High-Resolution Mapping of Litter and Duff Fuel Loads Using Multispectral Data and Random Forest Modeling
Abstract
1. Introduction
2. Materials and Methods
2.1. Study Area
2.2. Data and Materials Description
2.2.1. Field Data
2.2.2. Remote Sensing Data and Multispectral Analysis
2.2.3. Litter and Duff Fuel Load Spatial Distribution
3. Results
3.1. Field Data
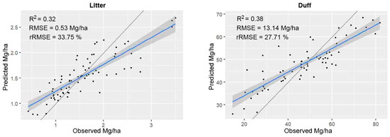
3.2. Litter and Duff Fuel Load Spatial Distribution
4. Discussion
4.1. Field Data
4.2. Litter and Duff Fuel Load Spatial Distribution
5. Conclusions
Author Contributions
Funding
Institutional Review Board Statement
Informed Consent Statement
Data Availability Statement
Acknowledgments
Conflicts of Interest
Appendix A




References
- De Rigo, D.; Libertà, G.; Durrant, T.; Artes Vivancos, T.; San-Miguel-Ayanz, J. Forest Fire Danger Extremes in Europe Under Climate Change: Variability and Uncertainty. Ph.D. Thesis, Publications Office of the European Union, Luxembourg, 2017. [Google Scholar] [CrossRef]
- Servicio Meteorológico Nacional (SMN). Perspectiva Meteorológica Para Incendios Forestales. Available online: https://smn.conagua.gob.mx/es/incendios-forestales-diario (accessed on 11 April 2024).
- Zubkova, M.; Boschetti, L.; Abatzoglou, J.T.; Giglio, L. Changes in Fire Activity in Africa from 2002 to 2016 and Their Potential Drivers. Geophys. Res. Lett. 2019, 46, 7643–7653. [Google Scholar] [CrossRef] [PubMed]
- Pechony, O.; Shindell, D.T. Driving Forces of Global Wildfires over the Past Millennium and the Forthcoming Century. Proc. Natl. Acad. Sci. USA 2010, 107, 19167–19170. [Google Scholar] [CrossRef] [PubMed]
- Intergovernmental Panel on Climate Change (IPCC). Global Climate. Available online: https://www.ipcc.ch/report/ar4/wg1/global-climate-projections/ (accessed on 25 January 2024).
- United Nations Environment Programme (UNEP). Spreading Like Wildfire: The Rising Threat of Extraordinary Landscape Fires; United Nations Environment Programme (UNEP): Nairobi, Kenia, 2022; Available online: https://www.unep.org/resources/report/spreading-wildfire-rising-threat-extraordinary-landscape-fires (accessed on 26 August 2024).
- Aponte, C.; de Groot, W.J.; Wotton, B.M. Forest Fires and Climate Change: Causes, Consequences and Management Options. Int. J. Wildland Fire 2016, 25, 1–2. [Google Scholar] [CrossRef]
- Chuvieco, E. (Ed.) Earth Observation of Wildland Fires in Mediterranean Ecosystems; Springer: Berlin/Heidelberg, Germany, 2009. [Google Scholar] [CrossRef]
- Fried, J.S.; Gilless, J.K.; Riley, W.J.; Moody, T.J.; Simon de Blas, C.; Hayhoe, K.; Moritz, M.; Stephens, S.; Torn, M. Predicting the Effect of Climate Change on Wildfire Behavior and Initial Attack Success. Clim. Chang. 2008, 87, 251–264. [Google Scholar] [CrossRef]
- Kreider, M.R.; Higuera, P.E.; Parks, S.A.; Rice, W.L.; White, N.; Larson, A.J. Fire Suppression Makes Wildfires More Severe and Accentuates Impacts of Climate Change and Fuel Accumulation. Nat. Commun. 2024, 15, 2412. [Google Scholar] [CrossRef]
- Moghaddas, J.J.; Collins, B.M.; Menning, K.; Moghaddas, E.E.Y.; Stephens, S.L. Fuel Treatment Effects on Modeled Landscape-Level Fire Behavior in the Northern Sierra Nevada. Can. J. For. Res. 2010, 40, 1751–1765. [Google Scholar] [CrossRef]
- Tymstra, C.; Bryce, R.W.; Wotton, B.M.; Taylor, S.W.; Armitage, O.B. Development and Structure of Prometheus: The Canadian Wildland Fire Growth Simulation Model; Natural Resources Canada: Edmonton, AB, Canada, 2010. [Google Scholar]
- Furlaud, J.M.; Williamson, G.J.; Bowman, D.M.J.S. Simulating the Effectiveness of Prescribed Burning at Altering Wildfire Behaviour in Tasmania, Australia. Int. J. Wildland Fire 2018, 27, 15. [Google Scholar] [CrossRef]
- Secretaría de Medio Ambiente y Recursos Naturales (SEMARNAT). Programa de Manejo del Fuego 2020–2024; SEMARNAT: Mexico City, México, 2020. [Google Scholar]
- Keane, R.E. Wildland Fuel Fundamentals and Applications; Springer International: New York, NY, USA, 2015. [Google Scholar]
- Keane, R.E. Describing Wildland Surface Fuel Loading for Fire Management: A Review of Approaches, Methods and Systems. Int. J. Wildland Fire 2013, 22, 51. [Google Scholar] [CrossRef]
- Weise, D.R.; Cobian-Iñiguez, J.; Princevac, M. Surface to Crown Transition. In Encyclopedia of Wildfires and Wildland-Urban Interface (WUI) Fires; Springer International Publishing: Cham, Switzerland, 2018; pp. 1–5. [Google Scholar] [CrossRef]
- Scott, J.H.; Reinhardt, E.D. Assessing Crown Fire Potential by Linking Models of Surface and Crown Fire Behavior; US Department of Agriculture, Forest Service, Rocky Mountain Research Station: Fort Collins, CO, USA, 2001. [CrossRef]
- Hirsch, K.G. Canadian Forest Fire Behavior Prediction (FBP) System: User’s Guide; Natural Resources Canada, Canadian Forest Service, Northern Forestry Centre: Vancouver, BC, Canada, 1996. [Google Scholar]
- Pérez-Suárez, M.; Arredondo-Moreno, J.T.; Huber-Sannwald, E. Early Stage of Single and Mixed Leaf-Litter Decomposition in Semiarid Forest Pine-Oak: The Role of Rainfall and Microsite. Biogeochemistry 2012, 108, 245–258. [Google Scholar] [CrossRef]
- Xelhuantzi-Carmona, J.; Flores-Garnica, J.G.; Chávez-Durán, A.A. Análisis Comparativo de Cargas de Combustibles en Ecosistemas Forestales Afectados Por Incendios. Rev. Mex. Cienc. For. 2011, 2, 37–52. [Google Scholar] [CrossRef]
- Prichard, S.J.; Andreu, A.G.; Ottmar, R.D.; Eberhardt, E. Fuel Characteristic Classification System (FCCS) Field Sampling and Fuelbed Development Guide; Pacific Northwest Research Station, USDA Forest Service: Portland, OR, USA, 2019. [CrossRef]
- Finney, M.A. Fire Research and Management Exchange System. FlamMap 6.2. Available online: https://www.frames.gov/catalog/67085 (accessed on 1 May 2024).
- Arroyo, L.A.; Pascual, C.; Manzanera, J.A. Fire Models and Methods to Map Fuel Types: The Role of Remote Sensing. For. Ecol. Manag. 2008, 256, 1239–1252. [Google Scholar] [CrossRef]
- Chávez-Durán, Á.A.; Olvera-Vargas, M.; Figueroa-Rangel, B.; García, M.; Aguado, I.; Ruiz-Corral, J.A. Mapping Homogeneous Response Areas for Forest Fuel Management Using Geospatial Data, K-Means, and Random Forest Classification. Forests 2022, 13, 1970. [Google Scholar] [CrossRef]
- Mestre, L.; Toro-Manríquez, M.; Soler, R.; Huertas-Herrera, A.; Martínez-Pastur, G.; Lencinas, M.V. The Influence of Canopy-Layer Composition on Understory Plant Diversity in Southern Temperate Forests. For. Ecosyst. 2017, 4, 6. [Google Scholar] [CrossRef]
- Casals, P.; Valor, T.; Besalú, A.; Molina-Terrén, D. Understory Fuel Load and Structure Eight to Nine Years after Prescribed Burning in Mediterranean Pine Forests. For. Ecol. Manag. 2016, 362, 156–168. [Google Scholar] [CrossRef]
- Chávez-Durán, Á.A.; Bustos-Santana, A.; Chávez-Durán, H.M.; Flores-Garnica, J.G.; Rubio-Camacho, E.A.; Xelhuantzi-Carmona, J. Distribución Espacial de Cargas de Combustibles en Una Parcela de Muestreo de Pino–Encino. Rev. Mex. Cienc. For. 2021, 12, 112–133. [Google Scholar] [CrossRef]
- Flores-Garnica, J.G.; Chávez-Durán, A.A.; Rubio-Camacho, E.A.; Villela Gaytán, S.A.; Xelhuantzi-Carmona, J.; Frías-Gómez, J.G. Evaluación de la Respuesta de Diferentes Ecosistemas Forestales a los Incendios Forestales. Informe Técnico y Financiero Segunda Etapa. Clave CONACyT: 71400; Comisión Nacional Forestal of Mexico (CONAFOR): Guadalajara, Mexico, 2008; Available online: http://www.cnf.gob.mx/IMASD (accessed on 27 June 2022).
- Chávez-Durán, Á.A.; Flores-Garnica, J.G.; Luna-Luna, M.; Centeno-Erguera, L.R.; Alarcón-Bustamante, M.P. Caracterización y Clasificación de Camas de Combustibles Prioritarias en México Para Planificar el Manejo del Fuego. Informe Técnico Fondo Sectorial CONACyT-CONAFOR. Referencia: CONAFOR-2012-C01-175523; Fundamentos Técnicos y Metodológicos: Tepatitlán de Morelos, México, 2014; Available online: http://www.cnf.gob.mx/IMASD (accessed on 16 August 2022).
- Loudermilk, E.L.; O’Brien, J.J.; Goodrick, S.L.; Linn, R.R.; Skowronski, N.S.; Hiers, J.K. Vegetation’s Influence on Fire Behavior Goes beyond Just Being Fuel. Fire Ecol. 2022, 18, 9. [Google Scholar] [CrossRef]
- Chávez-Durán, Á.A.; García, M.; Olvera-Vargas, M.; Aguado, I.; Figueroa-Rangel, B.L.; Trucíos-Caciano, R.; Rubio-Camacho, E.A. Forest Canopy Fuel Loads Mapping Using Unmanned Aerial Vehicle High-Resolution Red, Green, Blue and Multispectral Imagery. Forests 2024, 15, 225. [Google Scholar] [CrossRef]
- García, M.; Popescu, S.; Riaño, D.; Zhao, K.; Neuenschwander, A.; Agca, M.; Chuvieco, E. Characterization of Canopy Fuels Using ICESat/GLAS Data. Remote Sens. Environ. 2012, 123, 81–89. [Google Scholar] [CrossRef]
- Botequim, B.; Fernandes, P.M.; Borges, J.G.; González-Ferreiro, E.; Guerra-Hernández, J. Improving Silvicultural Practices for Mediterranean Forests through Fire Behaviour Modelling Using LiDAR-Derived Canopy Fuel Characteristics. Int. J. Wildland Fire 2019, 28, 823. [Google Scholar] [CrossRef]
- Aragoneses, E.; García, M.; Ruiz-Benito, P.; Chuvieco, E. Mapping Forest Canopy Fuel Parameters at European Scale Using Spaceborne LiDAR and Satellite Data. Remote Sens. Environ. 2024, 303, 114005. [Google Scholar] [CrossRef]
- Aragoneses, E.; García, M.; Salis, M.; Ribeiro, L.M.; Chuvieco, E. Classification and Mapping of European Fuels Using a Hierarchical, Multipurpose Fuel Classification System. Earth Syst. Sci. Data 2023, 15, 1287–1315. [Google Scholar] [CrossRef]
- Abdollahi, A.; Yebra, M. Forest Fuel Type Classification: Review of Remote Sensing Techniques, Constraints and Future Trends. J. Environ. Manag. 2023, 342, 118315. [Google Scholar] [CrossRef] [PubMed]
- Flores-Garnica, J.G. Antecedentes y Perspectivas de La Investigación En Incendios Forestales En El INIFAP. Rev. Mex. Cienc. For. 2021, 12, 91–119. [Google Scholar] [CrossRef]
- Arellano-Pérez, S.; Castedo-Dorado, F.; López-Sánchez, C.; González-Ferreiro, E.; Yang, Z.; Díaz-Varela, R.; Álvarez-González, J.; Vega, J.; Ruiz-González, A. Potential of Sentinel-2A Data to Model Surface and Canopy Fuel Characteristics in Relation to Crown Fire Hazard. Remote Sens. 2018, 10, 1645. [Google Scholar] [CrossRef]
- Franke, J.; Barradas, A.C.S.; Borges, M.A.; Menezes Costa, M.; Dias, P.A.; Hoffmann, A.A.; Orozco Filho, J.C.; Melchiori, A.E.; Siegert, F. Fuel Load Mapping in the Brazilian Cerrado in Support of Integrated Fire Management. Remote Sens. Environ. 2018, 217, 221–232. [Google Scholar] [CrossRef]
- Labenski, P.; Ewald, M.; Schmidtlein, S.; Heinsch, F.A.; Fassnacht, F.E. Quantifying Surface Fuels for Fire Modelling in Temperate Forests Using Airborne Lidar and Sentinel-2: Potential and Limitations. Remote Sens. Environ. 2023, 295, 113711. [Google Scholar] [CrossRef]
- Li, S.; Wang, T.; Hou, Z.; Gong, Y.; Feng, L.; Ge, J. Harnessing Terrestrial Laser Scanning to Predict Understory Biomass in Temperate Mixed Forests. Ecol. Indic. 2021, 121, 107011. [Google Scholar] [CrossRef]
- Maesano, M.; Santopuoli, G.; Moresi, F.; Matteucci, G.; Lasserre, B.; Scarascia Mugnozza, G. Above Ground Biomass Estimation from UAV High Resolution RGB Images and LiDAR Data in a Pine Forest in Southern Italy. IForest 2022, 15, 451–457. [Google Scholar] [CrossRef]
- Zhang, Z.; Zhu, L. A Review on Unmanned Aerial Vehicle Remote Sensing: Platforms, Sensors, Data Processing Methods, and Applications. Drones 2023, 7, 398. [Google Scholar] [CrossRef]
- Hoffrén, R.; Lamelas, M.T.; de la Riva, J. UAV-Derived Photogrammetric Point Clouds and Multispectral Indices for Fuel Estimation in Mediterranean Forests. Remote Sens. Appl. 2023, 31, 100997. [Google Scholar] [CrossRef]
- Comisión Nacional de Áreas Naturales Protegidas (CONANP). Recategorización del Área de Protección de Flora y Fauna “Sierra de Quila”; Diario Oficial: Mexico City, Mexico, 2000; pp. 1–5. Available online: https://simec.conanp.gob.mx/pdf_recategorizacion/64_reca.pdf (accessed on 27 June 2022).
- Jardel-Pelaez, E.J.; Pérez-Salicrup, D.; Alvarado-Celestino, E.; Morfin-Rios, J.E. Principios y Criterios Para el Manejo del Fuego en Ecosistemas Forestales: Guía de Campo; Comisión Nacional Forestal: Guadalajara, México, 2014. [Google Scholar]
- Jiménez-Luquín, E. Sierra de Quila: ¿Cómo Ha Ido Cambiando Los Últimos 25 Años Desde La Tragedia? In Memorias. I Foro de Conocimiento, Uso y Gestión del Área Natural Protegida Sierra de Quila; Villavicencio-García, R., Santiago-Pérez, A.L., Rosas-Espinoza, V.C., Hernández-López, L., Eds.; Universidad de Guadalajara, Centro Universitario de Ciencias Biológicas y Agropecuarias, Departamento de Producción Forestal: Guadalajara, México, 2011; pp. 1–134. [Google Scholar]
- Fox, J.; Weisberg, S. An R Companion to Applied Regression, 3rd ed.; Sage: California, CA, USA, 2018. [Google Scholar]
- Vargha, A.; Delaney, H.D. The Kruskal-Wallis Test and Stochastic Homogeneity. J. Educ. Behav. Stat. 1998, 23, 170–192. [Google Scholar] [CrossRef]
- Bonamente, M. Statistics and Analysis of Scientific Data; Springer Science and Business Media: New York, NY, USA, 2017. [Google Scholar]
- Keane, R.E.; Gray, K.; Bacciu, V.; Leirfallom, S. Spatial Scaling of Wildland Fuels for Six Forest and Rangeland Ecosystems of the Northern Rocky Mountains, USA. Landsc. Ecol. 2012, 27, 1213–1234. [Google Scholar] [CrossRef]
- Siabato, W.; Guzmán-Manrique, J. La Autocorrelación Espacial y El Desarrollo de La Geografía Cuantitativa. Cuad. Geogr. Rev. Colomb. Geogr. 2019, 28, 1–22. [Google Scholar] [CrossRef]
- Poncet, A.M.; Knappenberger, T.; Brodbeck, C.; Fogle, M.; Shaw, J.N.; Ortiz, B.V. Multispectral UAS Data Accuracy for Different Radiometric Calibration Methods. Remote Sens. 2019, 11, 1917. [Google Scholar] [CrossRef]
- Park, J.W.; Yeom, D.J. Method for Establishing Ground Control Points to Realize UAV-Based Precision Digital Maps of Earthwork Sites. J. Asian Archit. Build. Eng. 2022, 21, 110–119. [Google Scholar] [CrossRef]
- Westoby, M.J.; Brasington, J.; Glasser, N.F.; Hambrey, M.J.; Reynolds, J.M. ‘Structure-from-Motion’ Photogrammetry: A Low-Cost, Effective Tool for Geoscience Applications. Geomorphology 2012, 179, 300–314. [Google Scholar] [CrossRef]
- Agisoft LLC. Agisoft Metashape User Manual; Agisoft LLC: St. Petersburg, Russia, 2023. [Google Scholar]
- Barrett, F.; McRoberts, R.E.; Tomppo, E.; Cienciala, E.; Waser, L.T. A Questionnaire-Based Review of the Operational Use of Remotely Sensed Data by National Forest Inventories. Remote Sens. Environ. 2016, 174, 279–289. [Google Scholar] [CrossRef]
- Guerini-Filho, M.; Kuplich, T.M.; De Quadros, F.L.F. Estimating Natural Grassland Biomass by Vegetation Indices Using Sentinel 2 Remote Sensing Data. Int. J. Remote Sens. 2020, 41, 2861–2876. [Google Scholar] [CrossRef]
- Warner, T. Kernel-Based Texture in Remote Sensing Image Classification. Geogr. Compass 2011, 5, 781–798. [Google Scholar] [CrossRef]
- Kupidura, P. The Comparison of Different Methods of Texture Analysis for Their Efficacy for Land Use Classification in Satellite Imagery. Remote Sens. 2019, 11, 1233. [Google Scholar] [CrossRef]
- Haralick, R.M.; Shanmugam, K.; Dinstein, I. Textural Features for Image Classification. IEEE Trans. Syst. Man Cybern. 1973, SMC-3, 610–621. [Google Scholar] [CrossRef]
- Pal, M. Random Forest Classifier for Remote Sensing Classification. Int. J. Remote Sens. 2005, 26, 217–222. [Google Scholar] [CrossRef]
- Ganesh, N.; Jain, P.; Choudhury, A.; Dutta, P.; Kalita, K.; Barsocchi, P. Random Forest Regression-Based Machine Learning Model for Accurate Estimation of Fluid Flow in Curved Pipes. Processes 2021, 9, 2095. [Google Scholar] [CrossRef]
- Genuer, R.; Poggi, J.-M.; Tuleau-Malot, C. VSURF: An R Package for Variable Selection Using Random Forests. R J. 2015, 7, 19. [Google Scholar] [CrossRef]
- Han, H.; Guo, X.; Yu, H. Variable Selection Using Mean Decrease Accuracy and Mean Decrease Gini Based on Random Forest. In Proceedings of the 2016 7th IEEE International Conference on Software Engineering and Service Science (ICSESS), Beijing, China, 26–28 August 2016; IEEE: New York, NY, USA, 2016; pp. 219–224. [Google Scholar] [CrossRef]
- Liaw, A.; Wiener, M.; Breiman, L.; Cutler, A. Package ‘randomForest’. Breiman and Cutler’s Random Forests for Classification and Regression. Available online: https://cran.r-project.org/web/packages/randomForest/randomForest.pdf (accessed on 18 March 2024).
- Hijmans, R.J. Package ‘Raster’. Geographic Data Analysis and Modeling. Available online: https://cran.r-project.org/web/packages/raster/raster.pdf (accessed on 18 March 2024).
- Pebesma, E. Package ‘sf’. Simple Features for R. Available online: https://cran.r-project.org/web/packages/sf/sf.pdf (accessed on 19 March 2024).
- R Core Team. R: A Language and Environment for Statistical Computing. Available online: https://www.R-project.org/ (accessed on 15 June 2024).
- McRoberts, R.E.; Magnussen, S.; Tomppo, E.O.; Chirici, G. Parametric, Bootstrap, and Jackknife Variance Estimators for the k-Nearest Neighbors Technique with Illustrations Using Forest Inventory and Satellite Image Data. Remote Sens. Environ. 2011, 115, 3165–3174. [Google Scholar] [CrossRef]
- García, M.; Saatchi, S.; Casas, A.; Koltunov, A.; Ustin, S.; Ramirez, C.; Balzter, H. Extrapolating Forest Canopy Fuel Properties in the California Rim Fire by Combining Airborne LiDAR and Landsat OLI Data. Remote Sens. 2017, 9, 394. [Google Scholar] [CrossRef]
- Breiman, L. Random Forests. Mach. Learn. 2001, 45, 5–32. [Google Scholar] [CrossRef]
- Brede, B.; Terryn, L.; Barbier, N.; Bartholomeus, H.M.; Bartolo, R.; Calders, K.; Derroire, G.; Krishna Moorthy, S.M.; Lau, A.; Levick, S.R.; et al. Non-Destructive Estimation of Individual Tree Biomass: Allometric Models, Terrestrial and UAV Laser Scanning. Remote Sens. Environ. 2022, 280, 113180. [Google Scholar] [CrossRef]
- Wickham, H.; Hester, J.; Francois, R.; Bryan, J.; Bearrows, S.; Jylänki, J.; Jørgensen, M. Package ‘Readr.’ Read Rectangular Text Data. Available online: https://cran.r-project.org/web/packages/readr/readr.pdf (accessed on 15 June 2024).
- Gross, J.; Ligges, U. Package ‘Northest.’ Tests for Normality. Available online: https://cran.r-project.org/web/packages/nortest/nortest.pdf (accessed on 15 June 2023).
- Fox, J.; Weisberg, S.; Price, B.; Adler, D.; Bates, D.; Baud-Bovy, G.; Bolker, B.; Ellison, S.; Firth, D.; Friendly, M.; et al. Package ‘Car’. Companion to Applied Regression. Available online: https://cran.r-project.org/web/packages/car/car.pdf (accessed on 7 July 2023).
- Husson, F.; Josse, J.; Le, S.; Mazet, J. Package ‘FactoMineR’. Available online: https://cran.r-project.org/web/packages/FactoMineR/FactoMineR.pdf (accessed on 16 September 2023).
- Wright, M.; Wager, S.; Probst, P. Package ‘Ranger’. A Fast Implementation of Random Forests. Available online: https://cran.r-project.org/web/packages/ranger/ranger.pdf (accessed on 3 June 2024).
- Wickham, H.; Chang, W.; Henry, L.; Lin-Pedersen, T.; Takahashi, K.; Wilke, C.; Woo, K.; Yutani, H.; Dunnington, D. Package ‘ggplot2.’ Create Elegant Data Visualisations Using the Grammar of Graphics. Available online: https://cran.r-project.org/web/packages/ggplot2/ggplot2.pdf (accessed on 7 July 2023).
- Ulrich, W.; Piwczyński, M.; Zaplata, M.K.; Winter, S.; Schaaf, W.; Fischer, A. Small-Scale Spatial Variability in Phylogenetic Community Structure during Early Plant Succession Depends on Soil Properties. Oecologia 2014, 175, 985–995. [Google Scholar] [CrossRef]
- Doro, L.; Meinardus, A.; Jeong, J.; Osorio-Leyton, J.M.; Steglich, E.M. Environmental Policy Integrated Climate (EPIC) User Manual; Texas A&M: Temple, TX, USA, 2024. [Google Scholar]
- Kwon, T.; Shibata, H.; Kepfer-Rojas, S.; Schmidt, I.K.; Larsen, K.S.; Beier, C.; Berg, B.; Verheyen, K.; Lamarque, J.-F.; Hagedorn, F.; et al. Effects of Climate and Atmospheric Nitrogen Deposition on Early to Mid-Term Stage Litter Decomposition Across Biomes. Front. For. Glob. Chang. 2021, 4, 678480. [Google Scholar] [CrossRef]
- Austin, A.T.; Vitousek, P.M. Precipitation, Decomposition and Litter Decomposability of Metrosideros Polymorpha in Native Forests on Hawai’i. J. Ecol. 2000, 88, 129–138. [Google Scholar] [CrossRef]
- Mohammadpour, P.; Viegas, D.X.; Viegas, C. Vegetation Mapping with Random Forest Using Sentinel 2 and GLCM Texture Feature—A Case Study for Lousã Region, Portugal. Remote Sens. 2022, 14, 4585. [Google Scholar] [CrossRef]
- Ishihara, M.I.; Hiura, T. Modeling Leaf Area Index from Litter Collection and Tree Data in a Deciduous Broadleaf Forest. Agric. For. Meteorol. 2011, 151, 1016–1022. [Google Scholar] [CrossRef]
- Raaflaub, L.D.; Valeo, C. Assessing Factors That Influence Spatial Variations in Duff Moisture. Hydrol. Process. 2008, 22, 2874–2883. [Google Scholar] [CrossRef]
- Rubio-Camacho, E.A. Análisis de La Estructura, Biomasa y Combustibles Forestales: Una Aproximación a la Ecología del Fuego en Bosques Montanos de la Sierra Madre Oriental, Universidad Autónoma de Nuevo León, Linares, Nuevo León, Mexico. 2013. Available online: http://eprints.uanl.mx/5714/ (accessed on 28 June 2022).
- del Río, M.; Löf, M.; Bravo-Oviedo, A.; Jactel, H. Understanding the Complexity of Mixed Forest Functioning and Management: Advances and Perspectives. For. Ecol. Manag. 2021, 489, 119138. [Google Scholar] [CrossRef]
- Bergamo, T.F.; de Lima, R.S.; Kull, T.; Ward, R.D.; Sepp, K.; Villoslada, M. From UAV to PlanetScope: Upscaling Fractional Cover of an Invasive Species Rosa Rugosa. J. Environ. Manag. 2023, 336, 117693. [Google Scholar] [CrossRef]








| Texture Indicator | Equation |
|---|---|
| Mean | |
| Variance | |
| Homogeneity | |
| Contrast | |
| Dissimilarity | |
| Entropy | |
| Second Moment | |
| Correlation |
| Fuel Component | P1 | P2 | P3 |
|---|---|---|---|
| Litter | |||
| Mean Predicted (Mg/ha) | 1.67 | 1.81 | 1.18 |
| Biasabs (Mg/ha) | 0.05 | −0.08 | −0.01 |
| Biasrel (%) | 3.01 | 4.15 | 0.75 |
| Duff | |||
| Mean Predicted (Mg/ha) | 49.51 | 46.38 | 48.00 |
| Biasabs (Mg/ha) | −5.34 | −8.20 | −2.37 |
| Biasrel (%) | 9.73 | 15.02 | 4.70 |
Disclaimer/Publisher’s Note: The statements, opinions and data contained in all publications are solely those of the individual author(s) and contributor(s) and not of MDPI and/or the editor(s). MDPI and/or the editor(s) disclaim responsibility for any injury to people or property resulting from any ideas, methods, instructions or products referred to in the content. |
© 2024 by the authors. Licensee MDPI, Basel, Switzerland. This article is an open access article distributed under the terms and conditions of the Creative Commons Attribution (CC BY) license (https://creativecommons.org/licenses/by/4.0/).
Share and Cite
Chávez-Durán, Á.A.; Olvera-Vargas, M.; Aguado, I.; Figueroa-Rangel, B.L.; Trucíos-Caciano, R.; Rubio-Camacho, E.A.; Xelhuantzi-Carmona, J.; García, M. High-Resolution Mapping of Litter and Duff Fuel Loads Using Multispectral Data and Random Forest Modeling. Fire 2024, 7, 408. https://doi.org/10.3390/fire7110408
Chávez-Durán ÁA, Olvera-Vargas M, Aguado I, Figueroa-Rangel BL, Trucíos-Caciano R, Rubio-Camacho EA, Xelhuantzi-Carmona J, García M. High-Resolution Mapping of Litter and Duff Fuel Loads Using Multispectral Data and Random Forest Modeling. Fire. 2024; 7(11):408. https://doi.org/10.3390/fire7110408
Chicago/Turabian StyleChávez-Durán, Álvaro Agustín, Miguel Olvera-Vargas, Inmaculada Aguado, Blanca Lorena Figueroa-Rangel, Ramón Trucíos-Caciano, Ernesto Alonso Rubio-Camacho, Jaqueline Xelhuantzi-Carmona, and Mariano García. 2024. "High-Resolution Mapping of Litter and Duff Fuel Loads Using Multispectral Data and Random Forest Modeling" Fire 7, no. 11: 408. https://doi.org/10.3390/fire7110408
APA StyleChávez-Durán, Á. A., Olvera-Vargas, M., Aguado, I., Figueroa-Rangel, B. L., Trucíos-Caciano, R., Rubio-Camacho, E. A., Xelhuantzi-Carmona, J., & García, M. (2024). High-Resolution Mapping of Litter and Duff Fuel Loads Using Multispectral Data and Random Forest Modeling. Fire, 7(11), 408. https://doi.org/10.3390/fire7110408

