Corrosion Effects of C2F6 and C3H2F6 on Typical Metals Under Simulated Storage Conditions
Abstract
1. Introduction
2. Experimental Materials and Testing Methods
2.1. Experimental Materials
2.2. Testing Apparatus and Methods
2.2.1. Experimental Apparatus and Steps
2.2.2. Characterization Methods for Experimental Results
3. Results and Discussion
3.1. Corrosion Rate
3.2. Corrosion Morphology and Element Analysis
3.2.1. Macroscopic Morphology
3.2.2. Microscopic Morphology and Element Analysis
- (1)
- SEM + EDS results of 304 stainless steel sheets
- (2)
- SEM + EDS results of H59 brass sheets
- (3)
- SEM + EDS results of T2 copper sheets
3.3. Corrosion Products
Metal Corrosion Products
- (1)
- XPS results of 304 stainless steel sheets
- (2)
- XPS results of Q235 carbon steel sheets
- (3)
- XPS results of 6061 aluminum alloy sheets
- (4)
- XPS results of H59 brass sheets
- (5)
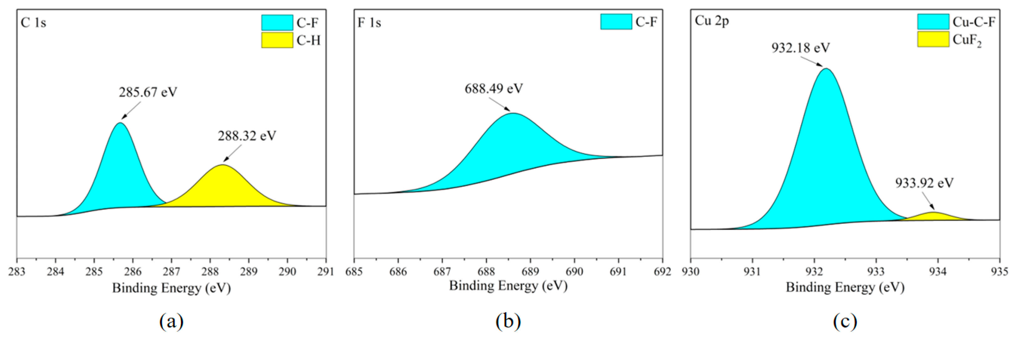
- XPS results of T2 copper sheets
3.4. Corrosion Mechanism
3.4.1. Chemical Reactions During Corrosion Process
3.4.2. Corrosion Process
- (a)
- Cracking of C3H2F6/C2F6: in high and low temperature environment, due to the destruction of its own thermal stability, corrosive media undergo trace cracking reactions, resulting in internal C-C, C-F, and C-H bond breakage (due to differences in bond energy, C-C bond breakage occurs earlier, while C-F bond breakage is more difficult), producing functional groups such as • CF3;
- (b)
- Corrosion reaction: Metal plates immersed in corrosive media experience the contact and exchange of metal atoms and halogen-containing groups at the metal corrosion medium contact surface, resulting in the partial dissociation of metal ions on the contact surface. Corrosion phenomenon occurs as follows: for C2F6, metal atom dissociation is more likely due to the reaction between • CF3 and metal atoms; for C3H2F6, the dissociation of metal atoms is due to the interaction between various ionic groups such as • CF3, • H, • F, and metal atoms;
- (c)
- Catalytic cycle: Metal atoms in the ionic state, due to their catalytic effect on molecular dissociation reactions [33,34,35], exhibit cracking catalysis towards the corrosive medium, namely hexafluoroethane/hexafluoropropane, during corrosion, increasing the accumulation of surface corrosion products and accelerating the corrosion reaction. At this time, metal halides and binding products between metal organic compounds (i.e., C-F-M, where M is a metal element) accumulate on the metal surface;
- (d)
- Free radical recombination: Long-term heat exchange can increase the number of free radicals in corrosive media. The collision, recombination, and energy transfer processes between free radicals, between free radicals and molecules, and between free radicals and metal sheets gradually deepen, resulting in a more diverse range of compounds in the environment;
- (e)
- Surface passivation: The corrosive medium itself and its various organic products, metal halides, free functional groups, and other substances gradually accumulate on the surface of the metal sheet. Various shapes of corrosion products, such as dots, blocks, and flakes, combine to form a relatively thin corrosion layer, which slows down the further corrosion of the metal inward in the parts covered by the corrosion layer.
4. Conclusions
- (1)
- Corrosion products mainly exist on the metal surface in the form of extremely small point-like, flake-like, and small-volume block aggregates. Trace amounts of C2F6 and C3H2F6, their decomposition products, metal halides, etc., are also attached to the metal surface.
- (2)
- The corrosion rate ranking of C2F6 and C3H2F6 is as follows: 6061 aluminum alloy > Q235 carbon steel > H59 brass > 304 stainless steel > T2 copper. C3H2F6 is slightly higher than C2F6 in all corrosion rate values.
- (3)
- The corrosion of metal materials is mainly attributed to the interaction between the metal elements and the functional groups containing F produced by the cracking of C2F6 and C3H2F6. The generated metal halides in turn catalyze the cleavage of C2F6 and C3H2F6. This catalytic effect may be positively correlated with the reactivity of the metal element.
- (4)
- The presence of the • CH2 group can enhance the halogen release ability of halogenated alkanes, enabling C3H2F6 with such groups to obtain stronger corrosion resistance.
Author Contributions
Funding
Data Availability Statement
Conflicts of Interest
References
- United Nations Environment Programme. Handbook for the Montreal Protocol on Substances that Deplete the Ozone Layer, 14th ed.; United Nations Environment Programme: Nairobi, Kenya, 2020. [Google Scholar]
- Zhang, H.; Wang, Y.; Wang, X.; Zhou, S.; Yu, R.; Liao, Y.; Li, J.; Tan, Z. Thermal Decomposition Mechanism and Fire-Extinguishing Performance of trans-1,1,1,4,4,4-Hexafluoro-2-butene: A Potential Candidate for Halon Substitutes. J. Phys. Chem. A 2020, 124, 5944–5953. [Google Scholar] [CrossRef]
- Chen, B.; Jin, C.; Yang, J.; Qu, G.; Liu, Y.; Wu, F.; Liu, S.; Liu, X. Synergistic organic manure treatment with Al/Fe/Ca-based fluoride-fixing agents promote soil formation and utilization of phosphate flotation tailings. Process Saf. Environ. Prot. 2024, 192, 495–509. [Google Scholar] [CrossRef]
- Huo, E.; Liu, C.; Xu, X.; Li, Q.; Dang, C. Dissociation mechanisms of HFO-1336mzz(Z) on Cu(1 1 1), Cu(1 1 0) and Cu(1 0 0) surfaces: A density functional theory study. Appl. Surf. Sci. 2018, 443, 389–400. [Google Scholar] [CrossRef]
- Gann, R.G. Next Generation Fire Suppression Technology Program (NGP). In Proceedings of the Halon Options Technical Working Conference, Albuquerque, NM, USA, 27–29 April 1999. [Google Scholar]
- Zhang, W.-B.; Yin, Q.; Liu, M.-R.; Li, C.-Q.; Wang, Z.-C.; Hu, Z.-M. Research on Vaporization and Sudden Cooling Performance of Heptafluoropropane in Prefabricated Fire-Extinguishing Devices Based on Numerical Method. Fire 2025, 8, 124. [Google Scholar] [CrossRef]
- Jiang, Q.; Wang, L. Application of 1,1,1,3,3,3-hexafluoropropane fire extinguishing agent. Chem. Prod. Technol. 2020, 2, 26–31. [Google Scholar]
- Tak, H.W.; Lee, H.J.; Wen, L.; Kang, B.J.; Sung, D.; Bae, J.W.; Kim, D.W.; Lee, W.; Lee, S.B.; Kim, K.; et al. Effect of hydrofluorocarbon structure of C3H2F6 isomers on high aspect ratio etching of silicon oxide. Appl. Surf. Sci. 2022, 600, 154050. [Google Scholar] [CrossRef]
- Mao, A.; Ding, B.; Ding, M.; Yu, H.; Pan, R. Research progress on HF generation and fire extinguishing mechanism during the fire extinguishing process of halogenated fluorinated fire extinguishing agents. Chin. J. Process Eng. 2016, 16, 714–720. [Google Scholar]
- Dai, X.; Shi, L.; An, Q.; Qian, W. Screening of working fluids and metal materials for high temperature organic Rankine cycles by compatibility. J. Renew. Sustain. Energy 2018, 9, 24702. [Google Scholar] [CrossRef]
- Brock, W.J.; Kelly, D.P.; Munley, S.M.; Bentley, K.S.; McGown, K.M.; Valentine, R. Inhalation toxicity and genotoxicity of hydrofluorocarbon (HFC)-236fa and HFC-236ea. Int. J. Toxicol. 2000, 19, 69–83. [Google Scholar] [CrossRef]
- Lv, X.; Liu, H.; Chen, R. Study on the Corrosion Characteristics of Metal Materials in Storage Containers of Typical Hydrobromofluoroalkene Gas Fire Extinguishing Agents in Railway Bus Fire Extinguishing Systems. J. Railw. Sci. Eng. 2025, 22, 3241–3253. [Google Scholar] [CrossRef]
- Huang, X.; Bai, H.; Huo, Y.; Zhou, X. Investigation on the characteristics and mechanism of AZ80A magnesium alloy corrosion by Halon 1301 and CF3I. Aerosp. Traffic Saf. 2024, 1, 73–83. [Google Scholar] [CrossRef]
- Hu, Q.; Zhang, T.; Hu, K.; Chen, S.; Diao, T.; Wang, F. Modeling of Galvanic Corrosion in three-metal Systems Consisting of ZM5 Magnesium Alloy, 6XXX Series Aluminium Alloy and 304 Stainless Steel under Thin Electrolyte Layer by Numerical Simulation, Electrochemical and Salt Spray Test. Int. J. Electrochem. Sci. 2022, 17, 221297. [Google Scholar] [CrossRef]
- Zhu, J.; Hu, J.; Xiao, H.; Yang, L.; Yang, M.; Wang, S.; Zhang, J.; Xing, H. Aluminum-based metal organic frameworks for greenhouse gases CF4 and C2F6 capture with excellent capacity and selectivity. Sep. Purif. Technol. 2024, 331, 125614. [Google Scholar] [CrossRef]
- Pan, J.; Rui, X.; Zhao, X.; Qiu, L. An equation of state for the thermodynamic properties of 1,1,1,3,3,3-hexafluoropropane (HFC-236fa). Fluid Phase Equilibria 2012, 321, 10–16. [Google Scholar] [CrossRef]
- GB 8109-2023; Wheeled Fire Extinguishers. Standards Press of China: Beijing, China, 2023.
- GB 4351-2023; Portable Fire Extinguishers. Standards Press of China: Beijing, China, 2023.
- GB 25972-2024; Gas Fire Extinguishing Systems and Components. Standards Press of China: Beijing, China, 2024.
- GB/T 19291-2003; General Principles for Corrosion of Metals and Alloys. Standards Press of China: Beijing, China, 2016.
- GB/T 16545-2015; Corrosion of Metals and Alloys—Removal of Corrosion Products from Corrosion Test Specimens. Standards Press of China: Beijing, China, 2016.
- JB/T 7901-1999; Uniform Corrosion Immersion Test Method for Metal Materials Laboratory. Standards Press of China: Beijing, China, 2000.
- Liu, Y.; Wu, Y.; Sun, H.; Guo, C.; Wang, J.; Chen, R.; Pan, R. Proactive insights on thermal interactions between textiles and flammable liquids: A comprehensive analysis of thermal characteristics, pyrolysis kinetics and gas emission patterns, using polyamide and diesel as illustrative example. Energy 2025, 320, 135361. [Google Scholar] [CrossRef]
- Yang, Q.; Zhang, J.; Gao, Y.; Zhou, X.; Zhang, H. Toward better Halon substitutes: Effects of H content on pyrolytic and fire-suppressing mechanisms of ozone-friendly fluorinated alkanes. J. Mol. Struct. 2023, 1285, 135506. [Google Scholar] [CrossRef]
- Rahman, P.; Chakraborty, N.; Patel, B.K.; Rajbongshi, K.K. Iodine-Promoted Sulfoximidation of Cinnamic Acids via Oxidative C=C Bond Cleavage. J. Org. Chem. 2024, 89, 10472–10484. [Google Scholar] [CrossRef]
- Lu, J.; Shen, Q.; Fan, R.; Li, G.; Li, Y.; Zhang, X.; Yan, H.; Liu, Y.; Liu, T.; Chen, X. Rational screening of metal single-atom-doped ZSM-5 to promote ring-opening cracking of cycloalkanes to light olefins. Fuel 2025, 381, 133486. [Google Scholar] [CrossRef]
- Pownraj, C.; Karthik, A.; Prabhu, B.; Suresh, S.; Yatish, K.V.; Katiyar, J.K.; Valan Arasu, A. Effect of Cu MOF based functional catalysts on cracking and adsorption of bio-oil compounds via thermo-catalytic pyrolysis: A net zero emission scenario. Fuel 2025, 383, 133871. [Google Scholar] [CrossRef]
- Wang, X.; Su, H.; Xie, Y.; Wang, J.; Feng, C.; Li, D.; Wu, T. Atmospheric corrosion of T2 copper and H62 brass exposed in an urban environment. Mater. Chem. Phys. 2023, 299, 127487. [Google Scholar] [CrossRef]
- Cheng, C.; Le, Q.; Chen, L.; Hu, W.; Wang, T.; Zhu, B.; Zhou, X. Understanding on corrosion mechanism of oxidized AZW800 alloy in 3.5 wt% NaCl solution. J. Magnes. Alloys 2023, 11, 1740–1753. [Google Scholar] [CrossRef]
- Chen, Y.; Guan, J.; Chen, Z.; Fan, H.; Cao, G.; Wang, Z. Study on the initial corrosion behavior of Q235 steel in high-temperature brine. J. Phys. Conf. Ser. 2025, 3009, 012075. [Google Scholar] [CrossRef]
- Liu, Y.; Wang, J.; Sun, H.; Chen, R.; Xu, Y.; Pan, R. Eco-friendly and high-efficiency Halon replacement fire suppressant: Mechanistic and application insights into the synergistic effects of 2-bromo-3,3,3-trifluoropropene and perfluoro-2-methyl-3-pentanone. Combust. Flame 2025, 279, 114295. [Google Scholar] [CrossRef]
- Żyłka, M.; Cieniek, B.; Skała, P.; Żyłka, W.; Stefaniuk, I. Assessment of polyurethane seal degradation in pneumatic drives using EPR and SEM techniques. Measurement 2026, 257, 118614. [Google Scholar] [CrossRef]
- Irriyanto, M.Z.; Li, H.-S.; Choi, B.-S.; Myint, A.A.; Kim, J. Material stability assessment of R-1234ze(E) as a working fluid for supercritical organic Rankine cycle. J. Ind. Eng. Chem. 2021, 96, 169–182. [Google Scholar] [CrossRef]
- Andrew Swamidoss, C.M.; Sheraz, M.; Anus, A.; Jeong, S.; Park, Y.-K.; Kim, Y.-M.; Kim, S. Effect of Mg/Al2O3 and Calcination Temperature on the Catalytic Decomposition of HFC-134a. Catalysts 2019, 9, 270. [Google Scholar] [CrossRef]
- Fang, X.-X.; Liao, W.-M.; Song, J.-D.; Jia, W.-Z.; Wang, Y.; Lu, J.-Q.; Luo, M.-F. Effect of Fe promotion on the performance of V2O5/MgF2 catalysts for gas-phase dehydrofluorination of 1,1,1,3,3-pentafluoropropane. Appl. Surf. Sci. 2019, 490, 365–371. [Google Scholar] [CrossRef]



























| Types Features | C3H2F6 | C2F6 |
|---|---|---|
| MECs FOR METHANE−AIR FlAME (VOL %) | 5.19 | 6.92 |
| GWP100-YR | 9820 | 12,010 |
| ODP | 0 | 0 |
| TB/°C | −1.49 | −78.05 |
| Number | Metal Material | Purposes |
|---|---|---|
| 1 | Stainless steel 304 | Cylinder, head, valve |
| 2 | Carbon steel Q235 | Outer layer of cylinder, handle, pressure handle |
| 3 | Aluminum alloy 6061 | Cylinder |
| 4 | Brass H59 | Head, valve, siphon tube |
| 5 | Copper T2 | Valve |
| Experiment C2F6 | Before, g | After, g | D-Value, g | Average, g | Corrosion Rate, mm/a |
|---|---|---|---|---|---|
| 304 Stainless Steel | 1.74866 | 1.74861 | 0.00005 | 0.00006 | 0.0014 |
| 1.74984 | 1.74979 | 0.00005 | |||
| 1.75024 | 1.75016 | 0.00008 | |||
| Q235 Carbon Steel | 1.77998 | 1.77989 | 0.00009 | 0.00008 | 0.0018 |
| 1.78682 | 1.78673 | 0.00009 | |||
| 1.79345 | 1.79339 | 0.00006 | |||
| 6061 Aluminum Alloy | 0.62171 | 0.62168 | 0.00003 | 0.0000366 | 0.0024 |
| 0.62270 | 0.62265 | 0.00005 | |||
| 0.63356 | 0.63353 | 0.00003 | |||
| H59 Brass | 1.64231 | 1.64221 | 0.00010 | 0.0000766 | 0.0016 |
| 1.63118 | 1.63113 | 0.00005 | |||
| 1.64435 | 1.64427 | 0.00008 | |||
| T2 Copper | 1.78126 | 1.78124 | 0.00002 | 0.000033 | 0.0068 |
| 1.79131 | 1.79126 | 0.00005 | |||
| 1.79565 | 1.79562 | 0.00003 |
| Experiment C3H2F6 | Before, g | After, g | D-Value, g | Average, g | Corrosion Rate, mm/a |
|---|---|---|---|---|---|
| 304 Stainless Steel | 1.72466 | 1.72465 | 0.00001 | 0.0000766 | 0.00178 |
| 1.72913 | 1.72906 | 0.00007 | |||
| 1.72535 | 1.72529 | 0.00006 | |||
| Q235 Carbon Steel | 1.76801 | 1.76789 | 0.00012 | 0.00010 | 0.00235 |
| 1.81930 | 1.81917 | 0.00013 | |||
| 1.77896 | 1.77891 | 0.00005 | |||
| 6061 Aluminum Alloy | 0.59902 | 0.59900 | 0.00002 | 0.00004 | 0.00268 |
| 0.59038 | 0.59033 | 0.00005 | |||
| 0.60236 | 0.60233 | 0.00003 | |||
| H59 Brass | 1.62626 | 1.62615 | 0.00011 | 0.00009333 | 0.00202 |
| 1.58518 | 1.58509 | 0.00009 | |||
| 1.61685 | 1.61677 | 0.00008 | |||
| T2 Copper | 1.79680 | 1.79674 | 0.00006 | 0.0000566 | 0.00117 |
| 1.77971 | 1.77966 | 0.00005 | |||
| 1.77890 | 1.77884 | 0.00006 |
| Compounds | C-C Bond | C-F Bond | C-H Bond | Special Key Positions |
|---|---|---|---|---|
| C2F6 | ≈347 | ≈485 | - | Fully symmetrical structure |
| C3H2F6 | ≈348 | ≈480 | ≈410 | Fully symmetrical structure; the middle -CH2- group |
| Mediums | Products | Possible Reaction Pathways | Path Number |
|---|---|---|---|
| CF3CF3 | • CF3 | CF3CF3 → • CF3 | 1 |
| • F | • CF3 → • F + : CF2 | 2 | |
| CF3CH2CF3 | • CH2CF3 | CF3CH2CF3 → • CF3 + • CH2CF3 | 3 |
| • CF3 | CF3CH2CF3 → • CF3 + • CH2CF3 | 3 | |
| • CH2CF3 → • CF3 + • CH2 | 4 | ||
| • CH2 | • CH2CF3 → • CF3 + • CH2 | 4 | |
| • H | • CH2 → • CH + • H | 5 | |
| • F | • CF3 → • F + : CF2 | 6 |
Disclaimer/Publisher’s Note: The statements, opinions and data contained in all publications are solely those of the individual author(s) and contributor(s) and not of MDPI and/or the editor(s). MDPI and/or the editor(s) disclaim responsibility for any injury to people or property resulting from any ideas, methods, instructions or products referred to in the content. |
© 2025 by the authors. Licensee MDPI, Basel, Switzerland. This article is an open access article distributed under the terms and conditions of the Creative Commons Attribution (CC BY) license (https://creativecommons.org/licenses/by/4.0/).
Share and Cite
Chen, R.; Lv, X.; Liu, H.; Huang, X. Corrosion Effects of C2F6 and C3H2F6 on Typical Metals Under Simulated Storage Conditions. Fire 2025, 8, 459. https://doi.org/10.3390/fire8120459
Chen R, Lv X, Liu H, Huang X. Corrosion Effects of C2F6 and C3H2F6 on Typical Metals Under Simulated Storage Conditions. Fire. 2025; 8(12):459. https://doi.org/10.3390/fire8120459
Chicago/Turabian StyleChen, Ruiyu, Xizhen Lv, Hao Liu, and Xin Huang. 2025. "Corrosion Effects of C2F6 and C3H2F6 on Typical Metals Under Simulated Storage Conditions" Fire 8, no. 12: 459. https://doi.org/10.3390/fire8120459
APA StyleChen, R., Lv, X., Liu, H., & Huang, X. (2025). Corrosion Effects of C2F6 and C3H2F6 on Typical Metals Under Simulated Storage Conditions. Fire, 8(12), 459. https://doi.org/10.3390/fire8120459

