Particulate Levels Underneath Landscape Fire Smoke Plumes in the Sydney Region of Australia
Abstract
1. Introduction
- Determine the proportion of fires that create observable plumes.
- Describe the spatial and temporal patterns in plumes (spatial and monthly hotspots for plumes).
- Determine the population densities of the places that plumes pass over (the human dimension of the problem).
- Determine what proportion of plumes pass over an air quality monitor (adequacy of the network).
- Determine what proportion of plumes cause a poor air quality incident.
- Investigate meteorological conditions associated with those incidents to improve forecast ability.
2. Materials and Methods
2.1. Datasets
2.2. Analysis
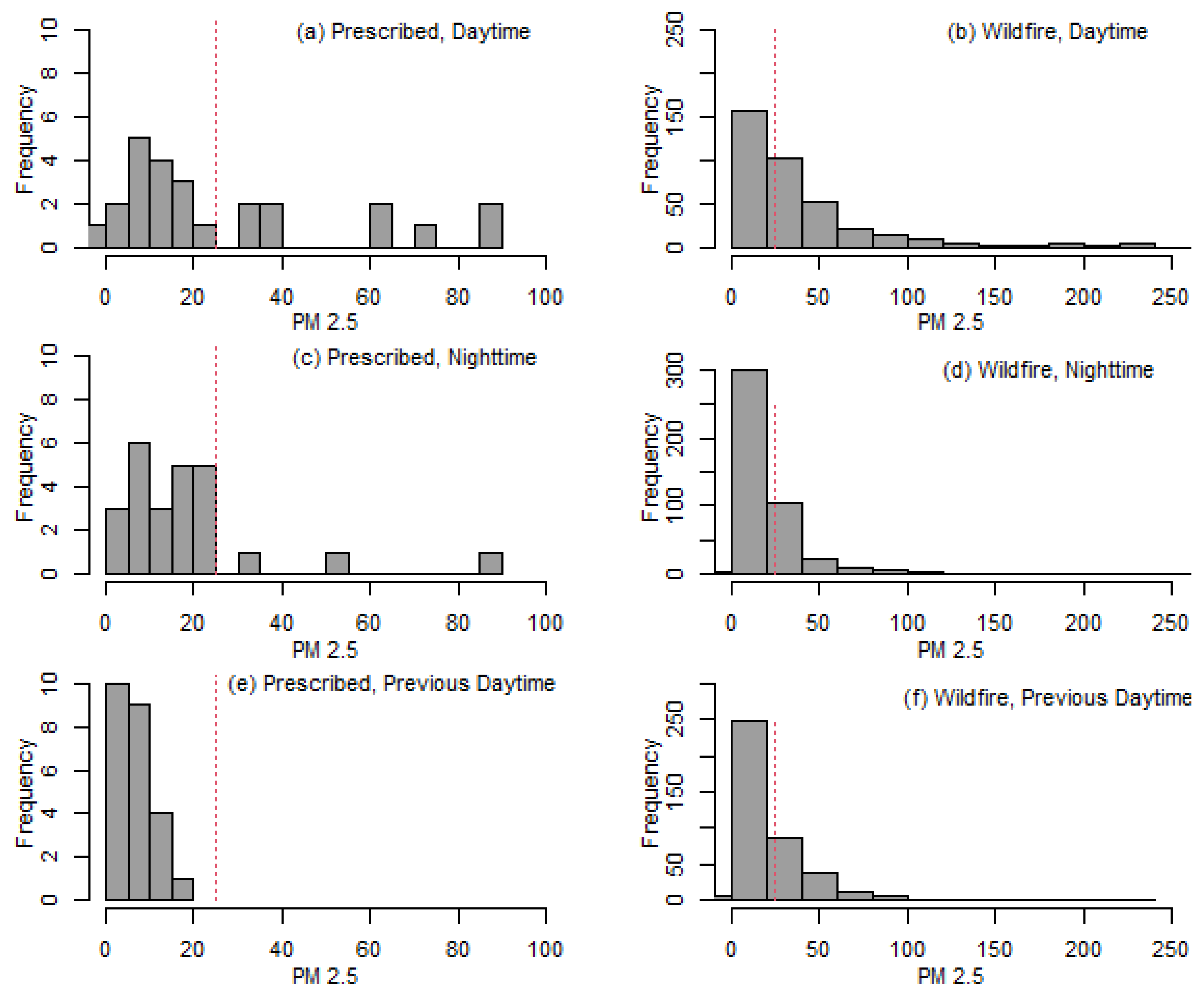
3. Results
4. Discussion
5. Conclusions
Author Contributions
Funding
Institutional Review Board Statement
Informed Consent Statement
Data Availability Statement
Acknowledgments
Conflicts of Interest
References
- Borchers Arriagada, N.; Palmer, A.J.; Bowman, D.M.J.S.; Morgan, G.G.; Jalaludin, B.B.; Johnston, F.H. Unprecedented smoke-related health burden associated with the 2019–20 bushfires in eastern Australia. Med. J. Aust. 2020, 213, 282. [Google Scholar] [CrossRef] [PubMed]
- Johnston, F.H.; Henderson, S.B.; Chen, Y.; Randerson, J.T.; Marlier, M.; DeFries, R.S.; Kinney, P.; Bowman, D.; Brauer, M. Estimated global mortality attributable to smoke from landscape fires. Environ. Health Perspect. 2012, 120, 695–701. [Google Scholar] [CrossRef] [PubMed]
- Williams, A.P.; Abatzoglou, J.T.; Gershunov, A.; Guzman-Morales, J.; Bishop, D.A.; Balch, J.K.; Lettenmaier, D.P. Observed impacts of anthropogenic climate change on wildfire in California. Earths Future 2019, 7, 892–910. [Google Scholar] [CrossRef]
- Canadell, J.G.; Meyer, C.P.; Cook, G.D.; Dowdy, A.; Briggs, P.R.; Knauer, J.; Pepler, A.; Haverd, V. Multi-decadal increase of forest burned area in Australia is linked to climate change. Nat. Commun. 2021, 12, 6921. [Google Scholar] [CrossRef] [PubMed]
- Liu, Y.Q.; Liu, Y.; Fu, O.S.; Yang, C.E.; Dong, X.Y.; Tian, H.Q.; Tao, B.; Yang, J.; Wang, Y.H.; Zou, Y.F.; et al. Projection of future wildfire emissions in western USA under climate change: Contributions from changes in wildfire, fuel loading and fuel moisture. Int. J. Wildland Fire 2022, 31, 1–13. [Google Scholar] [CrossRef]
- Williamson, G.; Bowman, D.; Price, O.; Henderson, S.; Johnston, F. A transdisciplinary approach to understanding the health effects of wildfire and prescribed smoke. Environ. Res. Lett. 2016, 11, 125009. [Google Scholar] [CrossRef]
- Fernandes, P.M.; Botelho, H.S. A review of prescribed burning effectiveness in fire hazard reduction. Int. J. Wildland Fire 2003, 12, 117–128. [Google Scholar] [CrossRef]
- Broome, R.A.; Johnstone, F.H.; Horsley, J.; Morgan, G.G. A rapid assessment of the impact of hazard reduction burning around Sydney, May 2016. Med. J. Aust. 2016, 205, 407–408. [Google Scholar] [CrossRef]
- Price, O.F.; Forehead, H. Smoke patterns around prescribed fires in Australian eucalypt forests, as measured by low-cost particulate monitors. Atmosphere 2021, 12, 1389. [Google Scholar] [CrossRef]
- Navarro, K.M.; Schweizer, D.; Balmes, J.R.; Cisneros, R. A Review of Community Smoke Exposure from Wildfire Compared to Prescribed Fire in the United States. Atmosphere 2018, 9, 185. [Google Scholar] [CrossRef]
- Afrin, S.; Garcia-Menendez, F. The Influence of Prescribed Fire on Fine Particulate Matter Pollution in the Southeastern United States. Geophys. Res. Lett. 2020, 47, e2020GL088988. [Google Scholar] [CrossRef]
- Afrin, S.; Garcia-Menendez, F. Potential impacts of prescribed fire smoke on public health and socially vulnerable populations in a Southeastern US state. Sci. Total Environ. 2021, 794, 148712. [Google Scholar] [CrossRef]
- Price, O.F.; Pausas, J.C.; Govender, N.; Flannigan, M.; Fernandes, P.M.; Brooks, M.L.; Bird, R.B. Global patterns in fire leverage: The response of annual area burnt to previous fire. Int. J. Wildland Fire 2015, 24, 297–306. [Google Scholar] [CrossRef]
- Bradstock, R.A.; Boer, M.M.; Cary, G.J.; Price, O.F.; Williams, R.J.; Barrett, D.; Cook, G.; Gill, A.M.; Hutley, L.B.; Keith, H.; et al. Modelling the potential for prescribed burning to mitigate emissions from fire-prone, Australian ecosystems. Int. J. Wildland Fire 2012, 21, 629–639. [Google Scholar] [CrossRef]
- Price, O.F.; Bradstock, R.A. The spatial domain of wildfire risk and response in the Wildland Urban Interface in Sydney, Australia. Nat. Hazards Earth Syst. Sci. 2013, 13, 3385–3393. [Google Scholar] [CrossRef]
- Crawford, J.; Chambers, S.; Cohen, D.D.; Williams, A.; Griffiths, A.; Stelcer, E.; Dyer, L. Impact of meteorology on fine aerosols at Lucas Heights, Australia. Atmos. Environ. 2016, 145, 135–146. [Google Scholar] [CrossRef]
- Pearce, J.L.; Rathbun, S.; Achtemeier, G.; Naeher, L.P. Effect of distance, meteorology, and burn attributes on ground-level particulate matter emissions from prescribed fires. Atmos. Environ. 2012, 56, 203–211. [Google Scholar] [CrossRef]
- Riebau, A.R.; Fox, D. The new smoke management. Int. J. Wildland Fire 2001, 10, 415–427. [Google Scholar] [CrossRef]
- Yao, J.; Brauer, M.; Henderson, S.B. Evaluation of a Wildfire Smoke Forecasting System as a Tool for Public Health Protection. Environ. Health Perspect. 2013, 121, 1142–1147. [Google Scholar] [CrossRef]
- Price, O.F.; Horsey, B.; Jiang, N. Local and regional smoke impacts from prescribed fires. Nat. Hazards Earth Syst. Sci. 2016, 16, 2247–2257. [Google Scholar] [CrossRef]
- Rolph, G.D.; Draxler, R.R.; Stein, A.F.; Taylor, A.; Ruminski, M.G.; Kondragunta, S.; Zeng, J.; Huang, H.-C.; Manikin, G.; McQueen, J.T.; et al. Description and verification of the NOAA smoke forecasting system: The 2007 fire season. Weather Forecast. 2009, 24, 361–378. [Google Scholar] [CrossRef]
- Williamson, G.J.; Price, O.F.; Henderson, S.B.; Bowman, D.M.J.S. Satellite-based comparison of fire intensity and smoke emissions from prescribed and wildfires in south-eastern Australia. Int. J. Wildland Fire 2013, 22, 121–129. [Google Scholar] [CrossRef]
- Paul, N.; Yao, J.Y.; McLean, K.E.; Stieb, D.M.; Henderson, S.B. The Canadian optimized statistical smoke exposure model (CanOSSEM): A machine learning approach to estimate national daily fine particulate matter (PM2.5) exposure. Sci. Total Environ. 2022, 850, 157956. [Google Scholar] [CrossRef] [PubMed]
- Chu, Y.Y.; Liu, Y.S.; Li, X.Y.; Liu, Z.Y.; Lu, H.S.; Lu, Y.A.; Mao, Z.F.; Chen, X.; Li, N.; Ren, M.; et al. A review on predicting ground pm2.5 concentration using satellite aerosol optical depth. Atmosphere 2016, 7, 129. [Google Scholar] [CrossRef]
- Williamson, G.J.; Lucani, C. AQVx-an interactive visual display system for air pollution and public health. Front. Public Health 2020, 8, 85. [Google Scholar] [CrossRef]
- Yao, J.Y.; Henderson, S.B. An empirical model to estimate daily forest fire smoke exposure over a large geographic area using air quality, meteorological, and remote sensing data. J. Expo. Sci. Environ. Epidemiol. 2014, 24, 328–335. [Google Scholar] [CrossRef]
- Anon. New South Wales Annual Compliance Report 2020, National Environment Protection (Ambient Air Quality) Measure; Office of Environment and Heritage: Sydney, NSW, Australia, 2021; p. 108. [Google Scholar]
- Seidel, D.J.; Ao, C.O.; Li, K. Estimating climatological planetary boundary layer heights from radiosonde observations: Comparison of methods and uncertainty analysis. J. Geophys. Res.-Atmos. 2010, 115, D16113. [Google Scholar] [CrossRef]
- Price, O.F.; Purdam, P.J.; Bowman, D.M.J.S.; Williamson, G. Comparing the height and area of wild and prescribed fire smoke particle plumes in southeast Australia using weather radar. Int. J. Wildland Fire 2018, 27, 525–537. [Google Scholar] [CrossRef]
- Kaulfus, A.S.; Nair, U.; Jaffe, D.; Christopher, S.A.; Goodrick, S. Biomass burning smoke climatology of the United States: Implications for particulate matter air quality. Environ. Sci. Technol. 2017, 51, 11731–11741. [Google Scholar] [CrossRef]
- Guerette, E.A.; Chang, L.T.C.; Cope, M.E.; Duc, H.N.; Emmerson, K.M.; Monk, K.; Rayner, P.J.; Scorgie, Y.; Silver, J.D.; Simmons, J.; et al. Evaluation of regional air quality models over Sydney, Australia: Part 2, comparison of PM2.5 and ozone. Atmosphere 2020, 11, 233. [Google Scholar] [CrossRef]
- Di Virgilio, D.; Hart, M.A.; Jiang, N. Meteorological controls on atmospheric particulate pollution during hazard reduction burns. Atmos. Chem. Phys. 2018, 18, 6585–6599. [Google Scholar] [CrossRef]
- Miller, C.; O’Neill, S.; Rorig, M.; Alvarado, E. Air-quality challenges of prescribed fire in the complex terrain and wildland urban interface surrounding bend, Oregon. Atmosphere 2019, 10, 515. [Google Scholar] [CrossRef]
- Hart, M.; De Dear, R.; Hyde, R. A synoptic climatology of tropospheric ozone episodes in Sydney, Australia. Int. J. Climatol. 2006, 26, 1635–1649. [Google Scholar] [CrossRef]
- Crawford, J.; Chambers, S.; Cohen, D.; Williams, A.; Griffiths, A.; Stelcer, E. Assessing the impact of atmospheric stability on locally and remotely sourced aerosols at Richmond, Australia, using Radon-222. Atmos. Environ. 2016, 127, 107–117. [Google Scholar] [CrossRef]
- Price, O.F.; Williamson, G.J.; Henderson, S.B.; Johnston, F.; Bowman, D.J.M.S. The relationship between landscape fire activity from Modis Hotspots and particulate pollution levels in Australian cities. PLoS ONE 2012, 7, e47327. [Google Scholar] [CrossRef] [PubMed]
- Clarke, H.; Tran, B.; Boer, M.; Price, O.; Kenny, B.; Bradstock, R. Climate change effects on the frequency, seasonality and interannual variability of suitable prescribed burning weather conditions in south-eastern Australia. Agric. For. Meteorol. 2019, 271, 148–157. [Google Scholar] [CrossRef]
- Storey, M.A.; Price, O.F. Prediction of air quality in Sydney, Australia as a function of forest fire load and weather using Bayesian statistics. PLoS ONE 2022, 17, e0272774. [Google Scholar] [CrossRef]
- Jiang, N.B.; Scorgie, Y.; Hart, M.; Riley, M.L.; Crawford, J.; Beggs, P.J.; Edwards, G.C.; Chang, L.S.; Salter, D.; Virgilio, G.D. Visualising the relationships between synoptic circulation type and air quality in Sydney, a subtropical coastal-basin environment. Int. J. Climatol. 2017, 37, 1211–1228. [Google Scholar] [CrossRef]
- Mills, G.; McCaw, L. Atmospheric Stability Environments and Fire Weather in Australia—Extending the Haines Index; Centre for Australian Weather and Climate Research: Melbourne, VIC, Australia, 2010; p. 151. [Google Scholar]







| Variable Name | Description | Missing Values |
|---|---|---|
| Dependent Variables | ||
| Day exceedance | Mean PM2.5 for 12:30–3:30 p.m. is >25 μgm−3 and PM2.5 > same period on previous day. | 173 |
| Night exceedance | Mean PM2.5 for 1:30–4:30 a.m. is >18 μgm−3 and PM2.5 > same period on previous night. | 83 |
| Predictor Variables | ||
| Log (Plume Area) | Natural Log of the size of the mapped plume (in ha) | 0 |
| Fire type | Whether a wildfire (WF) or prescribed fire (PB) | 0 |
| Wind Speed | At the closest BOM automatic weather station at the time of maximum plume (Km/h) | 25 |
| Temperature | Temperature at the weather station (C) | 25 |
| Relative Humidity | Relative Humidity at the weather station (%) | 26 |
| Surface Pressure | Pressure at Sydney airport at 06:00 from upper atmospheric data (Hpa) | 19 |
| Mixing Height | Height above the ground at which the potential temperature is equal to the surface potential temperature. | 19 |
| Inversion Height | Height above ground at which temperature stops increasing with height, calculated from upper atmospheric data (m). | 19 |
| Variable | Estimate | Std. Error | z Value | Pr (>|z|) |
|---|---|---|---|---|
| Daytime Model (n = 350) | 10.8% of D | |||
| (Intercept) | −0.924 | 1.424 | −0.649 | 0.516 |
| Wind Speed | −1.687 | 0.845 | −1.997 | 0.046 |
| Temperature | 0.141 | 0.025 | 5.698 | 0.000 |
| Mixing Height | 0.00068 | 0.0003 | 2.064 | 0.039 |
| FireType Wildfire | −3.23 | 1.386 | −2.331 | 0.020 |
| Wind Speed * Fire Type: Wildfire | 1.543 | 0.849 | 1.818 | 0.069 |
| Day Excluding 2019 (n = 73) | 17.1% of D | |||
| (Intercept) | −185.70 | 68.42 | −2.714 | 0.007 |
| Air pressure | 0.179 | 0.066 | 2.722 | 0.006 |
| Temperature | 0.132 | 0.078 | 1.695 | 0.090 |
| Relative Humidity | −0.035 | 0.027 | −1.275 | 0.202 |
| Nighttime Model (n = 429) | 14.0% of D | |||
| (Intercept) | 150.60 | 28.05 | 5.370 | 0.000 |
| Wind Speed | −3.194 | 1.397 | −2.286 | 0.022 |
| FireType Wildfire | −2.755 | 1.185 | −2.326 | 0.020 |
| Air Pressure | −0.144 | 0.028 | −5.233 | 0.000 |
| Mixing Height | −0.001 | 0.000 | −3.088 | 0.002 |
| Inversion Height | 0.001 | 0.000 | 2.454 | 0.014 |
| Log (plume area) | −0.550 | 0.191 | −2.880 | 0.004 |
| Wind Speed:FireType Wildfire | 3.393 | 1.403 | 2.419 | 0.016 |
| Night Excluding 2019 (n = 76) | 15.0% of D | |||
| (Intercept) | 7.705 | 3.188 | 2.417 | 0.016 |
| Wind Speed | −2.881 | 1.445 | −1.993 | 0.046 |
| FireType Wildfire | −1.872 | 1.219 | −1.536 | 0.125 |
| Mixing Height | −0.002 | 0.001 | −1.721 | 0.085 |
| Log (plume area) | −1.335 | 0.584 | −2.285 | 0.022 |
| Wind Speed:FireType Wildfire | 3.344 | 1.513 | 2.210 | 0.027 |
Disclaimer/Publisher’s Note: The statements, opinions and data contained in all publications are solely those of the individual author(s) and contributor(s) and not of MDPI and/or the editor(s). MDPI and/or the editor(s) disclaim responsibility for any injury to people or property resulting from any ideas, methods, instructions or products referred to in the content. |
© 2023 by the authors. Licensee MDPI, Basel, Switzerland. This article is an open access article distributed under the terms and conditions of the Creative Commons Attribution (CC BY) license (https://creativecommons.org/licenses/by/4.0/).
Share and Cite
Price, O.F.; Rahmani, S.; Samson, S. Particulate Levels Underneath Landscape Fire Smoke Plumes in the Sydney Region of Australia. Fire 2023, 6, 86. https://doi.org/10.3390/fire6030086
Price OF, Rahmani S, Samson S. Particulate Levels Underneath Landscape Fire Smoke Plumes in the Sydney Region of Australia. Fire. 2023; 6(3):86. https://doi.org/10.3390/fire6030086
Chicago/Turabian StylePrice, Owen F., Simin Rahmani, and Stephanie Samson. 2023. "Particulate Levels Underneath Landscape Fire Smoke Plumes in the Sydney Region of Australia" Fire 6, no. 3: 86. https://doi.org/10.3390/fire6030086
APA StylePrice, O. F., Rahmani, S., & Samson, S. (2023). Particulate Levels Underneath Landscape Fire Smoke Plumes in the Sydney Region of Australia. Fire, 6(3), 86. https://doi.org/10.3390/fire6030086

