Shoot Flammability Patterns in Native and Exotic Street Tree Species at the Wildland–Urban Interface of Eastern Australia
Abstract
:1. Introduction
2. Materials and Methods
2.1. Study Region and Species
2.2. Shoot Collection
2.3. Measurement of Shoot Flammability and Shoot Traits
2.4. Data Analysis
3. Results
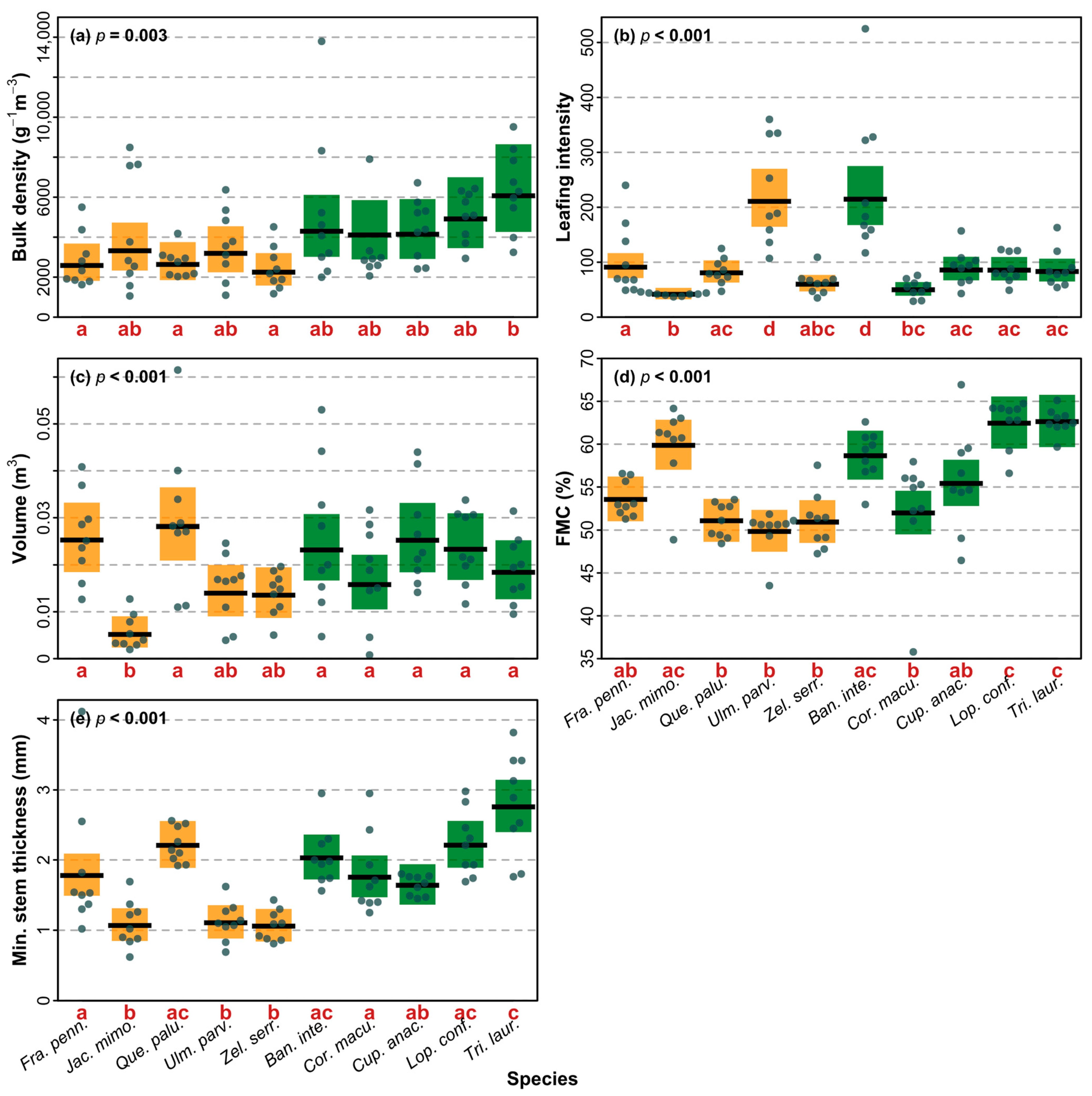
3.1. Comparison of Shoot Flammability Attributes among Species
3.2. Relationships between Shoot Traits and Shoot Flammability
3.3. Shoot Flammability Differences between Native and Exotic Species
4. Discussion
4.1. Shoot Flammability Differences between Native and Exotic Species
4.2. The Role of Shoot Traits in Shaping Shoot Flammability Patterns
4.3. Native–Exotic Differences and Similarities in Shoot Flammability
5. Conclusions
Supplementary Materials
Author Contributions
Funding
Data Availability Statement
Acknowledgments
Conflicts of Interest
References
- Radeloff, V.C.; Hammer, R.B.; Stewart, S.I.; Fried, J.S.; Holcomb, S.S.; McKeefry, J.F. The wildland–urban interface in the United States. Ecol. Appl. 2005, 15, 799–805. [Google Scholar] [CrossRef]
- McWethy, D.B.; Schoennagel, T.; Higuera, P.E.; Krawchuk, M.; Harvey, B.J.; Metcalf, E.C.; Schultz, C.; Miller, C.; Metcalf, A.L.; Buma, B. Rethinking resilience to wildfire. Nat. Sustain. 2019, 2, 797–804. [Google Scholar] [CrossRef]
- Haight, R.G.; Cleland, D.T.; Hammer, R.B.; Radeloff, V.C.; Rupp, T.S. Assessing fire risk in the wildland-urban interface. J. For. 2004, 102, 41–48. [Google Scholar]
- Caton, S.E.; Hakes, R.S.P.; Gorham, D.J.; Zhou, A.; Gollner, M.J. Review of pathways for building fire spread in the wildland urban interface part I: Exposure conditions. Fire Technol. 2017, 53, 429–473. [Google Scholar] [CrossRef]
- Pincetl, S.; Gillespie, T.; Pataki, D.E.; Saatchi, S.; Saphores, J.-D. Urban tree planting programs, function or fashion? Los Angeles and urban tree planting campaigns. Geo J. 2013, 78, 475–493. [Google Scholar] [CrossRef]
- Wang, Y.; Akbari, H. The effects of street tree planting on Urban Heat Island mitigation in Montreal. Sustain. Cities Soc. 2016, 27, 122–128. [Google Scholar] [CrossRef]
- Nguyen, V.D.; Roman, L.A.; Locke, D.H.; Mincey, S.K.; Sanders, J.R.; Fichman, E.S.; Duran-Mitchell, M.; Tobing, S.L. Branching out to residential lands: Missions and strategies of five tree distribution programs in the US. Urban For. Urban Green. 2017, 22, 24–35. [Google Scholar] [CrossRef]
- Gibbons, P.; van Bommel, L.; Gill, A.M.; Cary, G.J.; Driscoll, D.A.; Bradstock, R.A.; Knight, E.; Moritz, M.A.; Stephens, S.L.; Lindenmayer, D.B. Land management practices associated with house loss in wildfires. PLoS ONE 2012, 7, e29212. [Google Scholar] [CrossRef] [PubMed]
- Villaseñor, N.R.; Blanchard, W.; Lindenmayer, D.B. Decline of forest structural elements across forest–urban interfaces is stronger with high rather than low residential density. Basic Appl. Ecol. 2016, 17, 418–427. [Google Scholar] [CrossRef]
- Price, O.F.; Whittaker, J.; Gibbons, P.; Bradstock, R. Comprehensive examination of the determinants of damage to houses in two wildfires in eastern Australia in 2013. Fire 2021, 4, 44. [Google Scholar] [CrossRef]
- Willis, K.J.; Petrokofsky, G. The natural capital of city trees. Science 2017, 356, 374–376. [Google Scholar] [CrossRef]
- Turner-Skoff, J.B.; Cavender, N. The benefits of trees for livable and sustainable communities. Plants People Planet 2019, 1, 323–335. [Google Scholar] [CrossRef]
- Fadaee, S. The permaculture movement in India: A social movement with Southern characteristics. Soc. Mov. Stud. 2019, 18, 720–734. [Google Scholar] [CrossRef]
- Holmgren, D. Permaculture: Principles & Pathways beyond Sustainability; Holmgren Design Services: Hepburn, Australia, 2006. [Google Scholar]
- Bodnaruk, E.W.; Kroll, C.N.; Yang, Y.; Hirabayashi, S.; Nowak, D.J.; Endreny, T.A. Where to plant urban trees? A spatially explicit methodology to explore ecosystem service tradeoffs. Landsc. Urban Plan. 2017, 157, 457–467. [Google Scholar] [CrossRef]
- Roman, L.A.; Conway, T.M.; Eisenman, T.S.; Koeser, A.K.; Ordóñez Barona, C.; Locke, D.H.; Jenerette, G.D.; Östberg, J.; Vogt, J. Beyond ‘trees are good’: Disservices, management costs, and tradeoffs in urban forestry. Ambio 2021, 50, 615–630. [Google Scholar] [CrossRef] [PubMed]
- Kirkpatrick, J.B.; Davison, A.; Daniels, G.D. Resident attitudes towards trees influence the planting and removal of different types of trees in eastern Australian cities. Landsc. Urban Plan. 2012, 107, 147–158. [Google Scholar] [CrossRef]
- Mullaney, J.; Lucke, T.; Trueman, S.J. A review of benefits and challenges in growing street trees in paved urban environments. Landsc. Urban Plan. 2015, 134, 157–166. [Google Scholar] [CrossRef]
- Murray, B.R.; Hawthorne, T.; Curran, T.J.; Krix, D.W.; Wallace, M.I.; Young, K.; Murray, M.L.; Morley, E.; Huber-Smith, N.; Webb, J.K. Shoot flammability patterns among plant species of the wildland–urban interface in the fire-prone Greater Blue Mountains World Heritage Area. Int. J. Wildland Fire 2023, 32, 1119–1134. [Google Scholar] [CrossRef]
- Mell, W.E.; Manzello, S.L.; Maranghides, A.; Butry, D.; Rehm, R.G. The wildland–urban interface fire problem–current approaches and research needs. Int. J. Wildland Fire 2010, 19, 238–251. [Google Scholar] [CrossRef]
- Curran, T.J.; Perry, G.L.W.; Wyse, S.V.; Alam, M.A. Managing fire and biodiversity in the wildland-urban interface: A role for green firebreaks. Fire 2018, 1, 3. [Google Scholar] [CrossRef]
- Gibbons, P.; Gill, A.M.; Shore, N.; Moritz, M.A.; Dovers, S.; Cary, G.J. Options for reducing house-losses during wildfires without clearing trees and shrubs. Landsc. Urban Plan. 2018, 174, 10–17. [Google Scholar] [CrossRef]
- Murray, B.R.; Martin, L.J.; Brown, C.; Krix, D.W.; Phillips, M.L. Selecting low-flammability plants as green firebreaks within sustainable urban garden design. Fire 2018, 1, 15. [Google Scholar] [CrossRef]
- Murray, B.R.; Brown, C.; Murray, M.L.; Krix, D.W.; Martin, L.J.; Hawthorne, T.; Wallace, M.I.; Potvin, S.A.; Webb, J.K. An integrated approach to identify low-flammability plant species for green firebreaks. Fire 2020, 3, 9. [Google Scholar] [CrossRef]
- Cui, X.; Alam, M.A.; Perry, G.L.W.; Paterson, A.M.; Wyse, S.V.; Curran, T.J. Green firebreaks as a management tool for wildfires: Lessons from China. J. Environ. Manag. 2019, 233, 329–336. [Google Scholar] [CrossRef] [PubMed]
- Corbett, L. Safer Gardens: Plant Flammability and Planning for Fire; Australian Scholarly Publishing: Victoria, Australia, 2021. [Google Scholar]
- Drew-Smythe, J.J.; Davila, Y.C.; McLean, C.M.; Hingee, M.C.; Murray, M.L.; Webb, J.K.; Krix, D.W.; Murray, B.R. Community perceptions of ecosystem services and disservices linked to urban tree plantings. Urban For. Urban Green. 2023, 82, 127870. [Google Scholar] [CrossRef]
- Santacruz-García, A.C.; Bravo, S.; del Corro, F.; Ojeda, F. A comparative assessment of plant flammability through a functional approach: The case of woody species from Argentine Chaco region: A comparative assessment of plant flammability. Austral Ecol. 2019, 44, 1416–1429. [Google Scholar] [CrossRef]
- Potts, E.; Tng, D.; Apgaua, D.; Curran, T.J.; Engert, J.; Laurance, S.G.W. Growth form and functional traits influence the shoot flammability of tropical rainforest species. For. Ecol. Manag. 2022, 522, 120485. [Google Scholar] [CrossRef]
- Wyse, S.V.; Perry, G.L.W.; O’Connell, D.M.; Holland, P.S.; Wright, M.J.; Hosted, C.L.; Whitelock, S.L.; Geary, I.J.; Maurin, K.J.L.; Curran, T.J. A quantitative assessment of shoot flammability for 60 tree and shrub species supports rankings based on expert opinion. Int. J. Wildland Fire 2016, 25, 466–477. [Google Scholar] [CrossRef]
- Padullés Cubino, J.; Buckley, H.L.; Day, N.J.; Pieper, R.; Curran, T.J. Community-level flammability declines over 25 years of plant invasion in grasslands. J. Ecol. 2018, 106, 1582–1594. [Google Scholar] [CrossRef]
- Cui, X.; Paterson, A.M.; Alam, M.A.; Wyse, S.V.; Marshall, K.; Perry, G.L.W.; Curran, T.J. Shoot-level flammability across the Dracophyllum (Ericaceae) phylogeny: Evidence for flammability being an emergent property in a land with little fire. New Phytol. 2020, 228, 95–105. [Google Scholar] [CrossRef] [PubMed]
- Burger, N.; Bond, W.J. Flammability traits of Cape shrubland species with different post-fire recruitment strategies. S. Afr. J. Bot. 2015, 101, 40–48. [Google Scholar] [CrossRef]
- Calitz, W.; Potts, A.J.; Cowling, R.M. Investigating species-level flammability across five biomes in the Eastern Cape, South Africa. S. Afr. J. Bot. 2015, 101, 32–39. [Google Scholar] [CrossRef]
- Kraaij, T.; Msweli, S.T.; Potts, A.J. Fuel trait effects on flammability of native and invasive alien shrubs in coastal fynbos and thicket (Cape Floristic Region). PeerJ 2022, 10, e13765. [Google Scholar] [CrossRef] [PubMed]
- Krix, D.W.; Murray, B.R. A Predictive Model of Leaf Flammability Using Leaf Traits and Radiant Heat Flux for Plants of Fire-Prone Dry Sclerophyll Forest. Forests 2022, 13, 152. [Google Scholar] [CrossRef]
- Central Coast Council. About Council. Available online: https://www.centralcoast.nsw.gov.au/council/about-council (accessed on 16 March 2023).
- Australian Bureau of Statistics. Greater Sydney—2021 Census All Persons Quickstats. Available online: https://abs.gov.au/census/find-census-data/quickstats/2021/1GSYD (accessed on 16 June 2023).
- Central Coast Council. Flora and Fauna Guidelines. Available online: https://cdn.centralcoast.nsw.gov.au/sites/default/files/Central_Coast_Council_Flora_and_Fauna_Guidelines_July_2019.pdf (accessed on 16 March 2023).
- Central Coast Bush Fire Management Committee. Bush Fire Risk Management Plan 2020–2025. Available online: https://ccbfmc.org/wp-content/uploads/2021/02/Central-Coast-Bushfire-Risk-Management-Plan-2020-v2-Doc-only.pdf (accessed on 16 March 2023).
- NSW Government. Final Report of the NSW Bushfire Inquiry. NSW Government—Premier and Cabinet. Available online: https://www.dpc.nsw.gov.au/assets/dpc-nsw-gov-au/publications/NSW-Bushfire-Inquiry-1630/Final-Report-of-the-NSW-Bushfire-Inquiry.pdf (accessed on 16 March 2023).
- Australian Bureau of Meteorology. Maps of Average Conditions. Available online: http://www.bom.gov.au/climate/averages/maps.shtml (accessed on 16 June 2023).
- Pena, J.C.C.; Martello, F.; Ribeiro, M.C.; Armitage, R.A.; Young, R.J.; Rodrigues, M. Street trees reduce the negative effects of urbanization on birds. PLoS ONE 2017, 12, e0174484. [Google Scholar] [CrossRef] [PubMed]
- Jaureguiberry, P.; Bertone, G.; Diaz, S. Device for the standard measurement of shoot flammability in the field. Austral Ecol. 2011, 36, 821–829. [Google Scholar] [CrossRef]
- Pérez-Harguindeguy, N.; Diaz, S.; Garnier, E.; Lavorel, S.; Poorter, H.; Jaureguiberry, P.; Bret-Harte, M.S.; Cornwell, W.K.; Craine, J.M.; Gurvich, D.E.; et al. New handbook for standardised measurement of plant functional traits worldwide. Aust. Bot. 2013, 61, 167–234. [Google Scholar] [CrossRef]
- Martin, R.E.; Gordon, D.A.; Gutierrez, M.A.; Lee, D.S.; Molina, D.M.; Schroeder, R.A.; Sapsis, D.B.; Stephens, S.L.; Chambers, M. Assessing the Flammability of Domestic and Wildland Vegetation. In Proceedings of the 12th Conference on Fire and Forest Meteorology, Jekyll Island, Georgia, 26–28 October 1993; Bethesda: Rockville, MD, USA, 1994; pp. 130–137. [Google Scholar]
- Alam, M.A.; Wyse, S.V.; Buckley, H.L.; Perry, G.L.W.; Sullivan, J.J.; Mason, N.W.H.; Buxton, R.; Richardson, S.J.; Curran, T.J. Shoot flammability is decoupled from leaf flammability, but controlled by leaf functional traits. J. Ecol. 2020, 108, 641–653. [Google Scholar] [CrossRef]
- Wyse, S.V.; Perry, G.L.W.; Curran, T.J. Shoot-Level Flammability of Species Mixtures is Driven by the Most Flammable Species: Implications for Vegetation-Fire Feedbacks Favouring Invasive Species. Ecosystems 2018, 21, 886–900. [Google Scholar] [CrossRef]
- Cui, X.; Paterson, A.M.; Perry, G.L.W.; Wyse, S.V.; Alam, M.A.; Huang, C.; Zhou, S.; Xiao, L.; Lai, C.; He, F.; et al. Intraspecific variation in shoot flammability in Dracophyllum rosmarinifolium is not predicted by habitat environmental conditions. For. Ecosyst. 2022, 9, 100017–100185. [Google Scholar] [CrossRef]
- Etlinger, M.G.; Beall, F.C. Development of a laboratory protocol for fire performance of landscape plants. Int. J. Wildland Fire 2004, 13, 479. [Google Scholar] [CrossRef]
- Fogarty, L.G. Flammability guide for some common New Zealand native tree and shrub species. In Forest Research Bulletin 197 Forest and Rural Fire Scientific and Technical Series Report 6; Forest Research Institute in association with the New Zealand Fire Service Commission and National Rural Fire Authority: Wellington, New Zealand, 2001; p. 18. [Google Scholar]
- Jir-Ming, C.; Jun-Hsien, Y. The measurement of open propane flame temperature using infrared technique. J. Quant. Spectrosc. Radiat. Transf. 1996, 56, 133–144. [Google Scholar] [CrossRef]
- R Core Team. R: A Language and Environment for Statistical Computing. Available online: https://www.R-project.org/ (accessed on 8 June 2023).
- Fox, J.; Weisberg, S. An {R} Companion to Applied Regression, 3rd ed.; Sage Publications: Thousand Oaks, CA, USA, 2019. [Google Scholar]
- Lenth, R.V. Emmeans: Estimated Marginal Means, aka Least-Squares Means. Available online: https://CRAN.R-project.org/package=emmeans (accessed on 7 June 2023).
- Bates, D.; Mächler, M.; Bolker, B.; Walker, S. Fitting linear mixed-effects models using lme4. J. Stat. Softw. 2015, 67, 1–48. [Google Scholar] [CrossRef]
- Anderson, H.E. Forest fuel ignitibility. Fire Technol. 1970, 6, 312–319. [Google Scholar] [CrossRef]
- Boon, M. The Purple Reign: How the Jacaranda Became the Crown Jewel of Springtime in Sydney. Available online: https://www.timeout.com/sydney/things-to-do/the-purple-reign-how-the-jacaranda-became-the-crown-jewel-of-springtime-in-sydney (accessed on 14 June 2023).
- Sands DP, A.; Hosking, C.M. Ecologically Sustainable Fire Management: An Advisory Code for Brisbane’s Western Suburbs; Moggill Creek Catchment Group (MCCG) and Pullen Pullen Catchments Group: Brisbane, Australia, 2005. [Google Scholar]
- Krix, D.W.; Phillips, M.L.; Murray, B.R. Relationships among leaf flammability attributes and identifying low-leaf-flammability species at the wildland–urban interface. Int. J. Wildland Fire 2019, 28, 295. [Google Scholar] [CrossRef]
- Plucinski, M.P.; Anderson, W.R. Laboratory determination of factors influencing successful point ignition in the litter layer of shrubland vegetation. Int. J. Wildland Fire 2008, 17, 628–637. [Google Scholar] [CrossRef]
- Schwilk, D.W.; Caprio, A.C. Scaling from leaf traits to fire behaviour: Community composition predicts fire severity in a temperate forest. J. Ecol. 2011, 99, 970–980. [Google Scholar] [CrossRef]
- de Magalhaes, R.M.Q.; Schwilk, D.W. Leaf traits and litter flammability: Evidence for non-additive mixture effects in a temperate forest. J. Ecol. 2012, 100, 1153–1163. [Google Scholar] [CrossRef]
- McKemey, M.B.; Rangers, B.; Ens, E.J.; Hunter, J.T.; Ridges, M.; Costello, O.; Reid, N.C.H. Co-producing a fire and seasons calendar to support renewed Indigenous cultural fire management. Austral Ecol. 2021, 46, 1011–1029. [Google Scholar] [CrossRef]








| Species | Common Name | Family | Status |
|---|---|---|---|
| Banksia integrifolia | Coastal banksia | Proteaceae | Native |
| Corymbia maculata | Spotted gum | Myrtaceae | Native |
| Cupaniopsis anacardioides | Tuckeroo | Sapindaceae | Native |
| Fraxinus pennsylvanica | Cimmaron ash | Oleaceae | Exotic |
| Jacaranda mimosifolia | Jacaranda | Bignoniaceae | Exotic |
| Lophostemon confertus | Brush box | Myrtaceae | Native |
| Quercus palustris | Pin oak | Fagaceae | Exotic |
| Tristaniopsis laurina | Water gum | Myrtaceae | Native |
| Ulmus parvifolia | Chinese elm | Ulmaceae | Exotic |
| Zelkova serrata | Japanese zelkova | Ulmaceae | Exotic |
| Mass | BD | Volume | BI | LI | FMC | MinST | MaxST | LA | |
|---|---|---|---|---|---|---|---|---|---|
| Mass | 1 | 0.66 | 0.82 | 0.58 | 0.49 | 0.29 | 0.71 | 0.84 | 0.32 |
| BD | 0.008 | 1 | 0.15 | 0.15 | 0.34 | 0.63 | 0.58 | 0.43 | 0.02 |
| Volume | 0.001 | 0.60 | 1 | 0.74 | 0.46 | −0.17 | 0.44 | 0.83 | 0.38 |
| BI | 0.03 | 0.59 | 0.002 | 1 | 0.77 | −0.35 | 0.03 | 0.66 | −0.10 |
| LI | 0.06 | 0.21 | 0.09 | 0.001 | 1 | −0.03 | 0.18 | 0.53 | −0.43 |
| FMC | 0.29 | 0.01 | 0.54 | 0.20 | 0.91 | 1 | 0.40 | −0.03 | 0.18 |
| MinST | 0.003 | 0.03 | 0.10 | 0.91 | 0.53 | 0.14 | 1 | 0.48 | 0.29 |
| MaxST | 0.001 | 0.11 | 0.001 | 0.007 | 0.04 | 0.93 | 0.07 | 1 | 0.13 |
| LA | 0.25 | 0.93 | 0.16 | 0.73 | 0.11 | 0.51 | 0.29 | 0.65 | 1 |
| Flammability Attribute | Term | SS | DF | F | p |
|---|---|---|---|---|---|
| TTF | Bulk density | 1.84 | 1 | 11.78 | <0.001 |
| Volume | 0.70 | 1 | 4.484 | 0.04 | |
| Leafing intensity | 2.34 | 1 | 15.02 | <0.001 | |
| Species | 19.56 | 9 | 13.921 | <0.001 | |
| Residuals | 12.02 | 77 | |||
| FD | Bulk density | 608.92 | 1 | 0.748 | 0.39 |
| Species | 31,792.70 | 9 | 4.337 | <0.001 | |
| Residuals | 64,351.72 | 79 | |||
| nF | Leafing intensity | 1.26 | 1 | 6.765 | 0.01 |
| Species | 10.26 | 9 | 6.139 | <0.001 | |
| Residuals | 14.67 | 79 | |||
| FT | Leafing intensity | 36,205.76 | 1 | 4.802 | 0.03 |
| Fuel moisture content | 36,036.10 | 1 | 4.780 | 0.03 | |
| Min. stem thickness | 33,367.43 | 1 | 4.426 | 0.04 | |
| Species | 222,285.40 | 9 | 3.276 | 0.002 | |
| Residuals | 580,503.90 | 77 |
Disclaimer/Publisher’s Note: The statements, opinions and data contained in all publications are solely those of the individual author(s) and contributor(s) and not of MDPI and/or the editor(s). MDPI and/or the editor(s) disclaim responsibility for any injury to people or property resulting from any ideas, methods, instructions or products referred to in the content. |
© 2023 by the authors. Licensee MDPI, Basel, Switzerland. This article is an open access article distributed under the terms and conditions of the Creative Commons Attribution (CC BY) license (https://creativecommons.org/licenses/by/4.0/).
Share and Cite
Huber-Smith, N.K.; Morley, E.S.; Krix, D.W.; Murray, M.L.; Webb, J.K.; Martin, L.J.; Young, K.; McLean, C.M.; Hingee, M.C.; Murray, B.R. Shoot Flammability Patterns in Native and Exotic Street Tree Species at the Wildland–Urban Interface of Eastern Australia. Fire 2023, 6, 440. https://doi.org/10.3390/fire6110440
Huber-Smith NK, Morley ES, Krix DW, Murray ML, Webb JK, Martin LJ, Young K, McLean CM, Hingee MC, Murray BR. Shoot Flammability Patterns in Native and Exotic Street Tree Species at the Wildland–Urban Interface of Eastern Australia. Fire. 2023; 6(11):440. https://doi.org/10.3390/fire6110440
Chicago/Turabian StyleHuber-Smith, Nicola K., Elisabeth S. Morley, Daniel W. Krix, Megan L. Murray, Jonathan K. Webb, Leigh J. Martin, Kieran Young, Christopher M. McLean, Matthew C. Hingee, and Brad R. Murray. 2023. "Shoot Flammability Patterns in Native and Exotic Street Tree Species at the Wildland–Urban Interface of Eastern Australia" Fire 6, no. 11: 440. https://doi.org/10.3390/fire6110440
APA StyleHuber-Smith, N. K., Morley, E. S., Krix, D. W., Murray, M. L., Webb, J. K., Martin, L. J., Young, K., McLean, C. M., Hingee, M. C., & Murray, B. R. (2023). Shoot Flammability Patterns in Native and Exotic Street Tree Species at the Wildland–Urban Interface of Eastern Australia. Fire, 6(11), 440. https://doi.org/10.3390/fire6110440

