Learning-Based Super-Resolution Imaging of Turbulent Flames in Both Time and 3D Space Using Double GAN Architectures
Abstract
1. Introduction
2. Materials and Methods
2.1. Turbulent Flame Data
2.2. Spatiotemporal SR Model
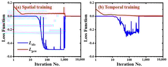
2.3. Convergence of the Spatiotemporal Model
3. Discussion and Results
3.1. Spatiotemporal SR Based on Swirling Flame
3.2. Spatiotemporal SR Based on Jet Flame
4. Conclusions
Author Contributions
Funding
Institutional Review Board Statement
Informed Consent Statement
Data Availability Statement
Conflicts of Interest
References
- Dreizler, A.; Böhm, B. Advanced laser diagnostics for an improved understanding of premixed flame-wall interactions. Proc. Combust. Inst. 2015, 35, 37–64. [Google Scholar] [CrossRef]
- Cai, W.; Li, X.; Li, F.; Ma, L. Numerical and experimental validation of a three-dimensional combustion diagnostic based on tomographic chemiluminescence. Opt. Express 2013, 21, 7050–7064. [Google Scholar] [CrossRef]
- Xu, W.; Carter, C.D.; Hammack, S.; Ma, L. Analysis of 3D combustion measurements using CH-based tomographic VLIF (volumetric laser induced fluorescence). Combust. Flame 2017, 182, 179–189. [Google Scholar] [CrossRef]
- Miller, V.A.; Troutman, V.A.; Hanson, R.K. Near-kHz 3D tracer-based LIF imaging of a co-flow jet using toluene. Meas. Sci. Technol. 2014, 25, 075403. [Google Scholar] [CrossRef]
- Cho, K.Y.; Satija, A.; Pourpoint, T.L.; Son, S.F.; Lucht, R.P. High-repetition-rate three-dimensional OH imaging using scanned planar laser-induced fluorescence system for multiphase combustion. Appl. Optics 2014, 53, 316–326. [Google Scholar] [CrossRef]
- Wellander, R.; Richter, M.; Aldén, M.J.E.I.F. Time-resolved (kHz) 3D imaging of OH PLIF in a flame. Exp. Fluids 2014, 55, 1764. [Google Scholar] [CrossRef]
- Wellander, R.; Richter, M.; Aldén, M. Time resolved, 3D imaging (4D) of two phase flow at a repetition rate of 1 kHz. Opt. Express 2011, 19, 21508–21514. [Google Scholar] [CrossRef]
- Liu, N.; Ma, L. Hybrid diagnostic for optimizing domain size and resolution of 3D measurements. Opt. Lett. 2018, 43, 3842–3845. [Google Scholar] [CrossRef] [PubMed]
- Xu, W.; Liu, N.; Ma, L. Super resolution PLIF demonstrated in turbulent jet flows seeded with I2. Opt. Laser Technol. 2018, 101, 216–222. [Google Scholar] [CrossRef]
- Grauer, S.J.; Unterberger, A.; Rittler, A.; Daun, K.J.; Kempf, A.M.; Mohri, K. Instantaneous 3D flame imaging by background-oriented schlieren tomography. Combust. Flame 2018, 196, 284–299. [Google Scholar] [CrossRef]
- Mohri, K.; Görs, S.; Schöler, J.; Rittler, A.; Dreier, T.; Schulz, C.; Kempf, A. Instantaneous 3D imaging of highly turbulent flames using computed tomography of chemiluminescence. Appl. Optics 2017, 56, 7385–7395. [Google Scholar] [CrossRef]
- Bao, Y.; Jia, J.; Polydorides, N. Real-time temperature field measurement based on acoustic tomography. Meas. Sci. Technol. 2017, 28, 074002. [Google Scholar] [CrossRef]
- Halls, B.R.; Hsu, P.S.; Roy, S.; Meyer, T.R.; Gord, J.R. Two-color volumetric laser-induced fluorescence for 3D OH and temperature fields in turbulent reacting flows. Opt. Lett. 2018, 43, 2961–2964. [Google Scholar] [CrossRef]
- Meyer, T.R.; Halls, B.R.; Jiang, N.; Slipchenko, M.N.; Roy, S.; Gord, J.R. High-speed, three-dimensional tomographic laser-induced incandescence imaging of soot volume fraction in turbulent flames. Opt. Express 2016, 24, 29547–29555. [Google Scholar] [CrossRef]
- Ma, L.; Wu, Y.; Lei, Q.; Xu, W.; Carter, C.D. 3D flame topography and curvature measurements at 5 kHz on a premixed turbulent Bunsen flame. Combust. Flame 2016, 166, 66–75. [Google Scholar] [CrossRef]
- Xu, W.; Luo, W.; Wang, Y.; You, Y. Data-driven three-dimensional super-resolution imaging of a turbulent jet flame using a generative adversarial network. Appl. Optics 2020, 59, 5729–5736. [Google Scholar] [CrossRef]
- Ling, C.; Chen, H.; Wu, Y. Development and validation of a reconstruction approach for three-dimensional confined-space to-mography problems. Appl. Optics 2020, 59, 10786–10800. [Google Scholar] [CrossRef]
- Ma, L.; Wickersham, A.J.; Xu, W.; Peltier, S.J.; Ombrello, T.M.; Carter, C.D. Multi-angular Flame Measurements and Analysis in a Supersonic Wind Tunnel Using Fiber-Based Endoscopes. J. Eng. Gas. Turbines Power 2016, 138, 021601. [Google Scholar] [CrossRef]
- Ma, L.; Lei, Q.; Wu, Y.; Xu, W.; Ombrello, T.M.; Carter, C.D. From ignition to stable combustion in a cavity flameholder studied via 3D tomographic chemiluminescence at 20 kHz. Combust. Flame 2016, 165, 1–10. [Google Scholar] [CrossRef]
- Dong, R.; Lei, Q.; Zhang, Q.; Fan, W. Dynamics of ignition kernel in a liquid-fueled gas turbine model combustor studied via time-resolved 3D measurements. Combust. Flame 2021, 232, 111566. [Google Scholar] [CrossRef]
- Halls, B.R.; Hsu, P.S.; Jiang, N.; Legge, E.S.; Felver, J.J.; Slipchenko, M.N.; Roy, S.; Meyer, T.R.; Gord, J.R. kHz-rate four-dimensional fluorescence tomography using an ultraviolet-tunable narrowband burst-mode optical parametric oscillator. Optica 2017, 4, 897–902. [Google Scholar] [CrossRef]
- Halls, B.R.; Gord, J.R.; Meyer, T.R.; Thul, D.J.; Slipchenko, M.; Roy, S. 20-kHz-rate three-dimensional tomographic imaging of the concentration field in a turbulent jet. Proc. Combust. Inst. 2017, 36, 4611–4618. [Google Scholar] [CrossRef]
- Veeraraghavan, S.M.; Kaliyaperumal, G.; Dillikannan, D.; De Poures, M.V. Influence of Hydrogen induction on performance and emission characteristics of an agricultural diesel engine fuelled with cultured Scenedesmus obliquus from industrial waste. Process Saf. Environ. Prot. 2024, 187, 1576–1585. [Google Scholar] [CrossRef]
- De Poures, M.V.; Dillikannan, D.; Kaliyaperumal, G.; Thanikodi, S.; Ağbulut, Ü.; Hoang, A.T.; Mahmoud, Z.; Shaik, S.; Saleel, C.A.; Afzal, A. Collective influence and optimization of 1-hexanol, fuel injection timing, and EGR to control toxic emissions from a light-duty agricultural diesel engine fueled with diesel/waste cooking oil methyl ester blends. Process Saf. Environ. Prot. 2023, 172, 738–752. [Google Scholar] [CrossRef]
- Sathish, T.; Ağbulut, Ü.; Ubaidullah, M.; Saravanan, R.; Giri, J.; Shaikh, S.F. Waste to fuel: A detailed combustion, performance, and emission characteristics of a CI engine fuelled with sustainable fish waste management augmentation with alcohols and nanoparticles. Energy 2024, 299, 131412. [Google Scholar] [CrossRef]
- McManus, T.A.; Papageorge, M.J.; Fuest, F.; Sutton, J.A. Spatio-temporal characteristics of temperature fluctuations in turbulent non-premixed jet flames. Proc. Combust. Inst. 2015, 35, 1191–1198. [Google Scholar] [CrossRef]
- Patton, R.A.; Gabet, K.N.; Jiang, N.; Lempert, W.R.; Sutton, J.A. Multi-kHz temperature imaging in turbulent non-premixed flames using planar Rayleigh scattering. App. Phys. B 2012, 108, 377–392. [Google Scholar] [CrossRef]
- Roy, S.; Hsu, P.S.; Jiang, N.; Slipchenko, M.N.; Gord, J.R. 100-kHz-rate gas-phase thermometry using 100-ps pulses from a burst-mode laser. Opt. Lett. 2015, 40, 5125–5128. [Google Scholar] [CrossRef]
- Cheng, X.; Ren, F.; Gao, Z.; Wang, L.; Zhu, L.; Huang, Z. Predicting 3D distribution of soot particle from luminosity of turbulent flame based on conditional-generative adversarial networks. Combust. Flame 2023, 247, 112489. [Google Scholar] [CrossRef]
- Zhang, W.; Dong, X.; Liu, C.; Nathan, G.J.; Dally, B.B.; Rowhani, A.; Sun, Z. Generating planar distributions of soot particles from luminosity images in turbulent flames using deep learning. Appl. Phys. B 2021, 127, 18. [Google Scholar] [CrossRef]
- Carreon, A.; Barwey, S.; Raman, V. A generative adversarial network (GAN) approach to creating synthetic flame images from experimental data. Energy AI 2023, 13, 100238. [Google Scholar] [CrossRef]
- Fukami, K.; Fukagata, K.; Taira, K. Machine-learning-based spatio-temporal super resolution reconstruction of turbulent flows. J. Fluid Mech. 2021, 909, A9. [Google Scholar] [CrossRef]
- Zhang, W.; Dong, X.; Sun, Z.; Zhou, B.; Wang, Z.; Richter, M. 100 kHz CH2O imaging realized by lower speed planar laser-induced fluorescence and deep learning. Opt. Express 2021, 29, 30857–30877. [Google Scholar] [CrossRef]
- Guo, H.; Zhang, W.; Nie, X.; Dong, X.; Sun, Z.; Zhou, B.; Wang, Z.; Richter, M. High-speed planar imaging of OH radicals in turbulent flames assisted by deep learning. App. Phys. B 2022, 128, 52. [Google Scholar] [CrossRef]
- Fukami, K.; Fukagata, K.; Taira, K. Super-resolution reconstruction of turbulent flows with machine learning. J. Fluid Mech. 2019, 870, 106–120. [Google Scholar] [CrossRef]
- Kim, H.; Kim, J.; Won, S.; Lee, C. Unsupervised deep learning for super-resolution reconstruction of turbulence. J. Fluid Mech. 2021, 910, A29. [Google Scholar] [CrossRef]
- Kim, J.; Lee, C. Prediction of turbulent heat transfer using convolutional neural networks. J. Fluid Mech. 2020, 882, 18. [Google Scholar] [CrossRef]
- Sidey, J.A.M.; Giusti, A.; Benie, P.; Mastorakos, E. The Swirl Flames Data Repository. Available online: http://swirl-flame.eng.cam.ac.uk (accessed on 20 May 2023).
- Tyliszczak, A.; Cavaliere, D.E.; Mastorakos, E. LES/CMC of Blow-off in a Liquid Fueled Swirl Burner. Flow Turb. Comb. 2014, 92, 237–267. [Google Scholar] [CrossRef]
- Cai, M.; Jin, H.; Lin, B.; Xu, W.; You, Y. Numerical Demonstration of Unsupervised-Learning-Based Noise Reduction in Two-Dimensional Rayleigh Imaging. Energies 2022, 15, 5747. [Google Scholar] [CrossRef]
- Xu, W.; Luo, W.; Chen, S.; You, Y. Numerical demonstration of 3D reduced order tomographic flame diagnostics without angle calibration. Optik 2020, 220, 165198. [Google Scholar] [CrossRef]
- Barlow, R.S.; Frank, J.H. Effects of turbulence on species mass fractions in methane/air jet flames. Symp. Combust. 1998, 27, 1087–1095. [Google Scholar] [CrossRef]
- Jones, W.P.; Prasad, V.N. Large Eddy Simulation of the Sandia Flame Series (D–F) using the Eulerian stochastic field method. Combust. Flame 2010, 157, 1621–1636. [Google Scholar] [CrossRef]
- Nair, V.; Hinton, G.E. Rectified linear units improve restricted boltzmann machines. In Proceedings of the 27th International Conference on International Conference on Machine Learning, Omnipress, Haifa, Israel, 21–24 June 2010; pp. 807–814. [Google Scholar]
- He, K.; Zhang, X.; Ren, S.; Sun, J. Deep Residual Learning for Image Recognition; IEEE: Piscataway, NJ, USA, 2016. [Google Scholar]
- Jakhetiya, V.; Kumar, A.; Tiwari, A.K. A survey on image interpolation methods. In Proceedings of the Second International Conference on Digital Image Processing, Singapore, 26–28 February 2010; SPIE—The International Society for Optical Engineering: Bellingham, WA, USA, 2010. [Google Scholar]
- Lehmann, T.M.; Gonner, C. Survey: Interpolation methods in medical image processing. IEEE Trans. Med. Imaging 1999, 18, 1049–1075. [Google Scholar] [CrossRef]
- Keys, R.G. Cubic convolution interpolation for digital image processing. IEEE Trans Acoust. Speech Signal Process. 1981, 29, 1153–1160. [Google Scholar] [CrossRef]
- Yang, C.-Y.; Ma, C.; Yang, M.-H. Single-Image Super-Resolution: A Benchmark. In Proceedings of the Computer Vision—ECCV 2014, Zurich, Switzerland, 6–12 September 2014; Fleet, D., Pajdla, T., Schiele, B., Tuytelaars, T., Eds.; Springer International Publishing: Cham, Switzerland, 2014; pp. 372–386. [Google Scholar]
- Wang, Z.; Bovik, A.C.; Sheikh, H.R.; Simoncelli, E.P. Image quality assessment: From error visibility to structural similarity. IEEE Trans. Image Process 2004, 13, 600–612. [Google Scholar] [CrossRef]














Disclaimer/Publisher’s Note: The statements, opinions and data contained in all publications are solely those of the individual author(s) and contributor(s) and not of MDPI and/or the editor(s). MDPI and/or the editor(s) disclaim responsibility for any injury to people or property resulting from any ideas, methods, instructions or products referred to in the content. |
© 2024 by the authors. Licensee MDPI, Basel, Switzerland. This article is an open access article distributed under the terms and conditions of the Creative Commons Attribution (CC BY) license (https://creativecommons.org/licenses/by/4.0/).
Share and Cite
Zheng, C.; Huang, W.; Xu, W. Learning-Based Super-Resolution Imaging of Turbulent Flames in Both Time and 3D Space Using Double GAN Architectures. Fire 2024, 7, 293. https://doi.org/10.3390/fire7080293
Zheng C, Huang W, Xu W. Learning-Based Super-Resolution Imaging of Turbulent Flames in Both Time and 3D Space Using Double GAN Architectures. Fire. 2024; 7(8):293. https://doi.org/10.3390/fire7080293
Chicago/Turabian StyleZheng, Chenxu, Weiming Huang, and Wenjiang Xu. 2024. "Learning-Based Super-Resolution Imaging of Turbulent Flames in Both Time and 3D Space Using Double GAN Architectures" Fire 7, no. 8: 293. https://doi.org/10.3390/fire7080293
APA StyleZheng, C., Huang, W., & Xu, W. (2024). Learning-Based Super-Resolution Imaging of Turbulent Flames in Both Time and 3D Space Using Double GAN Architectures. Fire, 7(8), 293. https://doi.org/10.3390/fire7080293

