, this paper conducts theoretical analysis, a reduced-scale experiment, and numerical simulation to investigate the effects of V, Q, and tunnel geometry on the smoke’s diffusion characteristics as affected by the pressed-in ventilation. The key findings are summarized as follows:
(1)
In the reduced-scale experimental study, it was found that the smoke has a back-layering flow phenomenon when V = 7.38 m/s, with a back-layering length of 1.4 m. This initially verified the feasibility of the fire smoke control in the tunnel during construction under the pressed-in ventilation.
(2)
Due to the pressed-in ventilation, the smoke back-layering flow phenomenon occurs in Tunnel Geometry B. In this condition, the smoke layer is destroyed and declines close to the floor, and the smoke in Tunnel Geometry A spreads throughout the cross-section and is exhausted out of the tunnel. As the value of V increases and the HRR decreases, both the longitudinal temperature of smoke on the ceiling and the SBL in Tunnel Geometry B are reduced. When Q = 12 MW and V = 40 m/s (Tunnel Geometry A + B), the smoke back-layering flow phenomenon has disappeared. There is no longer any smoke remaining between the fire source and the upstream closed end.
(3)
The dimensionless predictive models for the longitudinal temperature decay of the ceiling and the SBL were obtained through the combination of theoretical analysis and numerical simulation. Compared with previous studies, when |xxst|/H > 10.4, the increased convective heat transfer between the smoke and airflow due to ventilation leads to a relatively low predicted value of ΔTxTst from the predictive model. When the smoke front is close to the fire source, the predicted value of the smoke’s back-layering length is relatively high due to the influence of thermal radiation. The error caused by this assumption did not affect the overall accuracy of the result, and the error range is still within an acceptable range. Meanwhile, the results of the simulation predictive model are close to the experimental values. The predictive model remains accurate and reliable.
This work established predictive models for the longitudinal temperature decay of the ceiling and the SBL under the effect of pressed-in ventilation in tunnels during construction, which can provide certain guidance for the ventilation design of future construction tunnels.

Author Contributions

Conceptualization, L.L. and Y.L.; methodology, L.L.; software, L.L.; validation, L.L., K.W., and L.X.; formal analysis, L.L. and M.L.; investigation, K.W.; resources, Y.L.; data curation, L.X.; writing—original draft preparation, M.Q.; writing—review and editing, Y.L.; visualization, K.W.; supervision, Y.L.; and funding acquisition, Y.L. All authors have read and agreed to the published version of the manuscript.

Funding

This research was funded by Beijing Natural Science Foundation (Grant No.: 8222002).

Data Availability Statement

Restrictions apply to the datasets.

Conflicts of Interest

The authors declare no conflicts of interest.

References

  1. Yoon, Y.-E.; Bae, Y.-H.; Seung-Chul, L. Fire Risk Assessment in railway tunnels based on human safety assessment criteria in Korea. Fire Saf. J. 2025, 157, 104507. [Google Scholar] [CrossRef]
  2. Ingason, H. Model scale tunnel tests with water spray. Fire Saf. J. 2008, 43, 512–528. [Google Scholar] [CrossRef]
  3. Díaz, R.S.; Lantsoght, E.; Hendriks, M.A.N. Structural behaviour of tunnels exposed to fire using numerical modelling strategies. Fire Saf. J. 2025, 152, 104335. [Google Scholar] [CrossRef]
  4. Zhu, Y.; Zhou, J.; Zhang, B.; Wang, H.; Huang, M. Statistical analysis of major tunnel construction accidents in China from 2010 to 2020. Tunn. Undergr. Space Technol. 2022, 124, 104460. [Google Scholar] [CrossRef]
  5. Ye, K.; Zhou, X.; Zheng, Y.; Liu, H.; Tang, X.; Cao, B.; Huang, Y.; Chen, Y.; Yang, L. Estimating the longitudinal maximum gas temperature attenuation of ceiling jet flows generated by strong fire plumes in an urban utility tunnel. Int. J. Therm. Sci. 2019, 142, 434–448. [Google Scholar] [CrossRef]
  6. Xu, L.; Qiu, M.; Zhao, Y.; Ding, C.; Yu, W.; Zhao, S.; Li, L.; Liu, J. Experimental study on vertical temperature distribution of the two-layer smoke flow in tunnel during construction. Tunn. Undergr. Space Technol. 2023, 136, 105105. [Google Scholar] [CrossRef]
  7. Yao, Y.Z.; Wang, R.; Xia, Z.Y.; Ren, F.; Zhao, J.L.; Zhu, H.Q.; Cheng, X.D. Numerical study of the characteristics of smoke spread in tunnel fires during construction and method for improvement of smoke control. Case Stud. Therm. Eng. 2022, 34, 102043. [Google Scholar] [CrossRef]
  8. Chang, X.K.; Chai, J.R.; Luo, J.P.; Qin, Y.; Xu, Z.G.; Cao, J. Tunnel ventilation during construction and diffusion of hazardous gases studied by numerical simulations. Build. Environ. 2020, 177, 106902. [Google Scholar] [CrossRef]
  9. Zhou, Y.; Yang, Y.; Bu, R.W.; Ma, F.; Shen, Y.J. Effect of press-in ventilation technology on pollutant transport in a railway tunnel under construction. J. Clean. Prod. 2020, 243, 118590. [Google Scholar] [CrossRef]
  10. Ji, J.; Tan, T.; Gao, Z.; Wan, H.; Zhu, J.; Ding, L. Numerical Investigation on the Influence of Length–Width Ratio of Fire Source on the Smoke Movement and Temperature Distribution in Tunnel Fires. Fire Technol. 2019, 55, 963–979. [Google Scholar] [CrossRef]
  11. Liu, J.; Xu, L.; Yu, W.; Ding, C.; Yu, K.F.; Zhao, S.Z.; Chen, S.; Li, L.Y. Theoretical prediction on supply air performance and CO dilution effect of the pressed-in ventilation system during the construction period. Tunn. Undergr. Space Technol. 2025, 157, 106304. [Google Scholar] [CrossRef]
  12. Lee, D.K. A Computational Flow Analysis for Choosing the Diameter and Position of an Air Duct in a Working Face. J. Min. Sci. 2011, 47, 664–674. [Google Scholar] [CrossRef]
  13. Jalali, S.E.; Forouhandeh, S.F. Reliability estimation of auxiliary ventilation systems in long tunnels during construction. Saf. Sci. 2011, 49, 664–669. [Google Scholar] [CrossRef]
  14. Menéndez, J.; Sanabria, M.; Fernández-Oro, J.M.; Galdo-Vega, M.; de Prado, L.A.; Bernardo-Sánchez, A. Energy consumption and dilution of toxic gases in underground infrastructures: A case study in a railway tunnel under forced ventilation. Energy 2024, 307, 132810. [Google Scholar] [CrossRef]
  15. Lönnermark, A.; Hugosson, J.; Ingason, H. Fire incidents during construction work of tunnels-Model scale experiments. Fire Technol. 2010, 2020, 86. [Google Scholar]
  16. Saito, S.; Yamauchi, Y. Numerical study of the influence of tunnel wall properties on ceiling jet temperature in tunnel fires. Tunn. Undergr. Space Technol. 2021, 116, 104087. [Google Scholar] [CrossRef]
  17. Li, Y.Z.; Lei, B.; Ingason, H. The maximum temperature of buoyancy-driven smoke flow beneath the ceiling in tunnel fires. Fire Saf. J. 2011, 46, 204–210. [Google Scholar] [CrossRef]
  18. Li, Y.Z.; Ingason, H. The maximum ceiling gas temperature in a large tunnel fire. Fire Saf. J. 2012, 48, 38–48. [Google Scholar] [CrossRef]
  19. Kurioka, H.; Oka, Y.; Satoh, H.; Sugawa, O. Fire properties in near field of square fire source with longitudinal ventilation in tunnels. Fire Saf. J. 2003, 38, 319–340. [Google Scholar] [CrossRef]
  20. Hu, L.H.; Tang, W.; Chen, L.F.; Yi, L. A non-dimensional global correlation of maximum gas temperature beneath ceiling with different blockage–fire distance in a longitudinal ventilated tunnel. Appl. Therm. Eng. 2013, 56, 77–82. [Google Scholar] [CrossRef]
  21. Alpert, R.L. Calculation of response time of ceiling-mounted fire detectors. Fire Technol. 1972, 8, 181–195. [Google Scholar] [CrossRef]
  22. Yao, Y.; Cheng, X.; Zhang, S.; Zhu, K.; Zhang, H.; Shi, L. Maximum smoke temperature beneath the ceiling in an enclosed channel with different fire locations. Appl. Therm. Eng. 2017, 111, 30–38. [Google Scholar] [CrossRef]
  23. Li, Y.Z.; Lei, B.; Ingason, H. Study of critical velocity and backlayering length in longitudinally ventilated tunnel fires. Fire Saf. J. 2010, 45, 361–370. [Google Scholar] [CrossRef]
  24. Meng, N. Experimental study on flame merging behaviors and smoke backlayering length of two fires in a longitudinally ventilated tunnel. Tunn. Undergr. Space Technol. 2023, 137, 105147. [Google Scholar] [CrossRef]
  25. Huang, Y.B.; Liu, X.; Dong, B.Y.; Zhong, H.; Wang, B.; Dong, Q.W. Effect of inclined mainline on smoke backlayering length in a naturally branched tunnel fire. Tunn. Undergr. Space Technol. 2023, 134, 104985. [Google Scholar] [CrossRef]
  26. Zhou, T.; Li, H.; Chen, Q.; Wei, R.; Wang, J. Understanding sidewall constraint involving ventilation effects on temperature distribution of fire-induced thermal flow under a tunnel ceiling. Int. J. Therm. Sci. 2018, 129, 290–300. [Google Scholar] [CrossRef]
  27. Yin, Y.; Xu, Z.; Lei, Z.; Xie, B.; Liu, Q. Study of air supplement velocity by thermal stack effect and critical velocity under longitudinal ventilation in the uniclinal V-shaped tunnel. Case Stud. Therm. Eng. 2024, 60, 104723. [Google Scholar] [CrossRef]
  28. Tomar, M.S.; Khurana, S.; Chowdhury, S. A numerical method for studying the effect of calcium silicate lining on road tunnel fires. Therm. Sci. Eng. Prog. 2022, 29, 101245. [Google Scholar] [CrossRef]
  29. Chen, W.; Liu, Y.; Cao, Z.; Zhou, P.; Chen, C.; Wu, Z.; Fang, Z.; Yang, L.; Liu, X. A Study on the Influence of Mobile Fans on the Smoke Spreading Characteristics of Tunnel Fires. Fire 2024, 7, 397. [Google Scholar] [CrossRef]
  30. Álvarez-Coedo, D.; Ayala, P.; Cantizano, A.; Węgrzyński, W. A coupled hybrid numerical study of tunnel longitudinal ventilation under fire conditions. Case Stud. Therm. Eng. 2022, 36, 102202. [Google Scholar] [CrossRef]
  31. Ingason, H.; Lönnermark, A.; Frantzich, H.; Kumm, M. Fire Incidents During Construction Work of Tunnels; SP Sveriges Tekniska Forskningsinstitut: Borås, Sweden, 2010. [Google Scholar]
  32. JTG/T 3660—2020; Technical Specifications for Construction of Highway Tunnel. Ministry of Transport of the People’s Republic of China: Beijing, China, 2020.
  33. McGrattan, K.; Hostikka, S.; McDermott, R.; Floyd, J.; Weinschenk, C.; Overholt, K. Fire Dynamics Simulator User’s Guide; NIST Special Publication; NIST: Gaithersburg, MD, USA, 2013; Volume 1019, p. 6.
  34. Tong, W.; Ge, F.; Ding, L.; Ji, J.; Zhou, Y.; Zhou, Y.; Zhou, F. Full-scale experimental and numerical study of smoke spread characteristics in a long-closed channel with one lateral opening. Tunn. Undergr. Space Technol. 2023, 132, 104919. [Google Scholar] [CrossRef]
  35. Xinling, L.; Miaocheng, W.; Fang, L.; Fei, W.; Jiaqiang, H.; Sherman, C.C. Effect of bifurcation angle and fire location on smoke temperature profile in longitudinal ventilated bifurcated tunnel fires. Tunn. Undergr. Space Technol. Inc. Trenchless Technol. Res. 2022, 127, 104610. [Google Scholar] [CrossRef]
  36. Ji, J.; Fan, C.G.; Zhong, W.; Shen, X.B.; Sun, J.H. Experimental investigation on influence of different transverse fire locations on maximum smoke temperature under the tunnel ceiling. Int. J. Heat Mass Transf. 2012, 55, 4817–4826. [Google Scholar] [CrossRef]
  37. Zhong, M.; Shi, C.; He, L.; Shi, J.; Liu, C.; Tian, X. Smoke development in full-scale sloped long and large curved tunnel fires under natural ventilation. Appl. Therm. Eng. 2016, 108, 857–865. [Google Scholar] [CrossRef]
  38. Feng, X.; Jiang, Z.; Zhang, G.; Luo, X.; Zeng, F. Study on CO diffusion law and concentration distribution function under ventilation after blasting in high-altitude tunnel. J. Wind. Eng. Ind. Aerodyn. 2022, 220, 104871. [Google Scholar] [CrossRef]
  39. Nan, C.Z.; Ma, J.M.; Luo, Z.; Zheng, S.L.; Wang, Z.W. Numerical study on the mean velocity distribution law of air backflow and the effective interaction length of airflow in forced ventilated tunnels. Tunn. Undergr. Space Technol. 2015, 46, 104–110. [Google Scholar] [CrossRef]
  40. Ji, J.; Guo, F.; Gao, Z.; Zhu, J. Effects of ambient pressure on transport characteristics of thermal-driven smoke flow in a tunnel. Int. J. Therm. Sci. 2018, 125, 210–217. [Google Scholar] [CrossRef]
Figure 1. The bench of the reduced-scale experiment. (a) Schematic diagram of reduced-scale experiment (in m). (b) Schematic diagram of pressed-in ventilation. (c) The position of the air duct (in cm).
Figure 1. The bench of the reduced-scale experiment. (a) Schematic diagram of reduced-scale experiment (in m). (b) Schematic diagram of pressed-in ventilation. (c) The position of the air duct (in cm).
Fire 08 00480 g001
Figure 2. The longitudinal temperature decay of the ceiling under different velocities at the air duct outlet.
Figure 2. The longitudinal temperature decay of the ceiling under different velocities at the air duct outlet.
Fire 08 00480 g002
Figure 3. Schematic diagram of the numerical tunnel model.
Figure 3. Schematic diagram of the numerical tunnel model.
Fire 08 00480 g003
Figure 4. Comparison of different grid sizes.
Figure 4. Comparison of different grid sizes.
Fire 08 00480 g004
Figure 5. Comparison of ΔT and |xx0|.
Figure 5. Comparison of ΔT and |xx0|.
Fire 08 00480 g005
Figure 6. The smoke diffusion characteristics of the tunnel fire during construction under the pressed-in ventilation (case 35).
Figure 6. The smoke diffusion characteristics of the tunnel fire during construction under the pressed-in ventilation (case 35).
Fire 08 00480 g006
Figure 7. Temperature distribution in the temperature slice at y = −2 m in Tunnel Geometry B under different velocities at the air duct outlet (cases 27–39).
Figure 7. Temperature distribution in the temperature slice at y = −2 m in Tunnel Geometry B under different velocities at the air duct outlet (cases 27–39).
Fire 08 00480 g007
Figure 8. The temperature slice at y = −2 m in Tunnel Geometry B under different heat release rates (cases 9, 22, and 35).
Figure 8. The temperature slice at y = −2 m in Tunnel Geometry B under different heat release rates (cases 9, 22, and 35).
Fire 08 00480 g008
Figure 9. The longitudinal temperature decay of the ceiling at different velocities at the air duct outlet (cases 1–13).
Figure 9. The longitudinal temperature decay of the ceiling at different velocities at the air duct outlet (cases 1–13).
Fire 08 00480 g009
Figure 10. Comparison of ΔT and |xxst| in Tunnel Geometry B at different heat release rates (cases 9, 22, and 35).
Figure 10. Comparison of ΔT and |xxst| in Tunnel Geometry B at different heat release rates (cases 9, 22, and 35).
Fire 08 00480 g010
Figure 11. The influence of the tunnel geometry on the longitudinal temperature decay of the ceiling (cases 39 and 52).
Figure 11. The influence of the tunnel geometry on the longitudinal temperature decay of the ceiling (cases 39 and 52).
Fire 08 00480 g011
Figure 12. Comparison of ΔTxTst and |xxst|/H. (a) Q = 6 MW, Tunnel Geometry A + B. (b) Q = 8 MW, Tunnel Geometry A + B. (c) Q = 12 MW, Tunnel Geometry A + B. (d) Q = 12 MW, Tunnel Geometry B.
Figure 12. Comparison of ΔTxTst and |xxst|/H. (a) Q = 6 MW, Tunnel Geometry A + B. (b) Q = 8 MW, Tunnel Geometry A + B. (c) Q = 12 MW, Tunnel Geometry A + B. (d) Q = 12 MW, Tunnel Geometry B.
Fire 08 00480 g012aFire 08 00480 g012b
Figure 13. Comparison of the predictive model and the simulated value (Ji et al. [10] and Zhong et al. [37]).
Figure 13. Comparison of the predictive model and the simulated value (Ji et al. [10] and Zhong et al. [37]).
Fire 08 00480 g013
Figure 14. Comparison of the SBL at different velocities at the air duct outlet and heat release rates (cases 1–39).
Figure 14. Comparison of the SBL at different velocities at the air duct outlet and heat release rates (cases 1–39).
Fire 08 00480 g014
Figure 15. Comparison of the tunnel geometry on the SBL at different velocities at the air duct outlet and heat release rates (cases 40–52).
Figure 15. Comparison of the tunnel geometry on the SBL at different velocities at the air duct outlet and heat release rates (cases 40–52).
Fire 08 00480 g015
Figure 16. Analyses of the dimensionless SBL.
Figure 16. Analyses of the dimensionless SBL.
Fire 08 00480 g016
Figure 17. Comparison of the predicted value and the measured value of L/H.
Figure 17. Comparison of the predicted value and the measured value of L/H.
Fire 08 00480 g017
Table 1. The proportions of relevant parameters.
Table 1. The proportions of relevant parameters.
Type of UnitScaling
Geometry (m)Lmodel/Lfull
HRR (kW)Qmodel/Qfull = (Lmodel/Lfull)5/2
Velocity (m/s)vmodel/vfull = (Lmodel/Lfull)1/2
Time (s)tmodel/tfull = (Lmodel/Lfull)1/2
Temperature (K)Tmodel/Tfull = Lmodel/Lfull
Note: Subscripts “model” and “full” refer to the reduced-scale experimental bench and the full-scale tunnel, respectively.
Table 2. Experimental case conditions.
Table 2. Experimental case conditions.
Case No.Q [MW]V [m/s]Tunnel Geometry
T14.47 kW2.87A + B
T24.92
T37.38
Table 3. Simulation case conditions.
Table 3. Simulation case conditions.
Case No.Q [MW]V [m/s]Tunnel
Geometry
1–1360/10/15/17.5/20/22.5/25/27.5/30/32.5/35/37.5/40A + B
14–268A + B
27–3912A + B
40–5212B
Table 4. The value of xst.
Table 4. The value of xst.
xst [m]|xxst| [m]Q [MW]
107.452.556
106.873.138
105.824.1812
Note: |xxst| is the distance from xst, in m.
Table 5. The relationship of ΔTxTst and |xxst|/H in this study.
Table 5. The relationship of ΔTxTst and |xxst|/H in this study.
Q
[MW]
Tunnel
Geometry
abcR2
6A + B0.75−0.10.240.95
8A + B0.86−0.0860.140.97
12A + B0.61−0.1270.370.95
12B0.79−0.1030.210.97
Table 6. The value of V′ at different tunnel geometries and Q.
Table 6. The value of V′ at different tunnel geometries and Q.
Tunnel GeometryQ [MW]V′ [m/s]
A + B637.5
A + B837.5
A + B1240
B1240
Disclaimer/Publisher’s Note: The statements, opinions and data contained in all publications are solely those of the individual author(s) and contributor(s) and not of MDPI and/or the editor(s). MDPI and/or the editor(s) disclaim responsibility for any injury to people or property resulting from any ideas, methods, instructions or products referred to in the content.

Share and Cite

MDPI and ACS Style

Li, L.; Li, Y.; Wang, K.; Xu, L.; Qiu, M.; Liu, M. A Numerical Study on the Smoke Diffusion Characteristics in Tunnel Fires During Construction Under Pressed-In Ventilation. Fire 2025, 8, 480. https://doi.org/10.3390/fire8120480

AMA Style

Li L, Li Y, Wang K, Xu L, Qiu M, Liu M. A Numerical Study on the Smoke Diffusion Characteristics in Tunnel Fires During Construction Under Pressed-In Ventilation. Fire. 2025; 8(12):480. https://doi.org/10.3390/fire8120480

Chicago/Turabian Style

Li, Longyue, Yanfeng Li, Kangyue Wang, Lin Xu, Mingxuan Qiu, and Mengzhen Liu. 2025. "A Numerical Study on the Smoke Diffusion Characteristics in Tunnel Fires During Construction Under Pressed-In Ventilation" Fire 8, no. 12: 480. https://doi.org/10.3390/fire8120480

APA Style

Li, L., Li, Y., Wang, K., Xu, L., Qiu, M., & Liu, M. (2025). A Numerical Study on the Smoke Diffusion Characteristics in Tunnel Fires During Construction Under Pressed-In Ventilation. Fire, 8(12), 480. https://doi.org/10.3390/fire8120480

Article Metrics

Back to TopTop