The Application of Fire Behavior Modeling to Fuel Treatment Assessments at Army Garrison Camp Williams, Utah
Abstract
1. Introduction
2. General Background Information
2.1. Judging Fuel Treatment Effectiveness and Alternative Treatment Scenarios
2.2. Limitations, Assumptions, and Uncertainties of Fire Behavior Decision Support Aids
2.2.1. Rothermel Surface Fire Spread Model
- The model was developed for a head fire spreading with the wind over level terrain or upslope.
- The model describes fire behavior in the flaming front, which is primarily influenced by fine fuels.
- The model is primarily intended to describe fires advancing steadily, independent of the source of ignition. The time that it takes for a point source ignition fire to reach a steady-state condition is not considered.
- Fuel, fuel moisture, wind, and slope are assumed to be constant during the time for which model predictions are to be applied.
- The model describes fire spreading through surface fuels. This includes fuel that is contiguous to and within about 1.8 m of the ground. Surface fuels are sometimes classified as grass, brush, timber litter, or slash. The model cannot be applied to timber crown fires, although tree regeneration might be considered as a surface fuel. Fires in shrubland fuel complexes are sometimes referred to as crown fires.
- The model or guide is applicable to the fuel conditions.
- The fuels are uniform and continuous.
- The fuel moisture values used are representative of the fire site.
- The topography is simple and homogeneous.
- Wind speed is constant and unidirectional.
- The fire is free-burning and unaffected by fire suppression activities.
- The model may not be applicable to the situation.
- The model’s inherent accuracy may be at fault.
- The data used in the model may be inaccurate.
2.2.2. BehavePlus Fire Modeling System
2.2.3. Albini Maximum Spotting Distance Models
- The availability of optimum firebrand material—the spotting models presume that at least one ideally suited firebrand particle exists. This is consistent with the intent to estimate the maximum potential spotting distance.
- The probability of spot fire ignition—for a spot fire to start, the firebrand must come into contact with easily ignited dry fuel. The spotting models do not deal with the chance of such contact or the probability that ignition will occur if contact is made. The models predict the maximum distance that a firebrand can travel and still retain the possibility of starting a spot fire but they do not predict spot fire ignition probability. Other guides need to be consulted for such assessments (e.g., [31,51]).
- The number of spot fires—in keeping with the prediction of the maximum potential spotting distance, neither the spot fire density (i.e., number of spot fire ignitions per unit surface area) nor the exact location an ember will land are predicted, only the direction (assuming the wind is blowing steadily in one direction) and maximum distance an ember might possibly land.
2.3. Fire Behavior and Fuel Treatments in the Sage-Steppe Vegetation Types
- Grasslands, comprised chiefly of cheat grass (Bromus tectorum L.), bulbous bluegrass (Poa bulbosa, L.), bluebunch wheatgrass (Pseudoroegneria spicata (Pursh), Á.Löve), western wheatgrass (Pascopyrum smithii (Rydb.), Á.Löve), Sandberg bluegrass (Poa secunda, J.Presl), and Great Basin wild rye (Leymus cinereus (Scribn. & Merr.), A.Löve)
- Wyoming big sagebrush (Artemisia tridentata subsp. wyomingensis, Beetle and Young) and basin big sagebrush (Artemisia tridentata (Nutall) subsp. tridentata)
- Gambel oak (Quercus gambelii Nutt.)
- Utah juniper (Juniperus osteosperma (Torr.) Little)
2.3.1. Pinyon-Juniper
2.3.2. Gambel Oak
2.3.3. Sagebrush and Grass
3. Materials and Methods
3.1. Empirically Based Fire Behavior Guides/Models and Fire Modeling Simulations
3.1.1. Wilson Firebreak Breaching Models for Grasslands
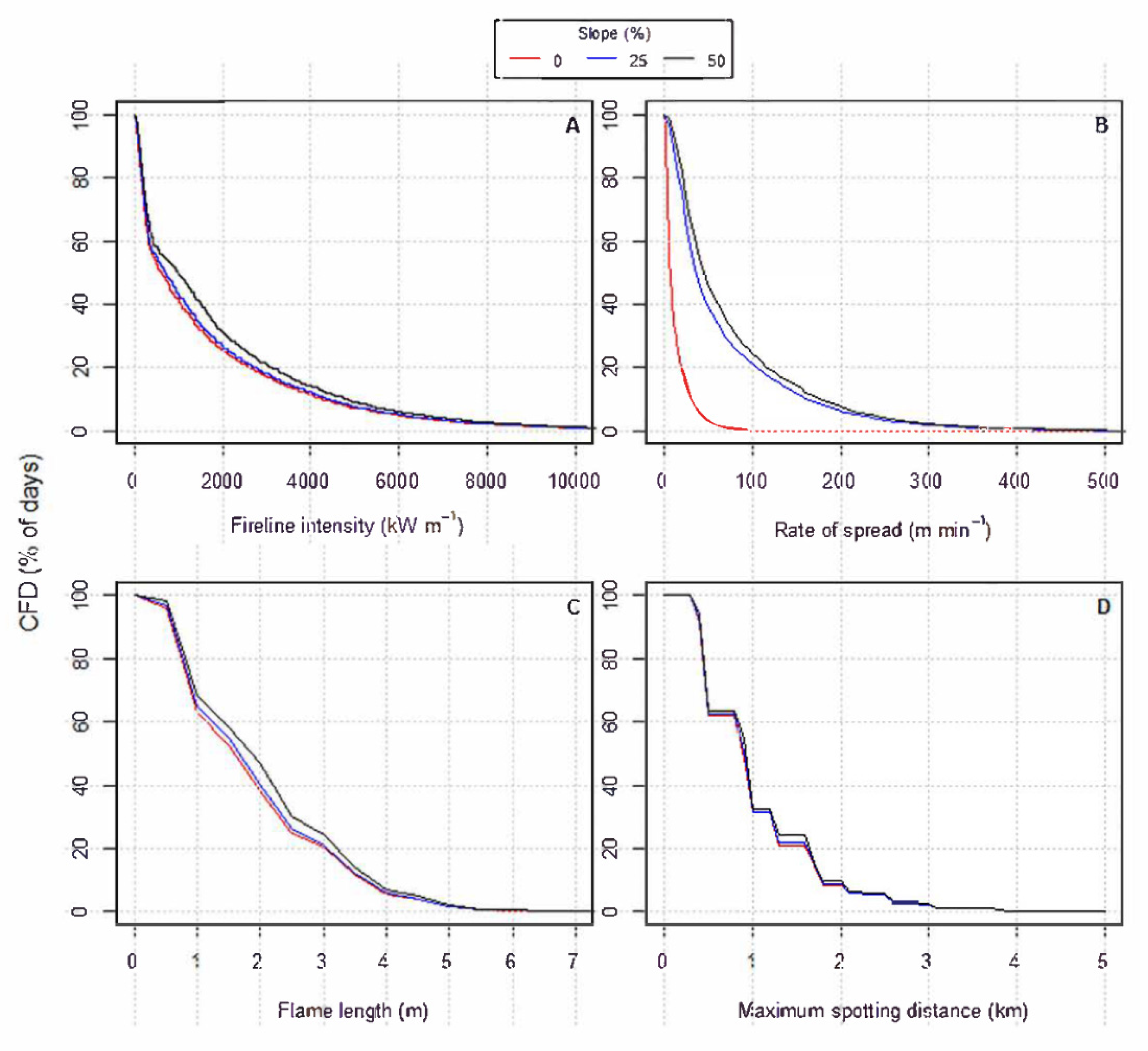
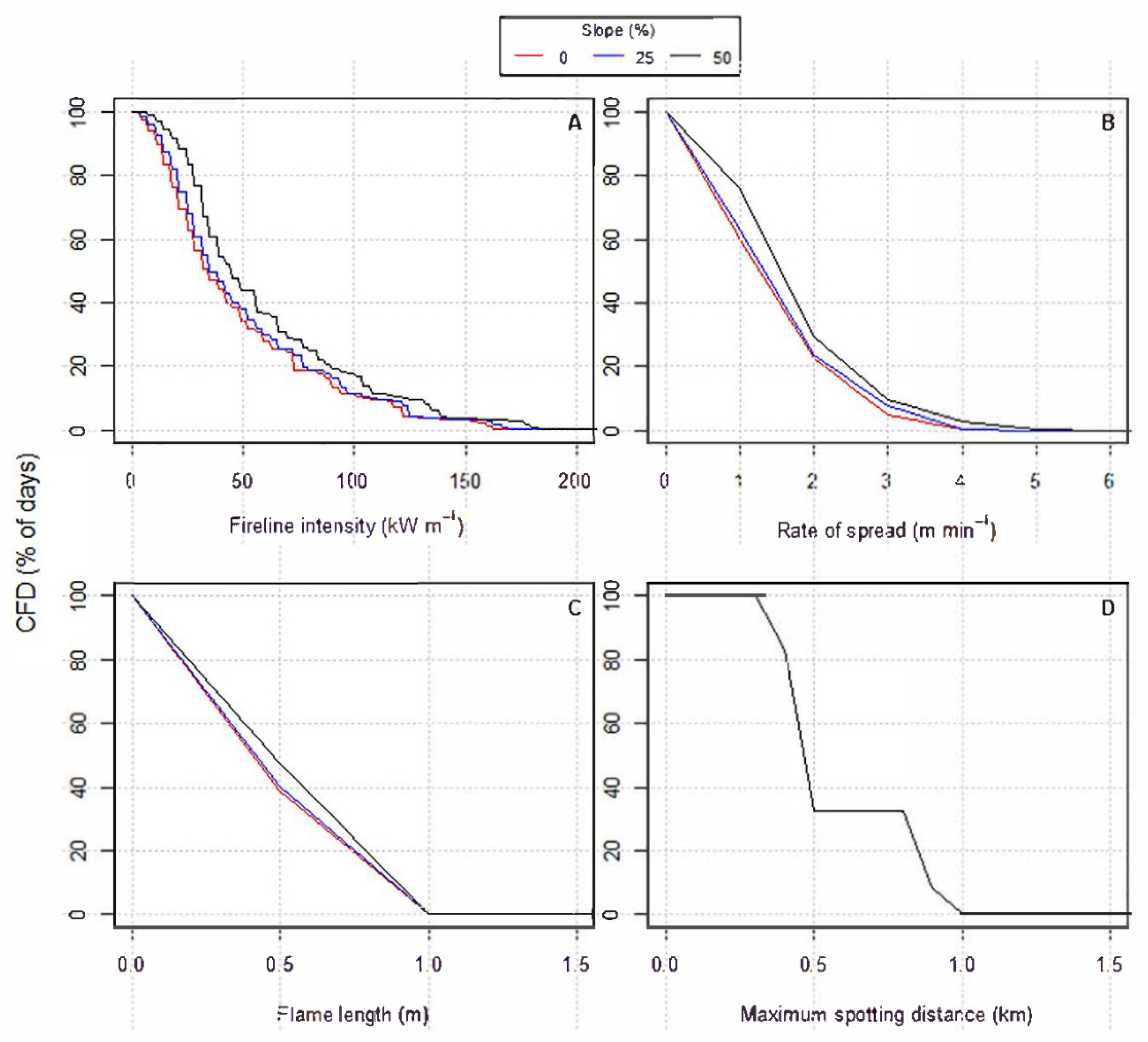
3.1.2. Cumulative Frequency Distributions for Comparison of Fire Behavior Characteristics
3.1.3. Bruner and Klebenow-Prescribed Burning Guide for Pinyon-Juniper Woodlands
3.1.4. FlamMap Fire Behavior Comparisons
4. Results
4.1. Empirically-Based Fire Behavior Guides/Models and Fire Modeling Simulations
4.1.1. Wilson Firebreak Breaching Models for Grass–Tree/Shrubland Mixtures
4.1.2. Cumulative Frequency Distributions for Fire Behavior Characteristics
4.1.3. Bruner and Klebenow Fire Behavior Guide for Pinyon-Juniper Woodlands
4.1.4. FlamMap Fire Behavior Comparisons
5. Discussion
Supplementary Materials
Author Contributions
Funding
Institutional Review Board Statement
Informed Consent Statement
Data Availability Statement
Acknowledgments
Conflicts of Interest
References
- Frost, S.M.; Jenkins, M.; Alexander, M.E. Fire regime analysis of Army Garrison. In The Fire Continuum—Preparing for the Future of Wildland Fire: Proceedings of the Fire Continuum Conference, Missoula, MT, USA, 21–24 May 2018; Hood, S., Drury, S., Steelman, T., Steffens, R., Eds.; Proc. RMRS-P-78; USDA Forest Service, Rocky Mountain Research Station: Fort Collins, CO, USA, 2020; pp. 264–266. [Google Scholar]
- Williams, C.W.G. Integrated Wildland Fire Management Plan; Utah Army National Guard, Environmental Resources Management: Riverton, UT, USA, 2011; pp. 1–114. [Google Scholar]
- Green, L.R. Fuelbreaks and Other Fuel Modification for Wildland Fire Control. In Agriculture Handbook; No. 499; USDA Forest Service: Washington, DC, USA, 1977; pp. 1–79. [Google Scholar]
- Cochrane, M.A.; Moran, C.J.; Wimberly, M.C.; Baer, A.D.; Finney, M.A.; Beckendorf, K.L.; Eidenshink, J.; Zhu, Z. Estimation of wildfire size and risk changes due to fuels treatments. Int. J. Wildland Fire 2012, 21, 357–367. [Google Scholar] [CrossRef]
- Davies, K.W.; Bates, J.D.; Madsen, M.D.; Nafus, A.M. Restoration of mountain big sagebrush steppe following prescribed burning to control western juniper. Environ. Manag. 2014, 53, 1015–1022. [Google Scholar] [CrossRef] [PubMed]
- Agee, J.K.; Skinner, C.N. Basic principles of forest fuel reduction treatments. For. Ecol. Manag. 2005, 211, 83–96. [Google Scholar] [CrossRef]
- Connelly, J.; Schroeder, M.A.; Bralln, C.E. Guidelines to manage sage grouse populations and their habitats. Wildl. Soc. Bull. 2014, 28, 967–985. [Google Scholar]
- Stratton, R.D. Assessing the effectiveness of landscape fuel treatments on fire growth and behavior. J. For. 2004, 102, 32–40. [Google Scholar]
- Smith, E.G.; Davison, J.C.; Brackley, G.K. Controlled Sheep Grazing to Create Fuelbreaks along the Urban/Wildland Interface of Western Nevada. In Proceedings of the 53rd Annual Meeting of the Society for Range Management, Boise, ID, USA, 13–18 February 2000; Society of Range Management: Wichita, KS, USA, 2000; pp. 73–74. [Google Scholar]
- Dellasala, D.A.; Williams, J.E.; Williams, C.D.; Franklin, J.F.; Fund, W.W.; Way, L. Beyond smoke and mirrors: A synthesis of fire policy and science. Conserv. Biol. 2004, 18, 976–986. [Google Scholar] [CrossRef]
- Washa, J.B. Hazardous Fuels Treatment Effectiveness on Utah BLM Lands. In Proceedings of the Program Booklet—Interior West Fire Ecology Conference: Challenges and Opportunities in a Changing World, Snowbird, UT, USA, 14–17 November 2011; Association of Fire Ecology: Redlands, CA, USA, 2011; p. 70. [Google Scholar]
- Frost, S.M. Fire Environment Analysis at Army Garrison Camp Williams in Relation to Fire Behavior Potential for Gauging Fuel Modification Needs. Master’s Thesis, Utah State University, Logan, UT, USA, 2015; pp. 1–183. [Google Scholar]
- Frost, S.M.; Alexander, M.E.; DeRose, R.J.; Jenkins, M.J. Fire-environment analysis: An example of Army Garrison Camp Williams, Utah. Fire 2020, 3, 6. [Google Scholar] [CrossRef]
- Finney, M.A. An overview of FamMap fire modeling capabilities. In Fuels Management—How to Measure Success, Conference Proceedings, Portland, OR, USA, 28–30 March 2006; Andrews, P.L., Butler, B.W., Eds.; Proc. RMRS-P-41; USDA Forest Service, Rocky Mountain Research Station: Fort Collins, CO, USA, 2006; pp. 107–123. [Google Scholar]
- Martinson, E.J.; Omi, P.N. Assessing mitigation of wildfire severity by fuel treatments—An example from the Coastal Plain of Mississippi. Int. J. Wildland Fire 2008, 17, 415–420. [Google Scholar] [CrossRef]
- Strom, B.A.; Fulé, P.Z. Pre-wildfire fuel treatments affect long-term ponderosa pine forest dynamics. Int. J. Wildland Fire 2007, 16, 128–138. [Google Scholar] [CrossRef]
- Davies, K.W.; Bates, J.D.; Svejcar, T.J.; Boyd, C.S. Effects of long-term livestock grazing on fuel characteristics in rangelands: An example from the sagebrush steppe. Rangel. Ecol. Manag. 2010, 63, 662–669. [Google Scholar] [CrossRef]
- Bruner, A.D.; Klebenow, D.A. Predicting Success of Prescribed Fires in Pinyon-juniper Woodland in Nevada; Research Paper; INT-219; USDA Forest Service, Intermountain Forest and Range Experiment Station: Ogden, UT, USA, 1979; pp. 1–12. [CrossRef]
- Eidenshink, J.; Schwind, B.; Brewer, K.; Zhu, Z.; Quayle, B.; Howard, S.; Falls, S. A project for monitoring trends in burn severity. Fire Ecol. 2007, 3, 3–21. [Google Scholar] [CrossRef]
- Wang, C.; Glenn, N.F. Estimation of fire severity using pre- and post-fire LiDAR data in sagebrush steppe rangelands. Int. J. Wildland Fire 2009, 18, 848–856. [Google Scholar] [CrossRef]
- Finney, M.A. Design of regular landscape fuel treatment patterns for modifying fire growth and behavior. For. Sci. 2001, 47, 219–228. [Google Scholar]
- Andrews, P.L.; Bevins, C.D.; Seli, R.C. BehavePlus Fire Modeling System, Version 4.0: User’s Guide; General Technical Report; RMRS-GTR-106WWW; USDA Forest Service, Rocky Mountain Research Station: Fort Collins, CO, USA, 2008; pp. 1–123.
- Andrews, P.L. Current status and future needs of the BehavePlus Fire Modeling System. Int. J. Wildland Fire 2014, 23, 21–33. [Google Scholar] [CrossRef]
- Finney, M.A. FARSITE: Fire Area Simulator—Model Development and Evaluation; Research Paper; RMRS-RP-4; USDA Forest Service, Rocky Mountain Research Station: Ogden, UT, USA, 2004; pp. 1–47. [CrossRef]
- Scott, J.H. NEXUS: A system for assessing crown fire hazard. Fire Manag. Notes 1999, 59, 20–24. [Google Scholar]
- Scott, J.C.; Reinhardt, E.D. Assessing Crown Fire Potential by Linking Models of Surface and Crown Fire Behavior; Research Paper; RMRS-RP-29; USDA Forest Service, Rocky Mountain Research Station: Fort Collins, CO, USA, 2001; pp. 1–59. [CrossRef]
- Rothermel, R.C. A Mathematical Model for Predicting Fire Spread in Wildland Fuels; Research Paper; INT-115; USDA Forest Service, Intermountain Forest and Range Experiment Station: Ogden, UT, USA, 1972; pp. 1–41.
- Andrews, P.L. The Rothermel Surface Fire Spread Model and Associated Developments: A Comprehensive Explanation; General Technical Report; RMRS-INT-371; USDA Forest Service, Rocky Mountain Research Station: Fort Collins, CO, USA, 2018; pp. 1–121. [CrossRef]
- Burgan, R.E. Fire Danger/Fire Behavior Computations with the Texas Instruments TI-59 Calculator: User’s Manual; General Technical Report; INT-61; USDA Forest Service, Intermountain Forest and Range Experiment Station: Ogden, UT, USA, 1979; pp. 1–25.
- Andrews, P.L. BEHAVE: Fire Behavior Prediction and Fuel Modeling System—BURN Subsystem, Part 1; General Technical Report; INT-194; USDA Forest Service, Intermountain Forest and Range Experiment Station: Ogden, UT, USA, 1986; pp. 1–130.
- Rothermel, R.C. How to Predict the Spread and Intensity of Forest and Range Fires; General Technical Report; INT-143; USDA Forest Service, Intermountain Forest and Range Experiment Station: Ogden, UT, USA, 1983; pp. 1–161. [CrossRef]
- Brown, J.K. Fuel and Fire Behavior Predictions in Big Sagebrush; Research Paper; INT-290; USDA Forest Service, Intermountain Forest and Range Experiment Station: Ogden, UT, USA, 1982; pp. 1–10. [CrossRef][Green Version]
- Rothermel, R.C.; Rinehart, G.C. Field Procedures for Verification and Adjustment of Fire Behavior Predictions; General Technical Report; INT-142; USDA Forest Service, Intermountain Forest and Range Experiment Station: Ogden, UT, USA, 1983; pp. 1–25. [CrossRef]
- Butler, B.W.; Reynolds, T.D. Wildfire Case Study: Butte City Fire, Southeastern Idaho, 1 July 1994; General Technical Report; INT-GTR-351; USDA Forest Service, Intermountain Research Station: Ogden, UT, USA, 1997; pp. 1–15.
- Sneeuwjagt, R.J.; Frandsen, W.H. Behavior of experimental grass fires vs. predictions based on Rothermel’s fire model. Can. J. For. Res. 1977, 7, 357–367. [Google Scholar] [CrossRef]
- Bushey, C.J. Comparison of observed and predicted fire behavior in the sagebrush/bunchgrass vegetation type. In Fire Management: The Challenge of Protection and Use, Proceedings of a Symposium, Logan, UT, USA, 17–19 April 1985; Long, J.N., Ed.; Utah State University: Logan, UT, USA, 1986; pp. 187–201. [Google Scholar]
- Cruz, M.G.; Alexander, M.E. Uncertainty associated with model predictions of surface and crown fire rates of spread. Environ. Model. Softw. 2013, 47, 16–28. [Google Scholar] [CrossRef]
- Alexander, M.E.; Cruz, M.G. Limitations on the accuracy of model predictions of wildland fire behaviour: A state-of-the-knowledge overview. For. Chron. 2013, 89, 370–381. [Google Scholar] [CrossRef]
- Cruz, M.G.; Gould, J.S.; Alexander, M.E.; Sullivan, A.L.; McCaw, W.L.; Matthews, S. A Guide to Rate of Fire Spread Models for Australian Vegetation, Rev. ed.; CSIRO Land and Water Flagship and Australasian Fires Authorities Council: Canberra, Australia; Melbourne, Australia, 2015; pp. 1–125. [Google Scholar]
- Alexander, M.E. Are we abusing our use of models and modelling in wildland fire and fuel management? Fire Manag. Today 2009, 69, 24–27. [Google Scholar]
- Albini, F.A. Estimating Wildfire Behavior and Effects; General Technical Report; INT-30; USDA Forest Service, Intermountain Forest and Range Experiment Station: Ogden, UT, USA, 1976; pp. 1–92.
- Heinsch, F.A.; Andrews, P.L. BehavePlus Fire Modeling System, Version 5.0: Design and Features; General Technical Report; RMRS-GTR-249; USDA Forest Service, Rocky Mountain Research Station: Fort Collins, CO, USA, 2010; pp. 1–111.
- Anderson, H.E. Aids to Determining Fuel Models for Estimating Fire Behavior; General Technical Report; INT-122; USDA Forest Service, Intermountain Forest and Range Experiment Station: Ogden, UT, USA, 1982; pp. 1–22. [CrossRef]
- Scott, J.H.; Burgan, R.E. Standard Fire Behavior Fuel Models: A Comprehensive Set for Use with Rothermel’s Surface Fire Spread Model; General Technical Report; RMRS-GTR-153; USDA Forest Service, Rocky Mountain Research Station: Fort Collins, CO, USA, 2005; pp. 1–72. [CrossRef]
- Byram, G.M. Combustion of forest fuels. In Forest Fire: Control and Use; Davis, K.P., Ed.; McGraw-Hill: New York, NY, USA, 1959; pp. 61–89. [Google Scholar]
- Alexander, M.E.; Cruz, M.G. Interdependencies between flame length and fireline intensity in predicting crown fire initiation and crown scorch height. Int. J. Wildland Fire 2012, 21, 95–113. [Google Scholar] [CrossRef]
- Albini, F.A. Spot Fire Distance from Burning Trees—A Predictive Model; General Technical Report; INT-56; USDA Forest Service, Intermountain Forest and Range Experiment Station: Ogden, UT, USA, 1979; pp. 1–73.
- Albini, F.A. Spot Fire Distance from Isolated Sources—Extensions of a Predictive Model; Research Note; INT-309; USDA Forest Service, Intermountain Forest and Range Experiment Station: Ogden, UT, USA, 1981; pp. 1–9.
- Albini, F.A. Potential Spotting Distance from Wind-driven Surface Fires; Research Paper; INT-309; USDA Forest Service, Intermountain Forest and Range Experiment Station: Ogden, UT, USA, 1983; pp. 1–27.
- Morris, G.A., Jr. A Simple Method for Computing Spotting Distances from Wind-driven Surface Fires; Research Note; INT-374; USDA Forest Service, Intermountain Research Station: Ogden, UT, USA, 1987; pp. 1–6.
- Weir, J.R. Probability of spot fires during prescribed burns. Fire Manag. Today 2004, 64, 24–26. [Google Scholar]
- Albini, F.A.; Alexander, M.E.; Cruz, M.G. A mathematical model for predicting the maximum potential spotting distance from a crown fire. Int. J. Wildland Fire 2012, 21, 609–627. [Google Scholar] [CrossRef]
- Andrews, P.L.; Chase, C.H. BEHAVE: Fire Behavior Prediction and Fuel Modeling System—BURN Subsystem, Part 2; General Technical Report; INT-260; USDA Forest Service, Intermountain Research Station: Ogden, UT, USA, 1989; pp. 1–93. [CrossRef]
- Hester, D.A. The pinyon-juniper fuel type can really burn. Fire Contr. Notes 1952, 13, 26–29. [Google Scholar]
- Mutch, R.W. Cheatgrass coloration—A key to flammability? J. Range Manag. 1967, 20, 259–260. [Google Scholar] [CrossRef]
- Wright, H.A.; Neuenschwander, L.F.; Britton, C.M. The Role and Use of Fire in Sagebrush-grass and pinyon-juniper Plant Communities: A State-of-the-Art Review; General Technical Report; INT-58; USDA Forest Service, Intermountain Forest and Range Experiment Station: Ogden, UT, USA, 1979; pp. 1–48.
- Ogle, K.A. Influence of Moisture Content in Gambel Oak Leaves on Waterton Canyon Fire Behavior. Master’s Thesis, Colorado State University, Fort Collins, CO, USA, 1989; pp. 1–63. [Google Scholar]
- Neuenschwander, L.F. Broadcast burning of sagebrush in winter. J. Range Manag. 1980, 33, 233–236. [Google Scholar] [CrossRef]
- Jester, N.; Rogers, K.; Dennis, F.C. Gambel oak management. In Natural Resources Series/Forestry Fact Sheet; No. 6.311 Revised; Colorado State University Extension and Colorado State Forest Service: Fort Collins, CO, USA, 2012; pp. 1–3. [Google Scholar]
- Traylor, R.E. Correlation of Weather to Fire Spread in Grass and Brushland Fuel Types on the Snake River Plains of Southeastern Idaho. Master’s Thesis, Montana State University, Bozeman, MT, USA, 1961; p. 123. [Google Scholar]
- Butler, B.W.; Bartlette, R.A.; Bradshaw, L.S.; Cohen, J.D.; Andrews, P.L.; Putnam, T.; Mangan, R.J. Fire Behavior Associated with the 1994 South Canyon Fire on Storm King Mountain, Colorado; Research Paper; RMRS-RP-9; USDA Forest Service, Rocky Mountain Research Station: Fort Collins, CO, USA, 1998; pp. 1–82. [CrossRef]
- Hudak, A.T.; Rickert, I.; Morgan, P.; Strand, E.; Lewis, S.A.; Robichaud, P.R.; Hoffman, C.; Holden, Z.A.; Andrew, T.; Sarah, A.; et al. Review of Fuel Treatment Effectiveness in Forests and Rangelands and a Case Study from the 2007 Megafires in Central Idaho USA; General Technical Report; RMRS-GTR-252; USDA Forest Service, Rocky Mountain Research Station: Fort Collins, CO, USA, 2011; pp. 1–60.
- Baker, W.L.; Shinneman, D.J. Fire and restoration of piñon–juniper woodlands in the western United States: A review. For. Ecol. Manag. 2004, 189, 1–21. [Google Scholar] [CrossRef]
- McIver, J.; Brunson, M.W.; Bunting, S.; Chambers, J.; Devoe, N. The Sagebrush Steppe Treatment Evaluation Project (SageSTEP): A Test of State-and-Transition Theory; General Technical Report; RMRS-GTR-237; USDA Forest Service, Rocky Mountain Research Station: Fort Collins, CO, USA, 2010; pp. 1–16. [CrossRef]
- Miller, R.F.; Tausch, R.J. The role of fire in juniper and pinyon woodlands: A descriptive analysis. In The Role of Fire in the Control and Spread of Invasive Species, Proceedings of the Invasive Species Workshop, San Diego, CA, USA, 27 November–1 December 2000; Galley, K.E.M., Wilson, T.P., Eds.; Misc. Publ. No. 11; Tall Timbers Research Station: Tallahassee, FL, USA, 2001; pp. 15–30. [Google Scholar]
- Bates, J.D.; Davies, K.W.; Sharp, R.N. Shrub-steppe early succession following juniper cutting and prescribed fire. Environ. Manag. 2011, 47, 468–481. [Google Scholar] [CrossRef]
- Fulé, P.Z.; Waltz, A.E.M.; Covington, W.W.; Heinlein, T.A. Measuring forest restoration effectiveness in reducing hazardous fuels. J. For. 2001, 99, 24–29. [Google Scholar]
- Stevens-Rumann, C.; Shive, K.; Fulé, P.; Sieg, C.H. Pre-wildfire fuel reduction treatments result in more resilient forest structure a decade after wildfire. Int. J. Wildland Fire 2013, 22, 1108–1117. [Google Scholar] [CrossRef]
- Lovreglio, R.; Meddour-Sahar, O.; Leone, V. Goat grazing as a wildfire prevention tool: A basic review. iFor. Biogeosci. For. 2014, 7, 260–268. [Google Scholar] [CrossRef]
- Ralphs, M.E.; Busby, F.E. Prescribed burning: Vegetative change, forage production, cost, and returns on six demonstration burns in Utah. J. Range Manag. 1979, 32, 267–270. [Google Scholar] [CrossRef]
- Diamond, J.M.; Call, C.A.; Devoe, N. Effects of targeted cattle grazing on fire behavior of cheatgrass-dominated rangeland in the northern Great Basin, USA. Int. J. Wildland Fire 2009, 18, 944–950. [Google Scholar] [CrossRef]
- Strand, E.K.; Launchbaugh, K.L.; Limb, R.; Torell, L.A. Livestock grazing effects on fuel loads for wildland fire in sagebrush dominated ecosystems. J. Range. Appl. 2014, 1, 35–57. [Google Scholar]
- Cheney, P.; Sullivan, A. Grassfires: Fuel, Weather and Fire Behaviour, 2nd ed.; CSIRO Publishing: Collingwood, Australia, 2008; pp. 1–160. [Google Scholar]
- Davidson, S. Predicting the effectiveness of firebreaks. Rural Res. 1988, 139, 11–16. [Google Scholar]
- Wilson, A.A.G. Width of firebreak that is necessary to stop grass fires: Some field experiments. Can. J. For. Res. 1988, 18, 682–687. [Google Scholar] [CrossRef]
- Cheney, N.P.; Gould, J.S.; Catchpole, W.R. The influence of fuel, weather and fire shape variables on fire-spread in grasslands. Int. J. Wildland Fire 1993, 3, 31–44. [Google Scholar] [CrossRef]
- USFS-WFAS. United States Forest Service: Wildland Fire Assessment System. National Fuel Moisture Database. 2014. Available online: http://www.wfas.net/index.php/national-fuel-moisture-database-moisture-drought-103 (accessed on 15 March 2014).
- RMRS; SEM. Rocky Mountain Research Station Fire Sciences Laboratory and Systems for Environmental Management. In FireFamilyPlus User’s Guide; Version 3.0; USDA Forest Service, National Fire and Aviation Management Information Systems Team: Boise, ID, USA, 2002; pp. 1–124. [Google Scholar]
- Bradshaw, L.S.; Deeming, J.E.; Burgan, R.E.; Cohen, J.D. The 1978 National Fire-Danger Rating System: Technical Documentation; General Technical Report; INT-169; USDA Forest Service, Intermountain Forest and Range Experiment Station: Ogden, UT, USA, 1984; pp. 1–44.
- Ziel, R.; Jolly, W.M. Performance of Fire Behavior Fuel Models Developed for the Rothermel Surface Fire Spread Model. In Proceedings of the 3rd Fire in Eastern Oak Forests Conference, Carbondale, IL, USA, 20–22 May 2008; Hutchinson, T.F., Ed.; General Technical ReportNRS-P-45. USDA Forest Service, Northern Research Station: Newtown Square, PA, USA, 2009; pp. 78–87. [Google Scholar]
- Andrews, P.L.; Rothermel, R.C. Charts for Interpreting Wildland Fire Behavior Characteristics; General Technical Report; INT-131; USDA Forest Service, Intermountain Forest and Range Experiment Station: Ogden, UT, USA, 1982; pp. 1–21. [CrossRef]
- Alexander, M.E. Maximum Spot Fire Distances for Burning Piles and Wind-Driven Surface Fires in Non-Canopied Fuel Types Based on Albini’s Models; Forest Engineering Research Institute, Wildland Fire Operations Research Group: Hinton, AB, Canada, 2006; pp. 1–3. [Google Scholar]
- Breiman, L. Random forests. Mach. Learn. 2001, 45, 5–32. [Google Scholar] [CrossRef]
- Frost, S.M.; Jenkins, M.; Alexander, M.E. Wildfire behavior case study of the 2010 Machine Gun Fire, Army Garrison Camp Williams. In The Fire Continuum—Preparing for the Future of Wildland Fire, Proceedings of the Fire Continuum Conference, Missoula, MT, USA, 21–24 May 2018; Hood, S., Drury, S., Steelman, T., Steffens, R., Eds.; Proc. RMRS-P-78; USDA Forest Service, Rocky Mountain Research Station: Fort Collins, CO, USA, 2020; pp. 267–271. [Google Scholar]
- Finney, M.A. Fire growth using minimum travel time methods. Can. J. For. Res. 2002, 32, 1420–1424. [Google Scholar] [CrossRef]
- Gelbard, J.L.; Belnap, J. Roads as conduits for exotic plant invasions in a semiarid landscape. Conserv. Biol. 2003, 17, 420–432. [Google Scholar] [CrossRef]
- Loveland, T.R.; Sohl, T.; Sayler, K.; Gallant, A.; Dwyer, J.; Vogelmann, J.; Zylstra, G.; Wade, T.; Edmonds, C.; Chaloud, D.; et al. Land Cover Trends: Rates, Causes, and Consequences of Late-twentieth Century U.S. Land Cover Change; EPA/600/R-99/105; Environmental Protection Agency, Office of Research and Development: Washington, DC, USA, 1999; pp. 1–38. [Google Scholar]
- Carpenter, G.A.; Ewing, M.; Thomas, D.A.; Berglund, A.; Lynch, T.; Croft, B. Price Canyon Fire Entrapment Investigation Report, 30 June 2002; USDA Forest Service, Technology and Development Program, Missoula, MT and USDI Bureau of Land Management, Price Field Office: Price, UT, USA, 2012; pp. 1–21.
- Rothermel, R.C.; Philpot, C.W. Predicting changes in chaparral flammability. J. For. 1973, 71, 640–643. [Google Scholar]
- Alexander, M.E.; Brown, H. Introduction to the special issue: Fuels management—Looking back in time. Fire Manag. Today 2021, 79, 5–7. [Google Scholar]
- Andrews, P.L. Modeling Wind Adjustment Factor and Midflame Wind Speed for Rothermel’s Surface Fire Spread Model; General Technical Report; RMRS-GTR-266; USDA Forest Service, Rocky Mountain Research Station: Fort Collins, CO, USA, 2012; pp. 1–39.
- Alexander, M.E.; Heathcott, M.J.; Schwanke, R.L. Fire Behaviour Case Study of Two Early Winter Grass Fires in Southern Alberta, 27 November 2011; Partners in Protection Association: Edmonton, AB, Canada, 2013; pp. 1–76. [Google Scholar]








| FBFM Number | FBFM Name | 1-h TL | 10-h TL | 100-h TL | Live |
|---|---|---|---|---|---|
| 1 | Short grass (0.3 m) | x | |||
| 2 | Timber (grass and understory) | x | x | x | x |
| 5 | Brush (0.6 m) | x | x | ||
| 8 | Closed timber litter | x | x | x |
| Score Value | Prescribed Fire Behavior Interpretations |
|---|---|
| <110 | Burning conditions are such that fires will not carry. |
| 110–125 | Fires will carry but continual re-torching will be necessary. |
| 125–130 | Burning conditions are optimal for a self-sustaining fire following ignition, creating “clean burns”. |
| >130 | Burning conditions are too hazardous for prescribed burning. |
| Fire Behavior Fuel Model | Percentiles | Maximum Value | ||||||
|---|---|---|---|---|---|---|---|---|
| 25 | 50 | 75 | 90 | 95 | 97 | 99 | ||
| Fireline Intensity (kW m−1) | ||||||||
| FBFM 1 | 242 | 713 | 1741 | 2911 | 3365 | 4884 | 4884 | 23,424 |
| FBFM 2 | 519 | 1288 | 3378 | 6793 | 10,455 | 12,895 | 21,766 | 53,483 |
| FBFM 5 | 180 | 564 | 1980 | 4240 | 5951 | 7160 | 9792 | 17,574 |
| FBFM 8 | 21 | 35 | 69 | 104 | 121 | 156 | 163 | 294 |
| Rate of Fire Spread (m min−1) | ||||||||
| FBFM 1 | 13 | 45 | 92 | 150 | 153 | 223 | 223 | 741 |
| FBFM 2 | 6 | 15 | 36 | 70 | 104 | 124 | 201 | 368 |
| FBFM 5 | 3 | 7 | 15 | 31 | 43 | 51 | 70 | 131 |
| FBFM 8 | 1 | 1 | 2 | 2 | 3 | 3 | 4 | 5 |
| Flame length (m) | ||||||||
| FBFM 1 | 1 | 2 | 2 | 3 | 3 | 4 | 4 | 8 |
| FBFM 2 | 2 | 2 | 3 | 5 | 5 | 6 | 8 | 12 |
| FBFM 5 | 1 | 2 | 2 | 4 | 4 | 5 | 5 | 7 |
| FBFM 8 | 0 | 0 | 1 | 1 | 1 | 1 | 1 | 1 |
| Maximum Spotting Distance (km) | ||||||||
| FBFM 1 | 0.5 | 0.8 | 1.6 | 1.8 | 2.1 | 2.1 | 2.6 | 4.3 |
| FBFM 2 | 0.5 | 1.0 | 1.6 | 2.1 | 2.9 | 3.1 | 4.3 | 5.6 |
| FBFM 5 | 0.5 | 0.8 | 1.3 | 1.8 | 2.6 | 2.9 | 3.7 | 4.7 |
| FBFM 8 | 0.5 | 0.5 | 0.8 | 0.8 | 1.0 | 1.0 | 1.0 | 1.3 |
| Fire Behavior Characteristic | Average Pretreatment | Average Breaks Only | Average Breaks + Landscape Treatments |
|---|---|---|---|
| 2010 Machine Gun Fire | |||
| Flame length (m) | 2.4 | 2.1 | 2.1 |
| Fireline intensity (kW m−1) | 9562 | 8926 | 7938 |
| Rate of spread (m min−1) | 48 | 47 | 45 |
| Burn probability (per pixel) | 0.1972 | 0.0289 | 0.0213 |
| 2012 Pinion Fire | |||
| Flame length (m) | 1.5 | 1.5 | 1.2 |
| Fireline intensity (kW m−1) | 3021 | 2987 | 2669 |
| Rate of spread (m min−1) | 16 | 17 | 16 |
| Burn probability (per pixel) | 0.0114 | 0.0131 | 0.0111 |
| MPMG Range, modified fuels | |||
| Flame length (m) | 2.4 | 2.1 | 2.1 |
| Fireline intensity (kW m−1) | 9108 | 8915 | 7893 |
| Rate of spread (m min−1) | 46 | 48 | 45 |
| Burn probability (per pixel) | Cannot be computed for a single point source ignition | ||
Publisher’s Note: MDPI stays neutral with regard to jurisdictional claims in published maps and institutional affiliations. |
© 2022 by the authors. Licensee MDPI, Basel, Switzerland. This article is an open access article distributed under the terms and conditions of the Creative Commons Attribution (CC BY) license (https://creativecommons.org/licenses/by/4.0/).
Share and Cite
Frost, S.M.; Alexander, M.E.; Jenkins, M.J. The Application of Fire Behavior Modeling to Fuel Treatment Assessments at Army Garrison Camp Williams, Utah. Fire 2022, 5, 78. https://doi.org/10.3390/fire5030078
Frost SM, Alexander ME, Jenkins MJ. The Application of Fire Behavior Modeling to Fuel Treatment Assessments at Army Garrison Camp Williams, Utah. Fire. 2022; 5(3):78. https://doi.org/10.3390/fire5030078
Chicago/Turabian StyleFrost, Scott M., Martin E. Alexander, and Michael J. Jenkins. 2022. "The Application of Fire Behavior Modeling to Fuel Treatment Assessments at Army Garrison Camp Williams, Utah" Fire 5, no. 3: 78. https://doi.org/10.3390/fire5030078
APA StyleFrost, S. M., Alexander, M. E., & Jenkins, M. J. (2022). The Application of Fire Behavior Modeling to Fuel Treatment Assessments at Army Garrison Camp Williams, Utah. Fire, 5(3), 78. https://doi.org/10.3390/fire5030078
