Evaluating the Performance of Fire Rate of Spread Models in Northern-European Calluna vulgaris Heathlands
Abstract
:1. Introduction
2. Materials and Methods
2.1. Comparing Modeled and Observed Fire Rate of Spread
2.2. Comparing Fire Model Performance
3. Results
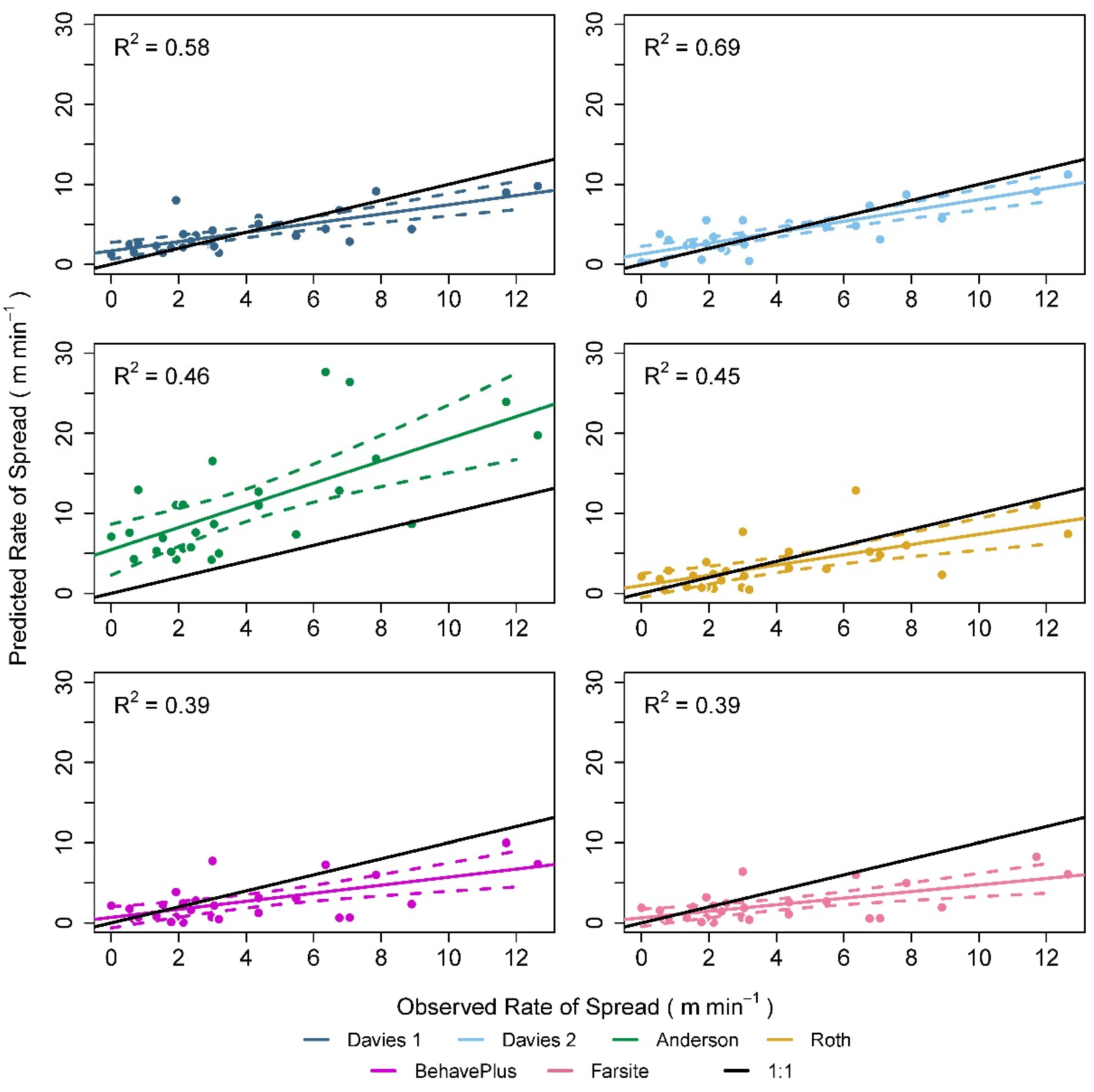
3.1. Comparing Modeled and Observed Fire Rate of Spread
3.2. Variation in Rate of Spread Model Sensitivity
4. Discussion
- Rothermel implementations have moderate precision, but lower bias compared to Anderson. Bias increases for higher rates of spread where there appears to be consistent under-prediction of observed fire behaviour.
- Anderson is comparatively precise but biased, producing rates of spread that are dramatically higher than those observed in fires with ignition line lengths used in managed burning.
- With correction of our observed rates of spread for differences in ignition line length, overprediction by Anderson was reduced at the cost of considerably greater RMSE and a lower R2 correlation value.
5. Conclusions
Supplementary Materials
Author Contributions
Funding
Institutional Review Board Statement
Informed Consent Statement
Data Availability Statement
Acknowledgments
Conflicts of Interest
References
- Viereck, L.A. Wildfire in the taiga of Alaska. Quaternary Res. 1973, 3, 465–495. [Google Scholar] [CrossRef]
- Weber, M.G.; Flannigan, M.D. Canadian boreal forest ecosystem structure and function in a changing climate: Impact on fire regimes. Environ. Rev. 1997, 5, 3–4. [Google Scholar] [CrossRef]
- Rolstad, J.; Blanck, Y.; Storaunet, K.E. Fire history in a western Fennoscandian boreal forest as influenced by human land use and climate. Ecol. Monogr. 2017, 87, 219–245. [Google Scholar] [CrossRef] [Green Version]
- Novenko, E.Y.; Tsyganov, A.N.; Volkova, E.M.; Kupriyanov, D.A.; Mironenko, I.V.; Babeshko, K.V.; Utkina, A.S.; Popov, V.; Mazei, Y.A. Mid-and Late Holocene vegetation dynamics and fire history in the boreal forest of European Russia: A case study from Meshchera Lowlands. Palaeogeogr. Palaeocl. Palaeoecol. 2016, 459, 570–584. [Google Scholar] [CrossRef]
- Davies, G.M.; Kettridge, N.; Stoof, C.R.; Gray, A.; Ascoli, D.; Fernandes, P.M.; Marrs, R.; Allen, K.A.; Doerr, S.H.; Clay, G.D.; et al. The role of fire in UK peatland and moorland management: The need for informed, unbiased debate. Philos. T. Roy. Soc. B 2016, 371, 20150342. [Google Scholar] [CrossRef] [Green Version]
- Koivula, M.; Vanha-Majamaa, I. Experimental evidence on biodiversity impacts of variable retention forestry, prescribed burning, and deadwood manipulation in Fennoscandia. Ecol. Proc. 2020, 9, 11. [Google Scholar] [CrossRef] [Green Version]
- Calvo, L.; T’arrega, R.; Luis, E. Regeneration patterns in a Calluna vulgaris heathland in the Cantabrian mountains (NW Spain): Effects of burning, cutting and ploughing. Acta Oecol. 2002, 23, 81–90. [Google Scholar] [CrossRef]
- Doerr, S.H.; Santín, C. Global trends in wildfire and its impacts: Perceptions versus realities in a changing world. Philos. T. Roy. Soc. B 2016, 371, 20150345. [Google Scholar] [CrossRef]
- de Groot, W.J.; Flannigan, M.D.; Cantin, A.S. Climate change impacts on future boreal fire regimes. For. Ecol. Manag. 2013, 294, 35–44. [Google Scholar] [CrossRef]
- Krikken, F.; Lehner, F.; Haustein, K.; Drobyshev, I.; van Oldenborgh, G.J. Attribution of the role of climate change in the forest fires in Sweden 2018. Nat. Hazard. Earth Sys. 2021, 21, 2169–2179. [Google Scholar] [CrossRef]
- Michetti, M.; Pinar, M. Forest Fires Across Italian Regions and Implications for Climate Change: A Panel Data Analysis. Environ. Resource Econ. 2019, 72, 207–246. [Google Scholar] [CrossRef] [Green Version]
- Johnstone, J.F.; Chapin, F.S.; Hollingsworth, T.N.; Mack, M.C.; Romanovsky, V.; Turetsky, M. Fire, climate change, and forest resilience in interior Alaska. Can. J. For. Res. 2010, 40, 1302–1312. [Google Scholar] [CrossRef]
- Stocks, B.J.; Fosberg, M.A.; Lynham, T.J.; Mearns, L.; Wotton, B.M.; Yang, Q.; Jin, J.-Z.; Lawrence, K.; Hartley, G.R.; Mason, J.A.; et al. Climate Change and Forest Fire Potential in Russian and Canadian Boreal Forests. Clim. Chang. 1998, 38, 1–13. [Google Scholar] [CrossRef]
- Viegas, D.X. Wildfires in Portugal. Fire Res. 2018, 2, 1. [Google Scholar] [CrossRef]
- Cogos, S.; Östlund, L.; Roturier, S. Forest Fire and Indigenous Sami Land Use: Place Names, Fire Dynamics, and Ecosystem Change in Northern Scandinavia. Hum. Ecol. 2019, 47, 51–64. [Google Scholar] [CrossRef] [Green Version]
- Paveglio, T.B.; Brenkert-Smith, H.; Hall, T.; Smith, A.M.S. Understanding social impact from wildfires: Advancing means for assessment. Int. J. Wildland Fire 2015, 24, 212–224. [Google Scholar] [CrossRef]
- Bond, W.J.; Keeley, J.E. Fire as a ‘global herbivore’: The ecology and evolution of flammable ecosystems. Trends Ecol. Evol. 2005, 20, 387–394. [Google Scholar] [CrossRef]
- Cronan, J.; Jandt, R. How Succession Affects Fire Behaviour in Boreal Black Spruce Forest of Interior Alaska; U.S. Department of the Interior, Bureau of Land Management, Alaska State Office: Anchorage, AK, USA, 2008. Available online: https://www.blm.gov/documents/national-office/blm-library/report/how-succession-affects-fire-behaviour-boreal-black (accessed on 15 November 2019).
- Granström, A. Fire Management for Biodiversity in the European Boreal Forest. Scand. J. Forest Res. 2001, 16, 62–69. [Google Scholar] [CrossRef]
- Franklin, J.F.; Spies, T.A.; Pelt, R.V.; Carey, A.B.; Thornburgh, D.A.; Berg, D.R.; Lindenmayer, D.B.; Harmon, M.E.; Keeton, W.S.; Shaw, D.C.; et al. Disturbances and structural development of natural forest ecosystems with silvicultural implications, using Douglas-fir forests as an example. For. Ecol. Manage. 2002, 155, 399–423. [Google Scholar] [CrossRef]
- Davies, G.M.; Legg, C.J.; Smith, A.A.; MacDonald, A.J. Development and participatory evaluation of fireline intensity and flame property models for managed burns on Calluna-dominated heathlands. Fire Ecol. 2019, 15, 30. [Google Scholar] [CrossRef]
- Gjedrem, A.M.; Log, T. Study of Heathland Succession, Prescribed Burning, and Future Perspectives at Kringsjå, Norway. Land 2020, 9, 485. [Google Scholar] [CrossRef]
- Robertson, G.S.; Newborn, D.; Richardson, M.; Baines, D. Does rotational heather burning increase red grouse abundance and breeding success on moors in northern England? Wildlife Biol. 2017, 1, 2017. [Google Scholar] [CrossRef] [Green Version]
- Davies, G.M.; Vandvik, V.; Marrs, R.; Velle, L.G. Fire management in heather-dominated heaths and moorlands of North-West Europe. In Prescribed Fire: Global Applications; Weir, J., Scasta, J.D., Eds.; CSIRO: Clayton, VIC, Australia, in press.
- Grau-Andrés, R.; Davies, G.M.; Waldron, S.; Scott, E.M.; Gray, A. Increased fire severity alters initial vegetation regeneration across Calluna-dominated ecosystems. J. Environ. Manage. 2019, 231, 1004–1011. [Google Scholar] [CrossRef] [PubMed] [Green Version]
- Marrs, R.H.; Marsland, E.-L.; Lingard, R.; Appleby, P.G.; Piliposyan, G.T.; Rose, R.J.; O’Reilly, J.; Milligan, G.; Allen, K.A.; Alday, J.G.; et al. Experimental evidence for sustained carbon sequestration in fire-managed, peat moorlands. Nat. Geosci. 2019, 12, 108–112. [Google Scholar] [CrossRef]
- Vandvik, V.; Heegaard, E.; Måren, I.E.; Aarrestad, P.A. Managing heterogeneity: The importance of grazing and environmental variation on post-fire succession in heathlands. J. Appl. Ecol. 2005, 42, 139–149. [Google Scholar] [CrossRef]
- Lydersen, J.M.; Collins, B.M.; Brooks, M.L.; Matchett, J.R.; Shive, K.L.; Povak, N.A.; Kane, V.R.; Smith, D.F. Evidence of fuels management and fire weather influencing fire severity in an extreme fire event. Ecol. Appl. 2017, 27, 2013–2030. [Google Scholar] [CrossRef]
- Harper, A.R.; Doerr, S.H.; Santin, C.; Froyd, C.A.; Sinnadurai, P. Prescribed fire and its impacts on ecosystem services in the UK. Sci. Total Environ. 2018, 624, 691–703. [Google Scholar] [CrossRef] [Green Version]
- Arnell, N.W.; Freeman, A.; Gazzard, R. The effect of climate change on indicators of fire danger in the UK. Environ. Res. Lett. 2021, 16, 044027. [Google Scholar] [CrossRef]
- Harper, A.R. Vegetation Fires in Temperate Upland Heaths: Environmental Impacts, Recovery, and Management Implications. Ph.D. Thesis, Swansea University, Swansea, UK, 2020. [Google Scholar]
- Log, T.; Thuestad, G.; Velle, L.G.; Khattri, S.K.; Kleppe, G. Unmanaged heathland—A fire risk in subzero temperatures? Fire Safety J. 2017, 90, 62–71. [Google Scholar] [CrossRef]
- Log, T. Modeling Drying of Degenerated Calluna vulgaris for Wildfire and Prescribed Burning Risk Assessment. Forests 2020, 11, 759. [Google Scholar] [CrossRef]
- Fujioka, F.M.; Gill, A.M.; Viegas, D.X.; Wotton, B.M. Chapter 21 Fire Danger and Fire Behavior Modeling Systems in Australia, Europe, and North America. Dev. Environm. Sci. 2008, 8, 471–497. [Google Scholar] [CrossRef]
- Anderson, W.R.; Cruz, M.G.; Fernandes, P.M.; McCaw, L.; Vega, J.A.; Bradstock, R.A.; Forgarty, L.; Gould, J.; McCarthy, G.; Marsden-Smedley, J.B.; et al. A generic, empirical-based model for predicting rate of fire spread in shrublands. Int. J. Wildland Fire 2015, 24, 443–460. [Google Scholar] [CrossRef] [Green Version]
- Andrews, P.L. The Rothermel Surface Fire Spread Model and Associated Developments: A Comprehensive Explanation; RMRS-GTR-371; U.S. Department of Agriculture, Forest Service, Rocky Mountain Research Station: Fort Collins, CO, USA, 2018. Available online: https://www.fs.usda.gov/treesearch/pubs/55928 (accessed on 18 November 2019).
- Sullivan, A.L. Wildland surface fire spread modelling, 1990–2007. 2: Empirical and quasi-empirical models. Int. J. Wildland Fire 2009, 18, 369–386. [Google Scholar] [CrossRef] [Green Version]
- Barclay-Estrup, P.; Gimingham, C.H. The description and interpretation of cyclical processes in a heath community. I. Vegetational change in relation to the Calluna cycle. J. Ecol. 1969, 57, 737–758. [Google Scholar] [CrossRef]
- de Hullu, E.; Gimingham, C.H. Germination and establishment of seedlings in different phases of the Calluna life cycle in a Scottish heathland. Vegetatio 1984, 58, 115–121. [Google Scholar] [CrossRef]
- Kayll, A.J.; Gimingham, C.H. Vegetative regeneration of Calluna vulgaris after fire. J. Ecol. 1965, 53, 729–734. [Google Scholar] [CrossRef]
- Hobbs, R.J. Post-Fire Succession in Heathland Communities. Ph.D. Thesis, University of Aberdeen, Aberdeen, UK, 1981. [Google Scholar]
- Whittaker, E. Temperatures in heath fires. J. Ecol. 1961, 49, 709–715. [Google Scholar] [CrossRef]
- Thomas, P.H. Rates of spread of some wind-driven fires. Forestry Int. J. For. Res. 1971, 44, 155–175. [Google Scholar] [CrossRef]
- Davies, G.M.; Legg, C.J.; Smith, A.A.; MacDonald, A.J. Rate of spread of fires in Calluna vulgaris-dominated moorlands. J. Appl. Ecol. 2009, 46, 1054–1063. [Google Scholar] [CrossRef]
- Gimingham, C.H.; Hobbs, R.J.; Mallik, A.U. Community dynamics in relation to management of heathland vegetation in Scotland. Vegetatio 1981, 46, 149–155. [Google Scholar] [CrossRef]
- Cruz, M.G.; Gould, J.S.; Alexander, M.E.; Sullivan, A.L.; McCaw, W.L.; Matthews, S. Empirical-based models for predicting head-fire rate of spread in Australian fuel types. Aust Forestry 2015, 78, 118–158. [Google Scholar] [CrossRef]
- Rios, O.; Valero, M.M.; Pastor, E.; Planas, E. A Data-Driven Fire Spread Simulator: Validation in Vall-llobrega’s Fire. Front. Mech. Eng. 2019, 5, 8. [Google Scholar] [CrossRef]
- Atchley, A.L.; Linn, R.; Jonko, A.; Hoffman, C.; Hyman, J.D.; Pimont, F.; Sieg, C.; Middleton, R.S. Effects of fuel spatial distribution on wildland fire behaviour. Int. J. Wildland Fire 2020, 30, 179–189. [Google Scholar] [CrossRef]
- Cruz, M.G.; Alexander, M.E.; Sullivan, A.L. Mantras of wildland fire behaviour modelling: Facts or fallacies? Int. J. Wildland Fire 2017, 26, 973–981. [Google Scholar] [CrossRef]
- Rothermel, R.C. A Mathematical Model for Predicting Fire Spread in Wildland Fuels; INT-115; U.S. Department of Agriculture, Forest Service, Intermountain Forest and Range Experiment Station: Ogden, UT, USA, 1972. Available online: https://www.fs.usda.gov/treesearch/pubs/32533 (accessed on 16 September 2019).
- Sullivan, A.L. Wildland surface fire spread modelling, 1990–2007. 1: Physical and quasi-physical models. Int. J. Wildland Fire 2009, 18, 349–368. [Google Scholar] [CrossRef] [Green Version]
- Andrews, P.L. Current status and future needs of the BehavePlus Fire Modeling System. Int. J. Wildland Fire 2013, 23, 21–33. [Google Scholar] [CrossRef] [Green Version]
- Finney, M.A. An Overview of Flammap Fire Modeling Capabilities. In Fuels Management—How to Measure Success: Conference Proceedings; RMRS-P-41; US Department of Agriculture, Forest Service, Rocky Mountain Research Station: Fort Collins, CO, USA, 2006; pp. 213–220. Available online: https://www.fs.usda.gov/treesearch/pubs/25948 (accessed on 25 January 2021).
- Finney, M.A. Farsite: Fire Area Simulator—Model Development and Evaluation; RMRS-RP-4; U.S. Department of Agriculture, Forest Service, Rocky Mountain Research Station: Fort Collins, CO, USA, 2004. Available online: https://www.fs.usda.gov/treesearch/pubs/4617 (accessed on 2 October 2019).
- Vacchiano, G.; Ascoli, D. An Implementation of the Rothermel Fire Spread Model in the R Programming Language. Fire Technol. 2015, 51, 523–535. [Google Scholar] [CrossRef]
- Vacchiano, G.; Ascoli, D. Package ‘Rothermel’; R Foundation for Statistical Computing: Vienna, Austria, 2015; Available online: https://cran.r-project.org/web/packages/Rothermel (accessed on 25 September 2019).
- R Foundation for Statistical Computing. R: A Language and Environment for Statistical Computing (Version 3.6.3); R Foundation for Statistical Computing: Vienna, Austria, 2020; Available online: https://www.r-project.org/ (accessed on 13 February 2020).
- Dimitrakopoulos, A.P.; Dritsa, S. Novel nomographs for fire behaviour prediction in Mediterranean and submediterranean vegetation types. Forestry Int. J. For. Res. 2003, 76, 479–490. [Google Scholar] [CrossRef]
- Fernandes, P.M. Examining fuel treatment longevity through experimental and simulated surface fire behaviour: A maritime pine case study. Can. J. For. Res. 2009, 39, 12. [Google Scholar] [CrossRef] [Green Version]
- Salis, M.; Arca, B.; Alcasena, F.; Arianoutsou, M.; Bacciu, V.; Duce, P.; Duguy, B.; Koutsias, N.; Mallinis, G.; Mitsopoulos, I.; et al. Predicting wildfire spread and behaviour in Mediterranean landscapes. Int. J. Wildland Fire 2016, 25, 1015–1032. [Google Scholar] [CrossRef]
- Legg, C.J.; Davies, G.M.; Kitchen, K.; Marno, P.; Scottish Wildfire Forum. Developing a Fire Danger Rating System for Vegetation Fires in the UK: FireBeaters Phase I Final Report. 2007. Available online: https://era.ed.ac.uk/handle/1842/3011 (accessed on 23 September 2019).
- Davies, G.M.; Gray, A.; Hamilton, A.; Legg, C.J. The future of fire management in the British uplands. Int. J. Biodivers. Sci. Manage. 2008, 4, 127–147. [Google Scholar] [CrossRef] [Green Version]
- Davies, G.M.; Domènech, R.; Gray, A.; Johnson, P.C.D. Vegetation structure and fire weather influence variation in burn severity and fuel consumption during peatland wildfires. Biogeosciences 2016, 13, 389–398. [Google Scholar] [CrossRef] [Green Version]
- Ascoli, D.; Beghin, R.; Ceccato, R.; Gorlier, A.; Lombardi, G.; Lonati, M.; Marzano, R.; Bovio, G.; Cavallero, A. Developing an Adaptive Management approach to prescribed burning: A long-term heathland conservation experiment in north-west Italy. Int. J. Wildland Fire 2007, 18, 727–735. [Google Scholar] [CrossRef]
- Bilgili, E.; Saglam, B. Fire behavior in maquis fuels in Turkey. For. Ecol. Manage. 2003, 184, 201–207. [Google Scholar] [CrossRef]
- Fernandes, P.A.M. Fire spread prediction in shrub fuels in Portugal. For. Ecol. Manage. 2001, 144, 67–74. [Google Scholar] [CrossRef]
- Pepin, A.-C.; Wotton, M. Fire Behaviour Observation in Shrublands in Nova Scotia, Canada and Assessment of Aids to Operational Fire Behaviour Prediction. Fire 2020, 3, 34. [Google Scholar] [CrossRef]
- Allen, K.A.; Denelle, P.; Ruiz, F.M.S.; Santana, V.M.; Marrs, R.H. Prescribed moorland burning meets good practice guidelines: A monitoring case study using aerial photography in the Peak District, UK. Ecol. Indic. 2016, 62, 76–85. [Google Scholar] [CrossRef] [Green Version]
- EUFirelab. Physical, Chemical and Thermal Characteristics of the Wildland Fuel Particles: Answer from the Partners; Deliverable D-02-02_A; EUFirelab: Avignon, France, 2002; unpublished report. [Google Scholar]
- Hamner, B.; Frasco, M.; LeDell, E. Package ‘Metrics’: Evaluation Metrics for Machine Learning; R Foundation for Statistical Computing: Vienna, Austria, 2018; Available online: https://cran.r-project.org/web/packages/Metrics (accessed on 1 November 2020).
- Ranganathan, P.; Pramesh, C.S.; Aggarwal, R. Common pitfalls in statistical analysis: Measures of agreement. Persp. Clin. Res. 2017, 8, 187–191. [Google Scholar] [CrossRef]
- Davies, G.M.; Legg, C.J.; Smith, A.; MacDonald, A. Developing shrub fire behaviour models in an oceanic climate: Burning in the British uplands. For. Ecol. Manage. 2006, 234 (Suppl. S1), SI07. [Google Scholar] [CrossRef] [Green Version]
- Fox, J.; Weisburg, S. An R Companion to Applied Regression, 3rd ed.; Sage: Thousand Oaks, CA, USA, 2019. [Google Scholar]
- Grau-Andrés, R.; Gray, A.; Davies, G.M.; Scott, E.M.; Waldron, S. Fire severity is more sensitive to low fuel moisture content on Calluna heathlands than on peat bogs. Sci. Total Environ. 2018, 616–617, 1261–1269. [Google Scholar] [CrossRef] [Green Version]
- Davies, G.M.; Legg, C.J.; O’Hara, R.; MacDonald, A.J.; Smith, A.A. Winter desiccation and rapid changes in the live fuel moisture content of Calluna vulgaris. Plant Ecol. Divers. 2011, 3, 289–299. [Google Scholar] [CrossRef]
- Scott, J.H.; Burgan, R.E. Standard Fire Behaviour FuelModels: A Comprehensive Set for Use with Rothermel’s Surface Fire Spread Model; RMRS-GTR-153; U.S. Department of Agriculture, Forest Service, Rocky Mountain Research Center: Fort Collins, CO, USA, 2005. Available online: https://www.fs.usda.gov/treesearch/pubs/9521 (accessed on 15 June 2020).
- Jolly, W.M. Sensitivity of a surface fire spread model and associated fire behaviour fuel models to changes in live fuel moisture. Int. J. Wildland Fire 2007, 16, 503–509. [Google Scholar] [CrossRef] [Green Version]
- Alexander, M.E.; Cruz, M.G. Assessing the effect of foliar moisture on the spread rate of crown fires. Int. J. Wildland Fire 2012, 22, 415–427. [Google Scholar] [CrossRef]
- Catchpole, E.A.; Catchpole, W.R. Modelling Moisture Damping for Fire Spread in a Mixture of Live and Dead Fuels. Int. J. Wildland Fire 1991, 1, 101–106. [Google Scholar] [CrossRef]
- Rossa, C.G.; Fernandes, P.M. Short communication: On the effect of live fuel moisture content on fire-spread rate. For. Sys. 2017, 26, eSC08. [Google Scholar] [CrossRef] [Green Version]
- Viegas, D.X. Forest fire propagation. Philos. T. Roy. Soc. A 1998, 356, 2907–2928. [Google Scholar] [CrossRef]
- Sutherland, W.J.; Bailey, M.J.; Bainbridge, I.P.; Brereton, T.; Dick, J.A.T.; Drewitt, J.; Dulvy, N.K.; Dusic, N.R.; Freckleton, R.P.; Gaston, K.J.; et al. Future novel threats and opportunities facing UK biodiversity identified by horizon scanning. J. Appl. Ecol. 2008, 45, 821–833. [Google Scholar] [CrossRef]
- Viegas, D.X.; Piñol, J.; Viegas, M.T.; Ogaya, R. Estimating live fine fuels moisture content using meteorologically-based indices. Int. J. Wildland Fire 2001, 10, 223–240. [Google Scholar] [CrossRef]
- Rossa, C.G.; Davim, D.A.; Viegas, D.X. Behaviour of slope and wind backing fires. Int. J. Wildland Fire 2015, 24, 1085–1097. [Google Scholar] [CrossRef]


| Input Description | Value | Data Source |
|---|---|---|
| 1 Hour SAV (m−1) | 9560 | EUFirelab [69] |
| 10, 100-Hour and Live Herbaceous SAV (m−1) | 8810 | EUFirelab [69] |
| Live Woody SAV (m−1) | 1000 | EUFirelab [69] |
| Calluna Heat of Combustion (kJ kg−1) | 20,810 | Hobbs [41] |
| Moisture of Extinction (%) | 30 | Legg et al. [61] |
| Linear Model | R2 | b | Intercept ± Error | df (n − 2) | t | pslope | LPA |
|---|---|---|---|---|---|---|---|
| Davies 1 | 0.58 | 0.58 | 1.69 ± 0.51 | 25 | 0.25 | 0.80 | A |
| Davies 2 | 0.69 | 0.68 | 1.27 ± 0.48 | 25 | 0.20 | 0.84 | A |
| Anderson | 0.46 | 1.39 | 5.46 ± 1.55 | 25 | −0.08 | 0.94 | B |
| Roth | 0.45 | 0.60 | 0.94 ± 0.68 | 25 | 0.15 | 0.88 | A |
| BehavePlus | 0.39 | 0.50 | 0.69 ± 0.64 | 25 | 0.23 | 0.94 | A |
| Farsite | 0.39 | 0.41 | 0.64 ± 0.53 | 25 | 0.34 | 0.94 | A |
| Corrected | 0.31 | 0.27 | 7.72 ± 1.74 | 25 | 0.14 | 0.89 | A |
| Response: Rate of Spread | df | F Value | Pr (>F) |
|---|---|---|---|
| Model | 5 | 28.608 | <0.001 |
| Fuel | 2 | 33.747 | <0.001 |
| Model × Fuel | 10 | 0.903 | 0.532 |
| Response: Rate of Spread | df | F Value | Pr (>F) |
|---|---|---|---|
| Model | 5 | 230.793 | <0.001 |
| Fuel | 2 | 134.830 | <0.001 |
| Model × Fuel | 10 | 1.918 | 0.040 |
Publisher’s Note: MDPI stays neutral with regard to jurisdictional claims in published maps and institutional affiliations. |
© 2022 by the authors. Licensee MDPI, Basel, Switzerland. This article is an open access article distributed under the terms and conditions of the Creative Commons Attribution (CC BY) license (https://creativecommons.org/licenses/by/4.0/).
Share and Cite
Minsavage-Davis, C.D.; Davies, G.M. Evaluating the Performance of Fire Rate of Spread Models in Northern-European Calluna vulgaris Heathlands. Fire 2022, 5, 46. https://doi.org/10.3390/fire5020046
Minsavage-Davis CD, Davies GM. Evaluating the Performance of Fire Rate of Spread Models in Northern-European Calluna vulgaris Heathlands. Fire. 2022; 5(2):46. https://doi.org/10.3390/fire5020046
Chicago/Turabian StyleMinsavage-Davis, Charles D., and G. Matt Davies. 2022. "Evaluating the Performance of Fire Rate of Spread Models in Northern-European Calluna vulgaris Heathlands" Fire 5, no. 2: 46. https://doi.org/10.3390/fire5020046
APA StyleMinsavage-Davis, C. D., & Davies, G. M. (2022). Evaluating the Performance of Fire Rate of Spread Models in Northern-European Calluna vulgaris Heathlands. Fire, 5(2), 46. https://doi.org/10.3390/fire5020046

