Quantification of Forest Sub-Surface Fire Suppression Risk Factors and Their Influencing Elements in Boreal Forest of China
Abstract
1. Introduction
2. Study Site
3. Methods
3.1. Humus Collection and Processing
3.2. Sub-Surface Fire Smoldering Simulation Experiment
3.3. Monitoring of Risk Factors in Forest Sub-Surface Fires
3.4. Statistical Analysis
4. Results and Analysis
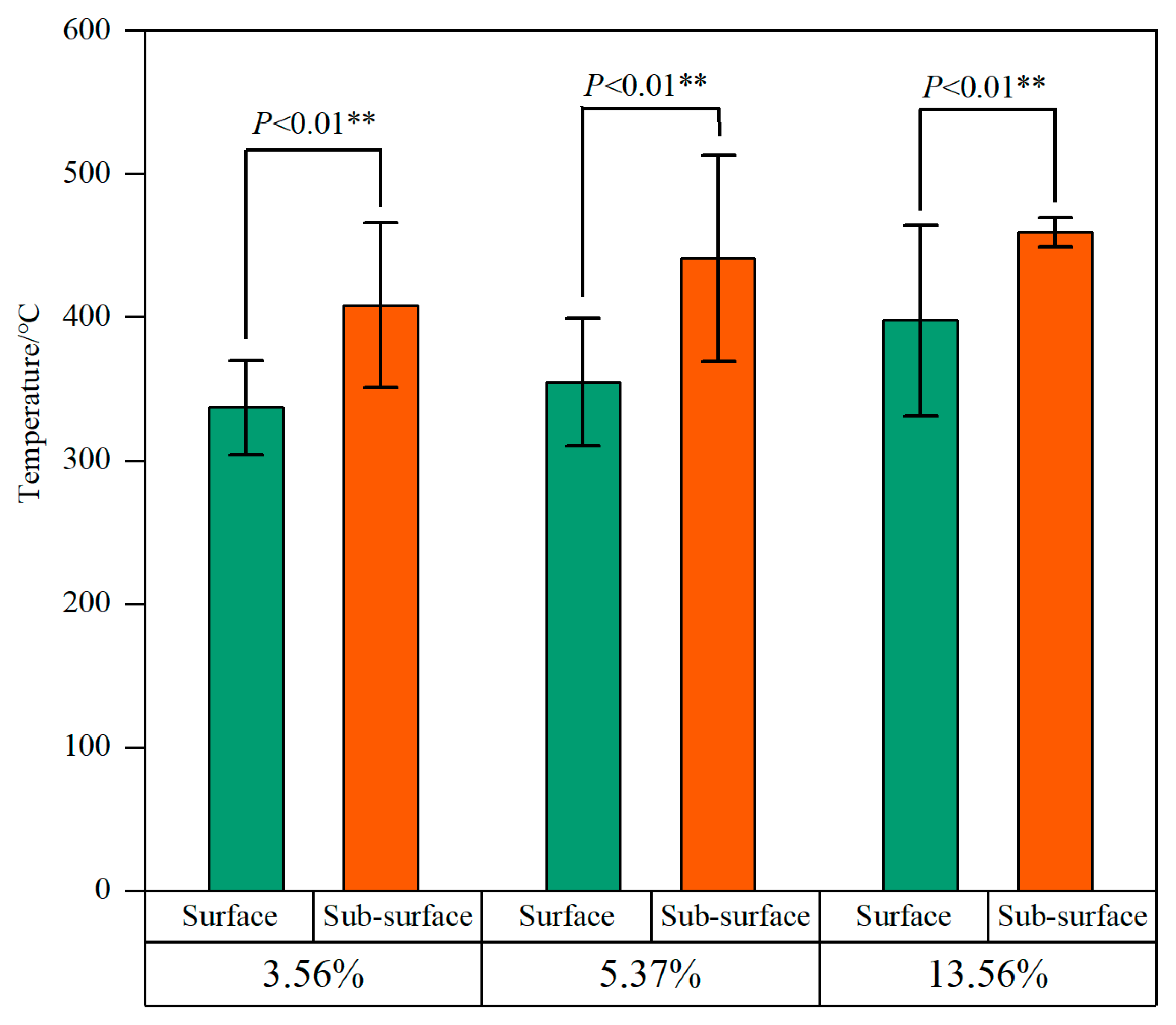
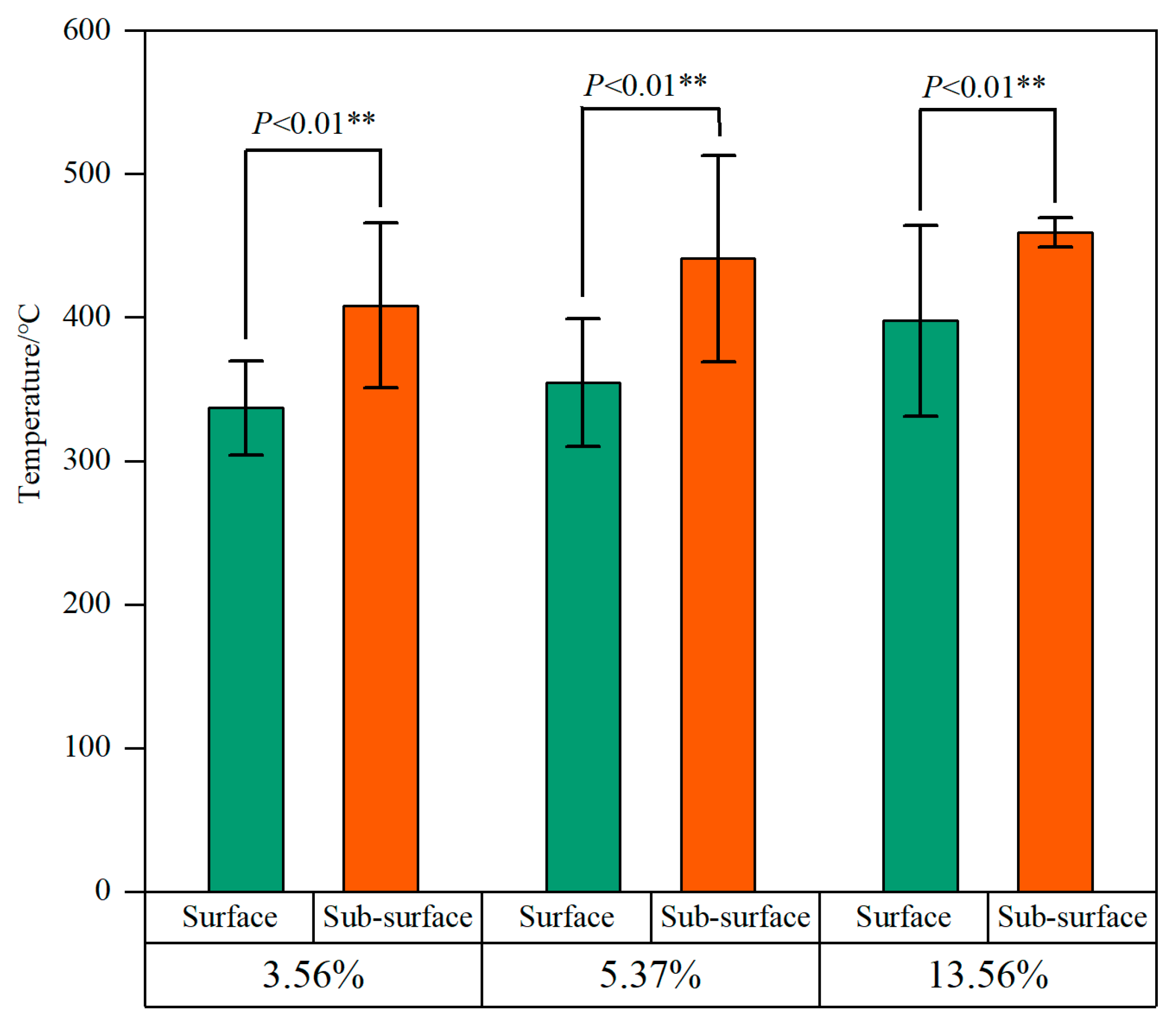
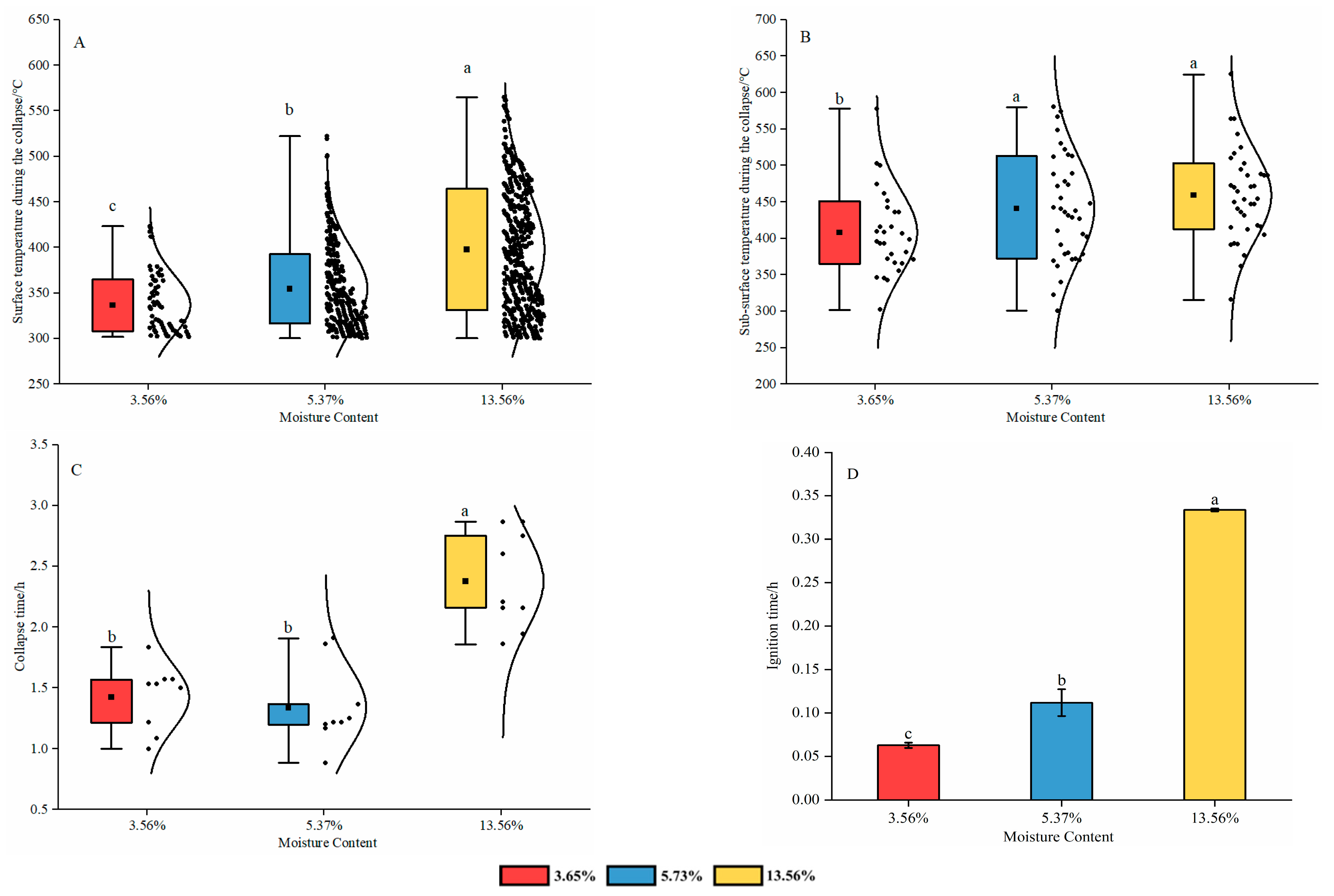
4.1. Quantification of Risk Factors in Forest Sub-Surface Fire Suppression
4.2. Key Factors Influencing Forest Sub-Surface Fire Risk Variation
5. Discussions
6. Conclusions
Author Contributions
Funding
Data Availability Statement
Acknowledgments
Conflicts of Interest
References
- McLauchlan, K.K.; Higuera, P.E.; Miesel, J.; Rogers, B.M.; Schweitzer, J.; Shuman, J.K.; Tepley, A.J.; Varner, J.M.; Veblen, T.T.; Adalsteinsson, S.A.; et al. Fire as a fundamental ecological process: Research advances and frontiers. J. Ecol. 2020, 108, 2047–2069. [Google Scholar] [CrossRef]
- Friedlingstein, P.; Jones, M.W.; O’Sullivan, M.; Andrew, R.M.; Bakker, D.C.E.; Hauck, J.; Le Quéré, C.; Peters, G.P.; Peters, W.; Pongratz, J.; et al. Global Carbon Budget 2021. Earth Syst. Sci. Data Discuss. 2021, 14, 1917–2005. [Google Scholar] [CrossRef]
- Kelly, L.T.; Giljohann, K.M.; Andrea, D.; Aquilué, N.; Archibald, S.; Batllori, E.; Bennett, A.F.; Buckland, S.T.; Canelles, Q.; Clarke, M.F.; et al. Fire and biodiversity in the Anthropocene. Earth Syst. Sci. Data Discuss. 2020, 14, 1917–2005. [Google Scholar] [CrossRef]
- Feng, X.; Merow, C.; Liu, Z.; Park, D.S.; Roehrdanz, P.R.; Maitner, B.; Newman, E.A.; Boyle, B.L.; Lien, A.; Burger, J.R.; et al. How deregulation, drought and increasing fire impact Amazonian biodiversity. Nature 2021, 597, 516–521. [Google Scholar] [CrossRef]
- Jain, P.; Barber, Q.E.; Taylor, S.W.; Whitman, E.; Acuna, D.C.; Boulanger, Y.; Chavardès, R.D.; Chen, J.; Englefield, P.; Flannigan, M.; et al. Drivers and Impacts of the Record-Breaking 2023 Wildfire Season in Canada. Nat. Commun. 2024, 15, 6764. [Google Scholar] [CrossRef] [PubMed]
- Hardy, K.; Comfort, L.K. Dynamic decision processes in complex, high-risk operations: The Yarnell Hill Fire, June 30, 2013. Saf. Sci. 2015, 71, 39–47. [Google Scholar] [CrossRef]
- Gong, A.; Huang, Z.; Liu, L.; Yang, Y.; Ba, W.; Wang, H. Development of an Index for Forest Fire Risk Assessment Considering Hazard Factors and the Hazard-Formative Environment. Remote Sens. 2023, 15, 5077. [Google Scholar] [CrossRef]
- Rein, G. Smouldering Fires and Natural Fuels. In Fire Phenomena and the Earth System: An Interdisciplinary Guide to Fire Science; Belcher, C.M., Scott, A.C., Eds.; Wiley and Sons: Hoboken, NJ, USA, 2013; pp. 15–33. [Google Scholar]
- Santoso, M.A.; Huang, X.; Prat-Guitart, N.; Christensen, E.; Hu, Y.; Rein, G. Smouldering fires and soils. In Fire Effects on Soil Properties; Pereira, P., Mataix-Solera, J., Úbeda, X., Rein, G., Cerdà, A., Eds.; CSIRO: Clayton South, VIC, Australia, 2019; pp. 203–216. [Google Scholar]
- Rein, G.; Huang, X.Y. Smouldering Wildfires in Peatlands, Forests and the Arctic: Challenges and Perspectives. Curr. Opin. Environ. Sci. Health 2021, 24, 100296. [Google Scholar] [CrossRef] [PubMed]
- Manzello, S.L.; Suzuki, S.; Gollner, M.J.; Fernandez-Pello, A.C. Role of firebrand combustion in large outdoor fire spread. Prog. Energy Combust. Sci. 2020, 76, 100801. [Google Scholar] [CrossRef]
- Lin, N.; Lei, J.; Gao, W.; Chen, H.; Xie, X. Combustion dynamics of large-scale wildfires. Proc. Combust. Inst. 2021, 38, 157–198. [Google Scholar] [CrossRef]
- Wang, H.; Feng, Q.; Gong, J. Impact of particle size on autoignition and smoldering of bituminous coal dust layer driven by thermal radiation. J. Therm. Anal. Calorim. 2024, 149, 8365–8378. [Google Scholar] [CrossRef]
- Smucker, B.D.; Jayasuriya, W.J.; Niemeyer, K.E.; Blunck, D.L. Influence of lignin on smoldering propagation. Combust. Flame 2024, 265, 113451. [Google Scholar] [CrossRef]
- Amin, H.M.F.; Hu, Y.; Rein, G. Spatially resolved horizontal spread in smouldering peat combining infrared and visual diagnostics. Combust. Flame 2020, 220, 328–336. [Google Scholar] [CrossRef]
- Sirin, A.A.; Makarov, D.A.; Gummert, I.; Maslov, A. Depth of Peat Burning and Carbon Loss during an Sub-surface Forest Fire. Contemp. Probl. Ecol. 2020, 13, 769–779. [Google Scholar] [CrossRef]
- Eskandari, S.; Miesel, J.R. Comparison of the fuzzy AHP method, the spatial correlation method, and the Dong model to predict the fire high-risk areas in Hyrcanian forests of Iran. Geomat. Nat. Hazards Risk 2017, 8, 933–949. [Google Scholar] [CrossRef]
- Chen, G.; Cheng, R.; Lin, X.; Jiao, W.; Bai, D.; Lin, H. LMDFS: A Lightweight Model for Detecting Forest Fire Smoke in UAV Images Based on YOLOv7. Remote Sens. 2023, 15, 3790. [Google Scholar] [CrossRef]
- Letsios, V.; Faraslis, I.; Stathakis, D. Multi-Temporal PSI Analysis and Burn Severity Combination to Determine Ground-Burned Hazard Zones. Remote Sens. 2023, 15, 4598. [Google Scholar] [CrossRef]
- Nazaré, S.; Pitts, W.; Matko, S.; Davis, R. Evaluating smoldering behavior of fire-blocking barrier fabrics. J. Fire Sci. 2014, 32, 539–562. [Google Scholar] [CrossRef]
- Zammarano, M.; Matko, S.; Pitts, W.M.; Fox, D.M.; Davis, R.D. Towards a reference polyurethane foam and bench scale test for assessing smoldering in upholstered furniture. Polym. Degrad. Stab. 2014, 106, 97–107. [Google Scholar] [CrossRef]
- Qi, G.; Lu, W.; Qi, X.; Zhong, X.; Cheng, W.; Liu, F. Differences in smoldering characteristics of coal piles with different smoldering propagation directions. Fire Saf. J. 2018, 102, 77–82. [Google Scholar] [CrossRef]
- Yokelson, R.J.; Bertschi, I.T.; Christian, T.J.; Hobbs, P.V.; Ward, D.E.; Hao, W.M. Trace gas measurements in nascent, aged, and cloud-processed smoke from African savanna fires by airborne Fourier transform infrared spectroscopy (AFTIR). J. Geophys. Res. Atmos. 2003, 108, 8478. [Google Scholar] [CrossRef]
- Reid, C.E.; Brauer, M.; Johnston, F.H.; Jerrett, M.; Balmes, J.R.; Elliott, C.T. Critical Review of Health Impacts of Wildfire Smoke Exposure. Environ. Health Perspect. 2016, 124, 1334–1343. [Google Scholar] [CrossRef]
- Hu, Y.; Fernandez-Anez, N.; Smith, T.E.L.; Rein, G. Review of emissions from smouldering peat fires and their contribution to regional haze episodes. Int. J. Wildland Fire 2018, 27, 293. [Google Scholar] [CrossRef]
- Gill, B.; Britz-Mckibbin, P. Biomonitoring of smoke exposure in firefighters: A review. Curr. Opin. Environ. Sci. Health 2020, 15, 57–65. [Google Scholar] [CrossRef]
- Purnomo, D.M.J.; Bonner, M.; Moafi, S.; Rein, G. Using cellular automata to simulate field-scale flaming and smouldering wildfires in tropical peatlands. Proc. Combust. Inst. 2020, 38, 5119–5127. [Google Scholar] [CrossRef]
- Restuccia, F.; Huang, X.Y.; Rein, G. Self-ignition of natural fuels: Can wildfires of carbon-rich soil start by self-heating. Fire Saf. J. 2017, 91, 828–834. [Google Scholar] [CrossRef]
- Mikalsen, R.F.; Hagen, B.C.; Steen-Hansen, A.; Frette, V. Extinguishing Smoldering Fires in Wood Pellets with Water Cooling: An Experimental Study. Fire Technol. 2019, 55, 257–284. [Google Scholar] [CrossRef]
- Marcotte, A.L.; Limpens, J.; Stoof, C.R.; Stoorvogel, J.J. Can ash from smoldering fires increase peatland soil pH. Int. J. Wildland Fire 2022, 31, 607–620. [Google Scholar] [CrossRef]
- Qin, Y.Z.; Musa, D.N.S.; Lin, S.R.; Huang, X.Y. Deep peat fire persistently smouldering for weeks: A laboratory demonstration. Int. J. Wildland Fire 2023, 32, 86–98. [Google Scholar] [CrossRef]
- Qin, Y.; Chen, Y.; Zhang, Y.; Shaorun, L.; Huang, X. Modeling smothering limit of smoldering combustion: Oxygen supply, fuel density, and moisture content. Combust. Flame 2024, 269, 113683. [Google Scholar] [CrossRef]
- Schulte, M.L.; McLaughlin, D.L.; Wurster, F.C.; Varner, J.M.; Stewart, R.D.; Aust, W.M.; Jones, C.N.; Gile, B. Short- and long-term hydrologic controls on smouldering fire in wetland soils. Int. J. Wildland Fire 2019, 28, 177–186. [Google Scholar] [CrossRef]
- Park, S.W.; Kim, J.S.; Kug, J.S. The intensification of Arctic warming as a result of CO2 physiological forcing. Nat. Commun. 2020, 11, 2098. [Google Scholar] [CrossRef]
- Blauw, L.G.; Logtestijn, R.S.P.; Broekman, R.; Aerts, R.; Cornelissen, H.C. Tree species identity in high-latitude forests determines fire spread through fuel ladders from branches to soil and vice versa. For. Ecol. Manag. 2017, 400, 475–484. [Google Scholar] [CrossRef]
- Fernandez-Pello, A.C. Wildland Fire Spot Ignition by Sparks and Firebrands. Fire Saf. J. 2017, 91, 2–10. [Google Scholar] [CrossRef]
- Mansuy, N.; Buss, J.; Hirsch, K.; Guindon, L.; Robinne, F.-N.; Boulanger, Y.; Lussier, M.; Regos, A.; Castillo Ayala, C.; Parisien, M.-A. Integrating fire-smart fuels management with bioenergy benefits remote and Indigenous communities in Canada. Commun. Earth Environ. 2025, 6, 358. [Google Scholar] [CrossRef]
- Lin, S.; Sun, P.; Huang, X. Peat Soil’s Ability to Support a Flaming Wildfire. Int. J. Wildland Fire 2019, 28, 601–613. [Google Scholar] [CrossRef]
- Huang, X.; Rein, G. Smouldering Combustion of Peat in Wildfires: Inverse Modelling of the Drying and the Thermal and Oxidative Decomposition Kinetics. Combust. Flame 2014, 161, 1633–1644. [Google Scholar] [CrossRef]
- Wu, Y.; Zhang, N.; Slater, G.; Waddington, J.M.; de Lannoy, C.-F. Hydrophobicity of Peat Soils: Characterization of Organic Compound Changes Associated with Heat-Induced Water Repellency. Sci. Total Environ. 2020, 714, 136444. [Google Scholar] [CrossRef]
- Thompson, C.; Ferrie, L.; Pearson, S.J.; Highlands, B.; Matthews, M.J. In the Heat of the Moment: The Effects of Extreme Temperatures on the Cognitive Functioning of Firefighters. Ergonomics 2025, 68, 301–315. [Google Scholar] [CrossRef]
- Bühler, M.; Popa, A.M.; Scherer, L.J.; Lehmeier, F.K.S.; Rossi, R.M. Heat Protection by Different Phase Change Materials. Appl. Therm. Eng. 2013, 54, 359–364. [Google Scholar] [CrossRef]
- Ishola, A.A.; Valles, D. Enhancing Safety and Efficiency in Firefighting Operations via Deep Learning and Temperature Forecasting Modeling in Autonomous Unit. Sensors 2023, 23, 4628. [Google Scholar] [CrossRef]
- Huang, X.; Restuccia, F.; Gramola, M.; Rein, G. Experimental Study of the Formation and Collapse of an Overhang in the Surface Spread of Smouldering Peat Fires. Combust. Flame 2016, 168, 393–402. [Google Scholar] [CrossRef]
- Kreye, J.K.; Kobziar, L.N.; Zipperer, W.C. Effects of Fuel Load and Moisture Content on Fire Behaviour and Heating in Masticated Litter-Dominated Fuels. Int. J. Wildland Fire 2013, 22, 440–445. [Google Scholar] [CrossRef]
- Belcher, C.M.; Vitali, R.; Nikonovas, T.; Little, K.; Elliott, A.; Baker, S.J.; Crawford, A.J.; Doerr, S.H.; Kettridge, N.; Clay, G.D. A Flammability Phenology for Dry Mixed Heaths and Its Implications for Modelling Fire Behaviour. Int. J. Wildland Fire 2025, 34, WF24123. [Google Scholar] [CrossRef]
- Anderson, P.W. More Is Different. Science 1972, 177, 393–396. [Google Scholar] [CrossRef] [PubMed]









Disclaimer/Publisher’s Note: The statements, opinions and data contained in all publications are solely those of the individual author(s) and contributor(s) and not of MDPI and/or the editor(s). MDPI and/or the editor(s) disclaim responsibility for any injury to people or property resulting from any ideas, methods, instructions or products referred to in the content. |
© 2025 by the authors. Licensee MDPI, Basel, Switzerland. This article is an open access article distributed under the terms and conditions of the Creative Commons Attribution (CC BY) license (https://creativecommons.org/licenses/by/4.0/).
Share and Cite
Cao, L.; Wang, T.; Chen, X.; Xie, W.; Feng, S.; Tang, Q.; Liu, X.; Xu, C.; Yu, M.; Yin, S.; et al. Quantification of Forest Sub-Surface Fire Suppression Risk Factors and Their Influencing Elements in Boreal Forest of China. Fire 2025, 8, 457. https://doi.org/10.3390/fire8120457
Cao L, Wang T, Chen X, Xie W, Feng S, Tang Q, Liu X, Xu C, Yu M, Yin S, et al. Quantification of Forest Sub-Surface Fire Suppression Risk Factors and Their Influencing Elements in Boreal Forest of China. Fire. 2025; 8(12):457. https://doi.org/10.3390/fire8120457
Chicago/Turabian StyleCao, Lili, Tongtong Wang, Xiang Chen, Wenjun Xie, Shilong Feng, Qianle Tang, Xiangyu Liu, Chang Xu, Miaoxin Yu, Sainan Yin, and et al. 2025. "Quantification of Forest Sub-Surface Fire Suppression Risk Factors and Their Influencing Elements in Boreal Forest of China" Fire 8, no. 12: 457. https://doi.org/10.3390/fire8120457
APA StyleCao, L., Wang, T., Chen, X., Xie, W., Feng, S., Tang, Q., Liu, X., Xu, C., Yu, M., Yin, S., & Shan, Y. (2025). Quantification of Forest Sub-Surface Fire Suppression Risk Factors and Their Influencing Elements in Boreal Forest of China. Fire, 8(12), 457. https://doi.org/10.3390/fire8120457
