The Interaction between a Liquid Combustion Front and a Fire Barrier Made of CO2 Hydrate
Abstract
1. Introduction
2. Experimental Technique
- the channel was filled with combustible liquids with varying initial volumes;
- gas hydrate (granulated powder or tablet) was taken out of a Dewar vessel, weighed on an electronic balance controlling for the holder mass, and then poured into the marked zone of the working channel to make a fire barrier;
- using a gas burner, the liquid was ignited at the left end of the channel;
- using fast-response thermocouples and a high-speed camera, the liquid combustion front propagation to the fire barrier was recorded;
- depending on the experimental conditions, the flame quenching was then recorded after contact with the fire barrier or passing through it;
- the recording of the key characteristics of the process stopped after the complete flame extinction.
3. Experimental Results and Discussion
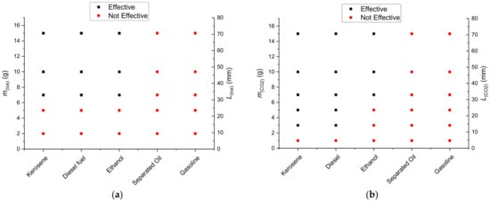
- Kerosene. A fire barrier made of ice effectively contained the fire and slowed down the combustion front. The necessary and sufficient mass of ice for impeding the flame front propagation was 7 g. The ice-melting front propagated quite monotonously in the experiment. The resulting water filled the entire width of the working channel and further displaced the combustion front. When the mass of ice was about 5 g, the water failed to fill the whole width of the channel, so the flame front passed through the fire barrier. It is also important to note that a fire barrier made of water with similar properties to the one produced from ice melting also effectively impedes the combustion front propagation.
- Gasoline. Ice-based fire barriers did not slow down the gasoline combustion front. The combustion front propagation was accompanied by the ignition of gasoline vapors. For this reason, an effective fire barrier should be long enough to block not only the combustible liquid but also vapors over the gasoline surface.
- Diesel fuel. Ice as a fire barrier exhibited high efficiency. Just as with kerosene, the necessary and sufficient mass of ice for impeding the flame front propagation was 7 g. All the processes were also similar to those detailed earlier in the experiments with kerosene;
- Alcohol. Ice in a fire barrier stopped the flame effectively. The necessary and sufficient mass of ice for impeding the flame front propagation was 7 g. Unlike in the experiments with kerosene and Diesel fuel, the combustion front was located directly against the fire barrier. The water formed as a result of ice melting did not displace the combustible liquid but mixed with it, somewhat reducing the combustion intensity. In the case of alcohol, ice was effective if it did not melt until the full burnout of the combustible liquid before the fire barrier. Otherwise, the flame front could pass through the fire barrier.
- Separated oil. Ice showed low efficiency as the main substance for a fire barrier in the experiments with separated oil. Just as with gasoline, light fractions in the composition of separated oil clearly affected the flame front propagation. The flame front reached the fire barrier and dwelt there for 2–5 s; after that, oil vapors ignited behind the fire barrier and the combustion front passed through it.
4. Mathematical Modeling
4.1. Physical Problem Statement
4.2. Fire Containment by Displacing the Oxidizer from the Combustion Zone
4.3. Stoppage of Flame Propagation Front by a Fire Barrier Made of Carbon Dioxide Hydrate
4.4. Ratio of Liquid Fuel Combustion Time to CO2 Hydrate Dissociation Time and to Water Film Evaporation Time
5. Conclusions
Supplementary Materials
Author Contributions
Funding
Institutional Review Board Statement
Informed Consent Statement
Data Availability Statement
Conflicts of Interest
References
- Li, Y.; Meng, D.; Yang, L.; Shuai, J. Experimental study on the burning rate of continuously released spill fire on open surface with measurement of burning fuel thickness. Case Stud. Therm. Eng. 2022, 36, 102217. [Google Scholar] [CrossRef]
- Liu, T.; Yin, X.-Y.; Liu, Y.-C.; Tang, Y.; Huang, A.-C.; Dong, X.-L.; Liu, Y.-J. Influence of Water Mist Temperature Approach on Fire Extinguishing Effect of Different Pool Fires. Processes 2022, 10, 1549. [Google Scholar] [CrossRef]
- Wang, Z.; Xiong, Y.; Cheng, X.; Liu, M. Experimental study on the flame propagation characteristics of heavy oil oxy-fuel combustion. J. Energy Inst. 2019, 92, 1630–1640. [Google Scholar] [CrossRef]
- Wang, X.; Chen, Q.; Ying, Y.; Liu, D. Effects of n-Butanol Addition on the Combustion Characteristics of n-Heptane Counterflow Diffusion Flame at Elevated Pressure. Fire 2022, 5, 154. [Google Scholar] [CrossRef]
- Sun, X.; Huang, H.; Zhao, J.; Song, G. Experimental Study of the Effect of Slope on the Spread and Burning Characteristics of a Continuous Oil Spill Fire. Fire 2022, 5, 112. [Google Scholar] [CrossRef]
- Liu, C.; Ding, L.; Jangi, M.; Ji, J.; Yu, L.; Wan, H. Experimental study of the effect of ullage height on flame characteristics of pool fires. Combust. Flame 2020, 216, 245–255. [Google Scholar] [CrossRef]
- Lin, Y.; Delichatsios, M.A.; Zhang, X.; Hu, L. Experimental study and physical analysis of flame geometry in pool fires under relatively strong cross flows. Combust. Flame 2019, 205, 422–433. [Google Scholar] [CrossRef]
- Li, G.; Du, Y.; Liang, J.; Wang, S.; Wang, B.; Qi, S. Characteristics of gasoline–air mixture explosions with different obstacle configurations. J. Energy Inst. 2018, 91, 194–202. [Google Scholar] [CrossRef]
- Zhao, R.; Liu, D. Chemical effects of carbon dioxide in ethylene, ethanol and DME counter-flow diffusion flames: An experimental reference for the fictitious CO2 flame. J. Energy Inst. 2022, 100, 245–258. [Google Scholar] [CrossRef]
- Zhao, S.; Liu, B.; Zhao, B.; Li, T.; Shu, Q. Numerical Simulation of Ethanol Air Diffusion Flame Quenching under Transverse AC Electric Field. Fire 2022, 5, 196. [Google Scholar] [CrossRef]
- Liu, C.; Wan, H.; Ji, J.; Gao, Z.; Lin, S.; Wang, L.L. Flame spread characteristics and a multi-cylinder radiation model for diesel tray fires against a sidewall. Int. J. Therm. Sci. 2019, 139, 433–439. [Google Scholar] [CrossRef]
- Ding, F.; Kang, W.; Yan, L.; Xu, Z.; Guo, X. Influence of gas–liquid ratio on the fire-extinguishing efficiency of compressed gas protein foam in diesel pool fire. J. Therm. Anal. Calorim. 2021, 146, 1465–1472. [Google Scholar] [CrossRef]
- Fukumoto, K.; Wen, J.X.; Li, M.; Ding, Y.; Wang, C. Numerical simulation of small pool fires incorporating liquid fuel motion. Combust. Flame 2020, 213, 441–454. [Google Scholar] [CrossRef]
- Lei, J.; Huang, P.; Liu, N.; Zhang, L. On the flame width of turbulent fire whirls. Combust. Flame 2022, 244, 112285. [Google Scholar] [CrossRef]
- Kim, W.; Anraku, S.; Endo, T.; Choi, K. Flammability and flame propagation of propane/L-leucine powder hybrid mixtures. Powder Technol. 2020, 372, 694–702. [Google Scholar] [CrossRef]
- Tian, D.; Xu, L.; Liu, D. Effects of Carbon Chain Length on N-Alkane Counterflow Cool Flames: A Kinetic Analysis. Fire 2022, 5, 170. [Google Scholar] [CrossRef]
- Zou, Y.; Li, K.; Yuan, B.; Chen, X.; Fan, A.; Sun, Y.; Shang, S.; Chen, G.; Huang, C.; Dai, H.; et al. Inspiration from a thermosensitive biomass gel: A novel method to improving the stability of core-shell “dry water” fire extinguishing agent. Powder Technol. 2019, 356, 383–390. [Google Scholar] [CrossRef]
- Huang, Y.; Li, Y.; Dong, B.; Li, J. Predicting the main geometrical features of horizontal rectangular source fuel jet fires. J. Energy Inst. 2018, 91, 1153–1163. [Google Scholar] [CrossRef]
- De Cachinho Cordeiro, I.M.; Liu, H.; Yuen, A.C.Y.; Chen, T.B.Y.; Li, A.; Wang, C.; Cao, R.; Yeoh, G.H. On the Large Eddy Simulation Modelling of Water Suppression Systems Droplet Impact and Coverage Area. Fire 2022, 5, 165. [Google Scholar] [CrossRef]
- Derosa, M.I.; Litton, C.D. Development and Evaluation of Fire Barriers to Reduce Fire Hazards on large mining Equipment. Fire Technol. 2013, 49, 253–268. [Google Scholar] [CrossRef]
- Jia, J.; Tian, X.; Wang, F. Research on smoke control for an underground mall fire, based on smoke barrier and mechanical smoke exhaust system. Sci. Rep. 2022, 12, 13071. [Google Scholar] [CrossRef] [PubMed]
- Tang, Z.; Xu, G.; Yang, S.; Deng, J.; Xu, Q.; Chang, P. Fire-retardant foam designed to control the spontaneous combustion and the fire of coal: Flame retardant and extinguishing properties. Powder Technol. 2021, 384, 258–266. [Google Scholar] [CrossRef]
- Lin, S.; Liu, Z.; Qian, J.; Gu, Z.; Ali, M.; Zhao, H. Laboratory investigation of powder deflagration flame propagation and quenching behaviors suppressed by ZrO2 ceramic foam. Powder Technol. 2021, 388, 17–25. [Google Scholar] [CrossRef]
- Tang, Y.; Wang, H. Development of a novel bentonite–acrylamide superabsorbent hydrogel for extinguishing gangue fire hazard. Powder Technol. 2018, 323, 486–494. [Google Scholar] [CrossRef]
- Ma, L.; Huang, X.; Sheng, Y.; Liu, X.; Wei, G. Experimental study on thermosensitive hydrogel used to extinguish class a fire. Polymers 2021, 13, 367. [Google Scholar] [CrossRef] [PubMed]
- Hinnant, K.M.; Giles, S.L.; Smith, E.P.; Snow, A.W.; Ananth, R. Characterizing the Role of Fluorocarbon and Hydrocarbon Surfactants in Firefighting-Foam Formulations for Fire-Suppression. Fire Technol. 2020, 56, 1413–1441. [Google Scholar] [CrossRef]
- Hinnant, K.M.; Giles, S.L.; Ananth, R. Measuring fuel transport through fluorocarbon and fluorine-free firefighting foams. Fire Saf. J. 2017, 91, 653–661. [Google Scholar] [CrossRef]
- Conroy, M.W.; Fleming, J.W.; Ananth, R. Surface Cooling of a Pool Fire by Aqueous Foams. Combust. Sci. Technol. 2017, 189, 806–840. [Google Scholar] [CrossRef]
- Sheng, Y.; Li, Y.; Yan, C.; Peng, Y.; Ma, L.; Wang, Q. Influence of nanoparticles on the foam thermal stability of mixtures of short-chain fluorocarbon and hydrocarbon surfactants. Powder Technol. 2022, 403, 117420. [Google Scholar] [CrossRef]
- Dagan, Y.; Bar-Kohany, T. Flame propagation through three-phase methane-hydrate particles. Combust. Flame 2018, 193, 25–35. [Google Scholar] [CrossRef]
- Rossi, F.; Gambelli, A.M.; Sharma, D.K.; Castellani, B.; Nicolini, A.; Castaldi, M.J. Experiments on methane hydrates formation in seabed deposits and gas recovery adopting carbon dioxide replacement strategies. Appl. Therm. Eng. 2019, 148, 371–381. [Google Scholar] [CrossRef]
- Kang, K.C.; Linga, P.; Park, K.N.; Choi, S.J.; Lee, J.D. Seawater desalination by gas hydrate process and removal characteristics of dissolved ions (Na+, K+, Mg2+, Ca2+, B3+, Cl−, SO42−). Desalination 2014, 353, 84–90. [Google Scholar] [CrossRef]
- Liu, N.; Meng, F.; Chen, L.; Yang, L.; Liu, D. Investigating the effects of MWCNT-HB on gas storage performance of CO2 hydrate. Fuel 2022, 316, 123289. [Google Scholar] [CrossRef]
- Zhang, X.; Wang, J.; Yang, H.; Li, J.; Li, Y.; Wu, Q. Formation and storage characteristics of CO2 hydrate in porous media: Effect of liquefaction amount on the formation rate, accumulation amount. Appl. Therm. Eng. 2022, 214, 118747. [Google Scholar] [CrossRef]
- Prah, B.; Yun, R. CO2 hydrate slurry transportation in carbon capture and storage. Appl. Therm. Eng. 2018, 128, 653–661. [Google Scholar] [CrossRef]
- Sato, T.; Takeya, S.; Nagashima, H.D.; Ohmura, R. Preservation of carbon dioxide clathrate hydrate coexisting with sucrose under domestic freezer conditions. J. Food Eng. 2014, 120, 69–74. [Google Scholar] [CrossRef]
- Choi, J.W.; Kim, S.; Kang, Y.T. CO2 hydrate cooling system and LCC analysis for energy transportation application. Appl. Therm. Eng. 2015, 91, 11–18. [Google Scholar] [CrossRef]
- Liu, R.; Gao, F.; Liang, K.; Yuan, Z.; Ruan, C.; Wang, L.; Yang, S. Experimental study on the correlation between rapid formation of gas hydrate and diffusion of guest molecules. Appl. Therm. Eng. 2019, 154, 393–399. [Google Scholar] [CrossRef]
- Wei, J.; Cheng, Y.; Yan, C.; Li, Q.; Han, S.; Ansari, U. Decomposition prevention through thermal sensitivity of hydrate formations around wellbore. Appl. Therm. Eng. 2019, 159, 113921. [Google Scholar] [CrossRef]
- Hatakeyama, T.; Aida, E.; Yokomori, T.; Ohmura, R.; Ueda, T. Fire extinction using carbon dioxide hydrate. Ind. Eng. Chem. Res. 2009, 48, 4083–4087. [Google Scholar] [CrossRef]
- Lv, D.; Tan, W.; Zhu, G.; Liu, L. Gasoline fire extinguishing by 0.7 MPa water mist with multicomponent additives driven by CO2. Process Saf. Environ. Prot. 2019, 129, 168–175. [Google Scholar] [CrossRef]
- Liu, C. Fire fighting of wind extinguisher with CO2 gas assisted. Appl. Mech. Mater. 2012, 130–134, 1054–1057. [Google Scholar] [CrossRef]
- Tran, M.V.; Scribano, G.; Chong, C.T.; Ng, J.H.; Ho, T.X. Numerical and experimental study of the influence of CO2 dilution on burning characteristics of syngas/air flame. J. Energy Inst. 2019, 92, 1379–1387. [Google Scholar] [CrossRef]
- Sugahara, A.; Nakano, H.; Yokomori, T.; Ohmura, R.; Ueda, T. Effect of fuel boiling point of pool flame for the flame extinction by CO2 hydrate. In Proceedings of the ASPACC 2015—10th Asia-Pacific Conference on Combustion, Beijing, China, 19–22 July 2015. [Google Scholar]
- GOST 32513-2013; Automotive Fuels. Unleaded petrol. Specifications: Minsk, Belarus, 2015.
- GOST 10227-86; Jetfuels. Specifications: Minsk, Belarus, 1987.
- GOST 305-82; Diesel Fuel. Specifications: Minsk, Belarus, 1982.
- GOST 5962-2013; Rectified Ethyl Alcohol from Edible Raw Material. Specifications: Minsk, Belarus, 2013.
- Gaidukova, O.; Misyura, S.; Donskoy, I.; Morozov, V.; Volkov, R. Pool Fire Suppression Using CO2 Hydrate. Energies 2022, 15, 9585. [Google Scholar] [CrossRef]
- Misyura, S.Y.; Donskoy, I.G. Improving the efficiency of storage of natural and artificial methane hydrates. J. Nat. Gas Sci. Eng. 2022, 97, 104324. [Google Scholar] [CrossRef]
- Antonov, D.V.; Donskoy, I.G.; Gaidukova, O.S.; Misyura, S.Y.; Morozov, V.S.; Nyashina, G.S.; Strizhak, P.A. Dissociation characteristics and anthropogenic emissions from the combustion of double gas hydrates. Environ. Res. 2022, 214, 113990. [Google Scholar] [CrossRef] [PubMed]
- Misyura, S.Y.; Donskoy, I.G. Co-modeling of methane hydrate dissociation and combustion in a boundary layer. Combust. Flame 2022, 238, 111912. [Google Scholar] [CrossRef]
- Lackner, M.; Winter, F.; Agarwal, A.K. Vol.1: Fundamentals and safety. In Handbook of Combustion; Wiley-VCH: Weinheim, Germany, 2010. [Google Scholar]
- Misyura, S.Y.; Donskoy, I.G.; Manakov, A.Y.; Morozov, V.S.; Strizhak, P.A.; Skiba, S.S.; Sagidullin, A.K. Studying the influence of key parameters on the methane hydrate dissociation in order to improve the storage efficiency. J. Energy Storage 2021, 44, 103288. [Google Scholar] [CrossRef]
- Misyura, S.Y. Dissociation of various gas hydrates (methane hydrate, double gas hydrates of methane-propane and methane-isopropanol) during combustion: Assessing the combustion efficiency. Energy 2020, 206, 118120. [Google Scholar] [CrossRef]
- Grigoriev, V.A.; Zorin, V.M. Theoretical bases of heat engineering. In Thermal Engineering Experiment; Energoatom: Moscow, Russia, 1988. [Google Scholar]
- Kutateladze, S.S.; Leont’ev, A.I. Heat Transfer, Mass Transfer, and Friction in Turbulent Boundary Layers; Hemisphere: New York, NY, USA, 1989. [Google Scholar]
- Antonov, D.V.; Donskoy, I.G.; Gaidukova, O.S.; Misyura, S.Y.; Morozov, V.S.; Nyashina, G.S.; Strizhak, P.A. Dissociation and combustion of mixed methane-ethane hydrate. Fuel 2022, 325, 124771. [Google Scholar] [CrossRef]
- Misyura, S.Y. Non-stationary combustion of natural and artificial methane hydrate at heterogeneous dissociation. Energy 2019, 181, 589–602. [Google Scholar] [CrossRef]


















| General Properties | ||||||
|---|---|---|---|---|---|---|
| Type of Fuel | Gasoline | Kerosene | Diesel Fuel | Alcohol | Used Motor Oil | Petroleum |
| Property | ||||||
| Kinematic viscosity, mm2/s at 20 °C | 0.7 | 1.3 | 4 | 1.52 | 9.7 | 7.57 |
| Density at 20 °C, kg/cm3 | 750 | 780 | 850 | 830 | 896 | 849.2 |
| Mass fraction of sulfur, % | 0.05 | 0.2 | 0.6 | – | 2.5 | 0.95 |
| Autoignition temperature, °C | 246 | 216 | 210 | 400 | 210 | 25 |
| Flash temperature in open crucible, °C | −43 | 57 | 62 | 13 | 223 | 65 |
| Individual properties | ||||||
| Octane number | 91 | – | – | – | – | – |
| Cetane number | – | – | 45 | – | – | – |
| Viscosity index | – | – | – | – | 173 | – |
| Mass fraction of water, wt% | – | – | – | – | – | 2.37 |
| Volume fraction of ethyl alcohol, % | – | – | – | 96 | – | – |
| Oxidation stability of gasoline, min | 360 | – | – | – | – | – |
| Existent gum content, mg/100 cm3 | 5 | – | 30 | – | – | – |
| Fuel | Vapor Combustion Front Velocities during the Ignition, m/s | Liquid Burnout Front Velocities, m/s | Flame Height during the Combustion of Flammable Liquids, cm |
|---|---|---|---|
| Kerosene | 1 | 0.9 | 4–6 |
| Gasoline | 1.4 | 1.2 | 6–8 |
| Separated oil | 1.8 | 1.5 | 4–7 |
| Diesel fuel | 1.2 | 0.1 | 3–5 |
| Alcohol | 1.3 | 1.1 | 4–6 |
Disclaimer/Publisher’s Note: The statements, opinions and data contained in all publications are solely those of the individual author(s) and contributor(s) and not of MDPI and/or the editor(s). MDPI and/or the editor(s) disclaim responsibility for any injury to people or property resulting from any ideas, methods, instructions or products referred to in the content. |
© 2023 by the authors. Licensee MDPI, Basel, Switzerland. This article is an open access article distributed under the terms and conditions of the Creative Commons Attribution (CC BY) license (https://creativecommons.org/licenses/by/4.0/).
Share and Cite
Gaidukova, O.; Donskoy, I.; Misyura, S.; Morozov, V.; Volkov, R. The Interaction between a Liquid Combustion Front and a Fire Barrier Made of CO2 Hydrate. Fire 2023, 6, 124. https://doi.org/10.3390/fire6030124
Gaidukova O, Donskoy I, Misyura S, Morozov V, Volkov R. The Interaction between a Liquid Combustion Front and a Fire Barrier Made of CO2 Hydrate. Fire. 2023; 6(3):124. https://doi.org/10.3390/fire6030124
Chicago/Turabian StyleGaidukova, Olga, Igor Donskoy, Sergey Misyura, Vladimir Morozov, and Roman Volkov. 2023. "The Interaction between a Liquid Combustion Front and a Fire Barrier Made of CO2 Hydrate" Fire 6, no. 3: 124. https://doi.org/10.3390/fire6030124
APA StyleGaidukova, O., Donskoy, I., Misyura, S., Morozov, V., & Volkov, R. (2023). The Interaction between a Liquid Combustion Front and a Fire Barrier Made of CO2 Hydrate. Fire, 6(3), 124. https://doi.org/10.3390/fire6030124

