Non-Destructive Fuel Volume Measurements Can Estimate Fine-Scale Biomass across Surface Fuel Types in a Frequently Burned Ecosystem
Abstract
1. Introduction
2. Materials and Methods
2.1. Site Description
2.2. Sampling
2.3. Statistical Analyses
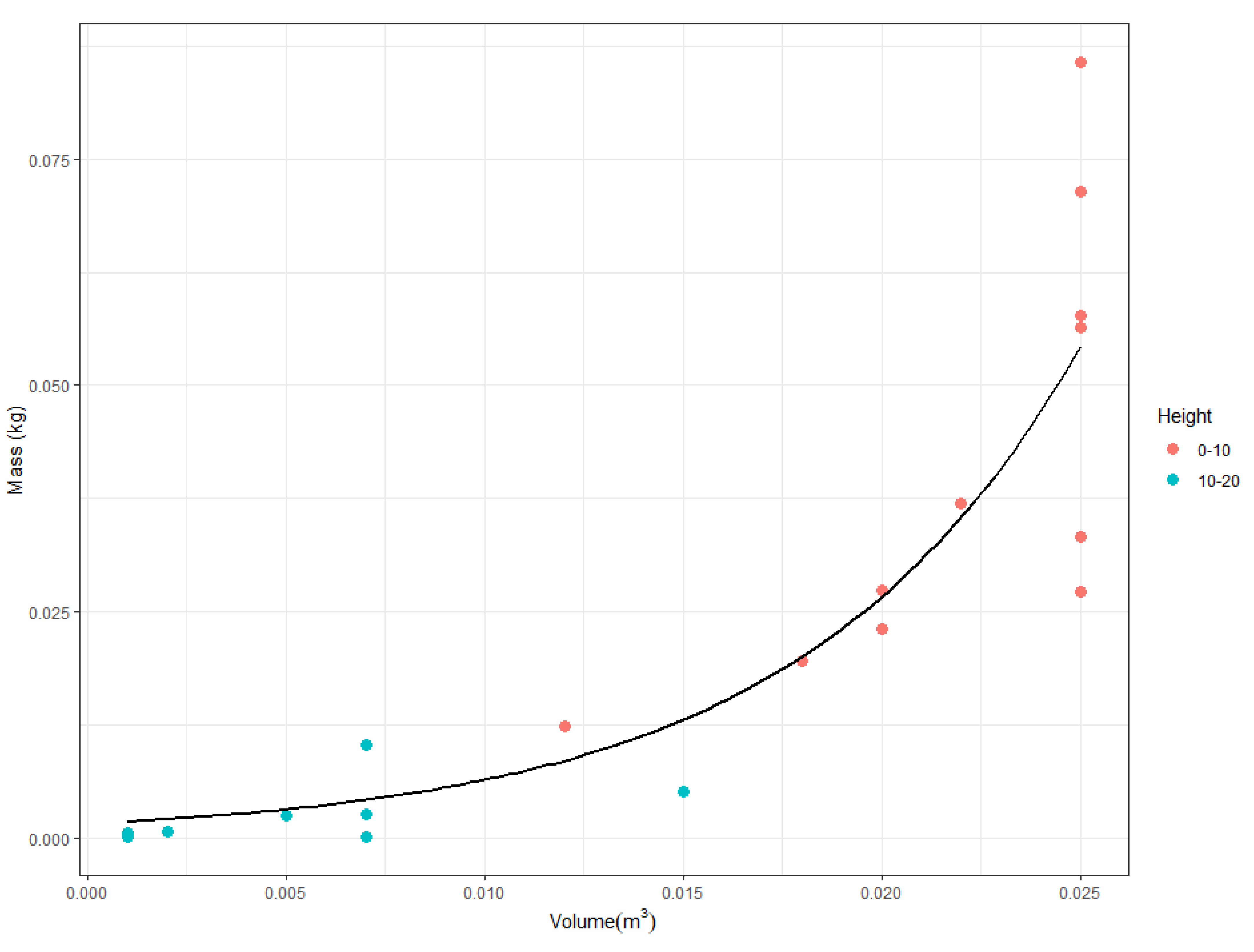
3. Results
3.1. Live Woody
3.2. Herbaceous
3.3. Woody Litter
4. Discussion
5. Conclusions
Author Contributions
Funding
Institutional Review Board Statement
Informed Consent Statement
Data Availability Statement
Acknowledgments
Conflicts of Interest
Appendix A

| Burn Number | Plot | Burn Status | Height | H Mass (g) | H Volume (m3) | LW Mass (g) | LW Volume (m3) | WL Mass (g) | WL Volume (m3) |
|---|---|---|---|---|---|---|---|---|---|
| 1 | Pre1 | Pre | 0–10 | 18.7 | 0.025 | 7.45 | 0.012 | 36.93 | 0.022 |
| 1 | Pre1 | Pre | 10–20 | 4.92 | 0.024 | 15.64 | 0.016 | 0.07 | 0.007 |
| 1 | Pre1 | Pre | 20–30 | 2.38 | 0.021 | 21.28 | 0.012 | 0 | 0.003 |
| 1 | Pre1 | Pre | 30–40 | 1.09 | 0.012 | 18.41 | 0.011 | 0 | 0 |
| 1 | Pre1 | Pre | 40–50 | 0.32 | 0.01 | 24.77 | 0.018 | 0 | 0 |
| 1 | Pre1 | Pre | 50–60 | 0.08 | 0.003 | 17.18 | 0.015 | 0 | 0 |
| 1 | Pre1 | Pre | 60–70 | 0 | 0 | 9.13 | 0.006 | 0 | 0 |
| 1 | Pre1 | Pre | 70–80 | 0 | 0 | 14.55 | 0.008 | 0 | 0 |
| 1 | Pre1 | Pre | 80–90 | 0 | 0 | 5.82 | 0.008 | 0 | 0 |
| 1 | Pre1 | Pre | 90–100 | 0 | 0 | 17.03 | 0.014 | 0 | 0 |
| 1 | Pre2 | Pre | 0–10 | 67.07 | 0.025 | 12.41 | 0.006 | 19.53 | 0.018 |
| 1 | Pre2 | Pre | 10–20 | 6.28 | 0.025 | 7.66 | 0.013 | 2.59 | 0.007 |
| 1 | Pre2 | Pre | 20–30 | 1.45 | 0.018 | 1.45 | 0.009 | 0 | 0 |
| 1 | Pre2 | Pre | 30–40 | 0.23 | 0.012 | 0 | 0 | 0 | 0 |
| 1 | Pre2 | Pre | 40–50 | 0 | 0 | 0 | 0 | 0 | 0 |
| 1 | Pre2 | Pre | 50–60 | 0 | 0 | 0 | 0 | 0 | 0 |
| 1 | Pre2 | Pre | 60–70 | 0 | 0 | 0 | 0 | 0 | 0 |
| 1 | Pre2 | Pre | 70–80 | 0 | 0 | 0 | 0 | 0 | 0 |
| 1 | Pre2 | Pre | 80–90 | 0 | 0 | 0 | 0 | 0 | 0 |
| 1 | Pre2 | Pre | 90–100 | 0 | 0 | 0 | 0 | 0 | 0 |
| 1 | Pre3 | Pre | 0–10 | 61.68 | 0.025 | 6.29 | 0.001 | 27.33 | 0.02 |
| 1 | Pre3 | Pre | 10–20 | 26.24 | 0.025 | 10.49 | 0.005 | 0.61 | 0 |
| 1 | Pre3 | Pre | 20–30 | 6.79 | 0.024 | 11.08 | 0.011 | 0 | 0 |
| 1 | Pre3 | Pre | 30–40 | 2.19 | 0.019 | 5.01 | 0.011 | 0 | 0 |
| 1 | Pre3 | Pre | 40–50 | 1.13 | 0.019 | 8.57 | 0.008 | 0.23 | 0.002 |
| 1 | Pre3 | Pre | 50–60 | 0.25 | 0.007 | 5.37 | 0.01 | 0 | 0.002 |
| 1 | Pre3 | Pre | 60–70 | 0.09 | 0.003 | 6.9 | 0.01 | 0 | 0 |
| 1 | Pre3 | Pre | 70–80 | 0 | 0 | 0.93 | 0.005 | 0 | 0 |
| 1 | Pre3 | Pre | 80–90 | 0 | 0 | 0 | 0 | 0 | 0 |
| 1 | Pre3 | Pre | 90–100 | 0 | 0 | 0 | 0 | 0 | 0 |
| 1 | Pre4 | Pre | 0–10 | 34.64 | 0.025 | 8.38 | 0.008 | 23.13 | 0.02 |
| 1 | Pre4 | Pre | 10–20 | 17.73 | 0.025 | 5.18 | 0.009 | 0.12 | 0.001 |
| 1 | Pre4 | Pre | 20–30 | 16.73 | 0.025 | 7.89 | 0.012 | 0 | 0 |
| 1 | Pre4 | Pre | 30–40 | 13.55 | 0.025 | 9.18 | 0.016 | 0 | 0 |
| 1 | Pre4 | Pre | 40–50 | 8.88 | 0.025 | 16.27 | 0.02 | 0 | 0 |
| 1 | Pre4 | Pre | 50–60 | 3.56 | 0.025 | 11.41 | 0.014 | 0 | 0 |
| 1 | Pre4 | Pre | 60–70 | 0.46 | 0.017 | 2.44 | 0.01 | 0 | 0 |
| 1 | Pre4 | Pre | 70–80 | 0 | 0 | 0 | 0 | 0 | 0 |
| 1 | Pre4 | Pre | 80–90 | 0 | 0 | 0 | 0 | 0 | 0 |
| 1 | Pre4 | Pre | 90–100 | 0 | 0 | 0 | 0 | 0 | 0 |
| 1 | Pre5 | Pre | 0–10 | 63.53 | 0.025 | 10.68 | 0.01 | 27.26 | 0.025 |
| 1 | Pre5 | Pre | 10–20 | 10.1 | 0.025 | 8.45 | 0.02 | 0.78 | 0.002 |
| 1 | Pre5 | Pre | 20–30 | 2.18 | 0.024 | 8.53 | 0.016 | 0 | 0 |
| 1 | Pre5 | Pre | 30–40 | 0.55 | 0.007 | 1.35 | 0.008 | 0 | 0 |
| 1 | Pre5 | Pre | 40–50 | 3.27 | 0.008 | 0 | 0 | 0 | 0 |
| 1 | Pre5 | Pre | 50–60 | 0.01 | 0.003 | 0 | 0 | 0 | 0 |
| 1 | Pre5 | Pre | 60–70 | 0 | 0 | 0 | 0 | 0 | 0 |
| 1 | Pre5 | Pre | 70–80 | 0 | 0 | 0 | 0 | 0 | 0 |
| 1 | Pre5 | Pre | 80–90 | 0 | 0 | 0 | 0 | 0 | 0 |
| 1 | Pre5 | Pre | 90–100 | 0 | 0 | 0 | 0 | 0 | 0 |
| 1 | Pre6 | Pre | 0–10 | 45.93 | 0.025 | 6.46 | 0.001 | 12.38 | 0.012 |
| 1 | Pre6 | Pre | 10–20 | 12.83 | 0.025 | 6.41 | 0.005 | 5.13 | 0.015 |
| 1 | Pre6 | Pre | 20–30 | 3.67 | 0.025 | 10.8 | 0.015 | 0 | 0 |
| 1 | Pre6 | Pre | 30–40 | 0.79 | 0.014 | 8.13 | 0.009 | 0 | 0 |
| 1 | Pre6 | Pre | 40–50 | 0.29 | 0.01 | 8.64 | 0.009 | 0 | 0 |
| 1 | Pre6 | Pre | 50–60 | 0.05 | 0.001 | 8.33 | 0.014 | 0 | 0 |
| 1 | Pre6 | Pre | 60–70 | 0 | 0 | 0.94 | 0.002 | 0 | 0 |
| 1 | Pre6 | Pre | 70–80 | 0 | 0 | 0 | 0 | 0 | 0 |
| 1 | Pre6 | Pre | 80–90 | 0 | 0 | 0 | 0 | 0 | 0 |
| 1 | Pre6 | Pre | 90–100 | 0 | 0 | 0 | 0 | 0 | 0 |
| 3 | Pre1 | Pre | 0–10 | 51.09 | 0.025 | 0.64 | 0.002 | 0.53 | 0.001 |
| 3 | Pre1 | Pre | 10–20 | 24.85 | 0.025 | 0.79 | 0.003 | 0 | 0 |
| 3 | Pre1 | Pre | 20–30 | 14.43 | 0.025 | 0 | 0.001 | 0 | 0 |
| 3 | Pre1 | Pre | 30–40 | 1.34 | 0.024 | 0 | 0 | 0 | 0 |
| 3 | Pre1 | Pre | 40–50 | 0.17 | 0.015 | 0 | 0 | 0 | 0 |
| 3 | Pre1 | Pre | 50–60 | 0 | 0 | 0 | 0 | 0 | 0 |
| 3 | Pre1 | Pre | 60–70 | 0 | 0 | 0 | 0 | 0 | 0 |
| 3 | Pre1 | Pre | 70–80 | 0 | 0 | 0 | 0 | 0 | 0 |
| 3 | Pre1 | Pre | 80–90 | 0 | 0 | 0 | 0 | 0 | 0 |
| 3 | Pre1 | Pre | 90–100 | 0 | 0 | 0 | 0 | 0 | 0 |
| 3 | Pre2 | Pre | 0–10 | 43.36 | 0.025 | 8.73 | 0.009 | 85.73 | 0.025 |
| 3 | Pre2 | Pre | 10–20 | 10.2 | 0.024 | 11.22 | 0.011 | 2.49 | 0.005 |
| 3 | Pre2 | Pre | 20–30 | 4.31 | 0.022 | 14.65 | 0.016 | 0.34 | 0.002 |
| 3 | Pre2 | Pre | 30–40 | 1.57 | 0.018 | 9.78 | 0.01 | 0 | 0 |
| 3 | Pre2 | Pre | 40–50 | 0.87 | 0.01 | 8.5 | 0.011 | 0 | 0 |
| 3 | Pre2 | Pre | 50–60 | 2.09 | 0.007 | 11.25 | 0.021 | 0 | 0 |
| 3 | Pre2 | Pre | 60–70 | 1.68 | 0.004 | 7.32 | 0.015 | 0 | 0 |
| 3 | Pre2 | Pre | 70–80 | 0.75 | 0.004 | 5.45 | 0.013 | 0 | 0 |
| 3 | Pre2 | Pre | 80–90 | 2.68 | 0.004 | 6.43 | 0.012 | 0 | 0 |
| 3 | Pre2 | Pre | 90–100 | 3.18 | 0.008 | 7.58 | 0.014 | 0 | 0 |
| 3 | Pre3 | Pre | 0–10 | 27.42 | 0.023 | 27.55 | 0.004 | 71.39 | 0.025 |
| 3 | Pre3 | Pre | 10–20 | 8.44 | 0.018 | 9.2 | 0.003 | 10.27 | 0.007 |
| 3 | Pre3 | Pre | 20–30 | 3.82 | 0.015 | 3.13 | 0.007 | 0 | 0 |
| 3 | Pre3 | Pre | 30–40 | 1.15 | 0.008 | 2.13 | 0.002 | 0 | 0 |
| 3 | Pre3 | Pre | 40–50 | 0.38 | 0.004 | 0 | 0 | 0 | 0 |
| 3 | Pre3 | Pre | 50–60 | 0 | 0 | 0 | 0 | 0 | 0 |
| 3 | Pre3 | Pre | 60–70 | 0 | 0 | 0 | 0 | 0 | 0 |
| 3 | Pre3 | Pre | 70–80 | 0 | 0 | 0 | 0 | 0 | 0 |
| 3 | Pre3 | Pre | 80–90 | 0 | 0 | 0 | 0 | 0 | 0 |
| 3 | Pre3 | Pre | 90–100 | 0 | 0 | 0 | 0 | 0 | 0 |
| 3 | Pre4 | Pre | 0–10 | 21.03 | 0.025 | 6.01 | 0.006 | 57.74 | 0.025 |
| 3 | Pre4 | Pre | 10–20 | 5.71 | 0.025 | 11.55 | 0.012 | 0.6 | 0.001 |
| 3 | Pre4 | Pre | 20–30 | 3.13 | 0.022 | 8.78 | 0.005 | 0 | 0 |
| 3 | Pre4 | Pre | 30–40 | 0.74 | 0.012 | 14.09 | 0.017 | 0 | 0 |
| 3 | Pre4 | Pre | 40–50 | 0.22 | 0.005 | 13.82 | 0.025 | 0 | 0 |
| 3 | Pre4 | Pre | 50–60 | 0.2 | 0.002 | 15.35 | 0.023 | 0 | 0 |
| 3 | Pre4 | Pre | 60–70 | 0.08 | 0.002 | 15.9 | 0.024 | 0 | 0 |
| 3 | Pre4 | Pre | 70–80 | 0.07 | 0.001 | 12.79 | 0.024 | 0 | 0 |
| 3 | Pre4 | Pre | 80–90 | 0 | 0 | 3.79 | 0.014 | 0 | 0 |
| 3 | Pre4 | Pre | 90–100 | 0 | 0 | 1.97 | 0.007 | 0 | 0 |
| 3 | Pre5 | Pre | 0–10 | 11.71 | 0.024 | 0 | 0.002 | 56.43 | 0.025 |
| 3 | Pre5 | Pre | 10–20 | 8.98 | 0.024 | 4.37 | 0.003 | 0 | 0 |
| 3 | Pre5 | Pre | 20–30 | 1.13 | 0.012 | 4.66 | 0.005 | 0 | 0 |
| 3 | Pre5 | Pre | 30–40 | 0.82 | 0.009 | 10.67 | 0.02 | 0 | 0 |
| 3 | Pre5 | Pre | 40–50 | 0.44 | 0.008 | 10.14 | 0.016 | 0 | 0 |
| 3 | Pre5 | Pre | 50–60 | 0.32 | 0.006 | 8.98 | 0.018 | 0 | 0 |
| 3 | Pre5 | Pre | 60–70 | 0.2 | 0.005 | 8.64 | 0.014 | 0 | 0 |
| 3 | Pre5 | Pre | 70–80 | 0 | 0 | 0 | 0 | 0 | 0 |
| 3 | Pre5 | Pre | 80–90 | 0 | 0 | 0 | 0 | 0 | 0 |
| 3 | Pre5 | Pre | 90–100 | 0 | 0 | 0 | 0 | 0 | 0 |
| 3 | Pre6 | Pre | 0–10 | 16.14 | 0.023 | 13.07 | 0.014 | 33.3 | 0.025 |
| 3 | Pre6 | Pre | 10–20 | 3.05 | 0.022 | 11.43 | 0.017 | 0 | 0.001 |
| 3 | Pre6 | Pre | 20–30 | 1.02 | 0.014 | 14.29 | 0.017 | 0.15 | 0 |
| 3 | Pre6 | Pre | 30–40 | 0.65 | 0.007 | 23.2 | 0.025 | 0 | 0 |
| 3 | Pre6 | Pre | 40–50 | 0.64 | 0.009 | 13.11 | 0.023 | 0 | 0 |
| 3 | Pre6 | Pre | 50–60 | 0 | 0.005 | 0 | 0 | 0 | 0 |
| 3 | Pre6 | Pre | 60–70 | 0.06 | 0.004 | 0 | 0 | 0 | 0 |
| 3 | Pre6 | Pre | 70–80 | 0 | 0 | 0 | 0 | 0 | 0 |
| 3 | Pre6 | Pre | 80–90 | 0 | 0 | 0 | 0 | 0 | 0 |
| 3 | Pre6 | Pre | 90–100 | 0 | 0 | 0 | 0 | 0 | 0 |
| 1 | Post1 | Post | 0–10 | 1.01 | 0.009 | 22.52 | 0.004 | 8.13 | 0.011 |
| 1 | Post1 | Post | 10–20 | 0.19 | 0.002 | 17.78 | 0.004 | 0 | 0 |
| 1 | Post1 | Post | 20–30 | 0 | 0 | 16.86 | 0.009 | 0 | 0 |
| 1 | Post1 | Post | 30–40 | 0 | 0 | 20.09 | 0.019 | 0 | 0 |
| 1 | Post1 | Post | 40–50 | 0 | 0 | 16.79 | 0.014 | 0 | 0 |
| 1 | Post1 | Post | 50–60 | 0 | 0 | 18.85 | 0.011 | 0 | 0 |
| 1 | Post1 | Post | 60–70 | 0 | 0 | 11.53 | 0.006 | 0 | 0 |
| 1 | Post1 | Post | 70–80 | 0 | 0 | 9.6 | 0.008 | 0 | 0 |
| 1 | Post1 | Post | 80–90 | 0 | 0 | 18.38 | 0.01 | 0 | 0 |
| 1 | Post1 | Post | 90–100 | 0 | 0 | 26.43 | 0.023 | 0 | 0 |
| 1 | Post2 | Post | 0–10 | 0.91 | 0.009 | 2.31 | 0.003 | 2.23 | 0 |
| 1 | Post2 | Post | 10–20 | 0.17 | 0.001 | 4.76 | 0.003 | 0 | 0 |
| 1 | Post2 | Post | 20–30 | 0.02 | 0.002 | 6.24 | 0.006 | 0 | 0 |
| 1 | Post2 | Post | 30–40 | 0 | 0 | 2.33 | 0.003 | 0 | 0 |
| 1 | Post2 | Post | 40–50 | 0 | 0 | 0 | 0 | 0 | 0 |
| 1 | Post2 | Post | 50–60 | 0 | 0 | 0 | 0 | 0 | 0 |
| 1 | Post2 | Post | 60–70 | 0 | 0 | 0 | 0 | 0 | 0 |
| 1 | Post2 | Post | 70–80 | 0 | 0 | 0 | 0 | 0 | 0 |
| 1 | Post2 | Post | 80–90 | 0 | 0 | 0 | 0 | 0 | 0 |
| 1 | Post2 | Post | 90–100 | 0 | 0 | 0 | 0 | 0 | 0 |
| 1 | Post3 | Post | 0–10 | 5.24 | 0.022 | 2.39 | 0.003 | 6.17 | 0.025 |
| 1 | Post3 | Post | 10–20 | 1.81 | 0.008 | 2.99 | 0.004 | 0 | 0 |
| 1 | Post3 | Post | 20–30 | 0.8 | 0.006 | 2.39 | 0.003 | 0 | 0 |
| 1 | Post3 | Post | 30–40 | 0.26 | 0.002 | 5.85 | 0.006 | 0 | 0 |
| 1 | Post3 | Post | 40–50 | 0 | 0 | 16.15 | 0.013 | 0 | 0 |
| 1 | Post3 | Post | 50–60 | 0 | 0 | 4.13 | 0.009 | 0 | 0 |
| 1 | Post3 | Post | 60–70 | 0 | 0 | 3.38 | 0.007 | 0 | 0 |
| 1 | Post3 | Post | 70–80 | 0 | 0 | 0 | 0 | 0 | 0 |
| 1 | Post3 | Post | 80–90 | 0 | 0 | 0 | 0 | 0 | 0 |
| 1 | Post3 | Post | 90–100 | 0 | 0 | 0 | 0 | 0 | 0 |
| 1 | Post6 | Post | 0–10 | 0.76 | 0.013 | 5.28 | 0.004 | 1.19 | 0.004 |
| 1 | Post6 | Post | 10–20 | 0 | 0.008 | 5.44 | 0.003 | 0 | 0 |
| 1 | Post6 | Post | 20–30 | 0 | 0 | 2.25 | 0.001 | 0 | 0 |
| 1 | Post6 | Post | 30–40 | 0 | 0 | 2.86 | 0.002 | 0 | 0 |
| 1 | Post6 | Post | 40–50 | 0 | 0 | 2.46 | 0.006 | 0 | 0 |
| 1 | Post6 | Post | 50–60 | 0 | 0 | 0.99 | 0.005 | 0 | 0 |
| 1 | Post6 | Post | 60–70 | 0 | 0 | 0 | 0 | 0 | 0 |
| 1 | Post6 | Post | 70–80 | 0 | 0 | 0 | 0 | 0 | 0 |
| 1 | Post6 | Post | 80–90 | 0 | 0 | 0 | 0 | 0 | 0 |
| 1 | Post6 | Post | 90–100 | 0 | 0 | 0 | 0 | 0 | 0 |
| 1 | Post1 | Pre | 0–10 | NA | 0.025 | NA | 0.016 | NA | 0.022 |
| 1 | Post1 | Pre | 10–20 | NA | 0.023 | NA | 0.022 | NA | 0 |
| 1 | Post1 | Pre | 20–30 | NA | 0.011 | NA | 0.014 | NA | 0 |
| 1 | Post1 | Pre | 30–40 | NA | 0.002 | NA | 0.014 | NA | 0 |
| 1 | Post1 | Pre | 40–50 | NA | 0 | NA | 0.014 | NA | 0 |
| 1 | Post1 | Pre | 50–60 | NA | 0 | NA | 0.013 | NA | 0 |
| 1 | Post1 | Pre | 60–70 | NA | 0 | NA | 0.009 | NA | 0 |
| 1 | Post1 | Pre | 70–80 | NA | 0 | NA | 0.009 | NA | 0 |
| 1 | Post1 | Pre | 80–90 | NA | 0 | NA | 0.007 | NA | 0 |
| 1 | Post1 | Pre | 90–100 | NA | 0 | NA | 0.019 | NA | 0 |
| 1 | Post2 | Pre | 0–10 | NA | 0.025 | NA | 0.002 | NA | 0.017 |
| 1 | Post2 | Pre | 10–20 | NA | 0.024 | NA | 0.007 | NA | 0.005 |
| 1 | Post2 | Pre | 20–30 | NA | 0.024 | NA | 0.008 | NA | 0.001 |
| 1 | Post2 | Pre | 30–40 | NA | 0.02 | NA | 0.007 | NA | 0 |
| 1 | Post2 | Pre | 40–50 | NA | 0.009 | NA | 0.001 | NA | 0 |
| 1 | Post2 | Pre | 50–60 | NA | 0.001 | NA | 0.002 | NA | 0 |
| 1 | Post2 | Pre | 60–70 | NA | 0 | NA | 0 | NA | 0 |
| 1 | Post2 | Pre | 70–80 | NA | 0 | NA | 0 | NA | 0 |
| 1 | Post2 | Pre | 80–90 | NA | 0 | NA | 0 | NA | 0 |
| 1 | Post2 | Pre | 90–100 | NA | 0 | NA | 0 | NA | 0 |
| 1 | Post3 | Pre | 0–10 | NA | 0.025 | NA | 0.003 | NA | 0.008 |
| 1 | Post3 | Pre | 10–20 | NA | 0.025 | NA | 0.003 | NA | 0.007 |
| 1 | Post3 | Pre | 20–30 | NA | 0.024 | NA | 0.001 | NA | 0.004 |
| 1 | Post3 | Pre | 30–40 | NA | 0.012 | NA | 0.008 | NA | 0.004 |
| 1 | Post3 | Pre | 40–50 | NA | 0.006 | NA | 0.007 | NA | 0.001 |
| 1 | Post3 | Pre | 50–60 | NA | 0 | NA | 0.01 | NA | 0 |
| 1 | Post3 | Pre | 60–70 | NA | 0 | NA | 0.006 | NA | 0 |
| 1 | Post3 | Pre | 70–80 | NA | 0 | NA | 0 | NA | 0 |
| 1 | Post3 | Pre | 80–90 | NA | 0 | NA | 0 | NA | 0 |
| 1 | Post3 | Pre | 90–100 | NA | 0 | NA | 0 | NA | 0 |
| 1 | Post6 | Pre | 0–10 | NA | 0.025 | NA | 0.001 | NA | 0.021 |
| 1 | Post6 | Pre | 10–20 | NA | 0.025 | NA | 0.001 | NA | 0.008 |
| 1 | Post6 | Pre | 20–30 | NA | 0.024 | NA | 0.003 | NA | 0.001 |
| 1 | Post6 | Pre | 30–40 | NA | 0.023 | NA | 0.007 | NA | 0 |
| 1 | Post6 | Pre | 40–50 | NA | 0.014 | NA | 0.022 | NA | 0 |
| 1 | Post6 | Pre | 50–60 | NA | 0.005 | NA | 0.019 | NA | 0 |
| 1 | Post6 | Pre | 60–70 | NA | 0.001 | NA | 0.005 | NA | 0 |
| 1 | Post6 | Pre | 70–80 | NA | 0 | NA | 0 | NA | 0 |
| 1 | Post6 | Pre | 80–90 | NA | 0 | NA | 0 | NA | 0 |
| 1 | Post6 | Pre | 90–100 | NA | 0 | NA | 0 | NA | 0 |
References
- Butler, B.; Teske, C.; Jimenez, D.; O’Brien, J.; Sopko, P.; Wold, C.; Vosburgh, M.; Hornsby, B.; Loudermilk, E.L. Observations of energy transport and rate of spreads from low intensity fires in longleaf pine habitat-RxCADRE 2012. Int. J. Wildland Fire 2016, 25, 76–89. [Google Scholar] [CrossRef][Green Version]
- O’Brien, J.J.; Loudermilk, E.L.; Hornsby, B.; Hudak, A.T.; Bright, B.C.; Dickinson, M.B.; Hiers, J.K.; Teske, C.; Ottmar, R.D. High-resolution infrared thermography for capturing wildland fire behaviour: RxCADRE 2012. Int. J. Wildland Fire 2016, 25, 62–75. [Google Scholar] [CrossRef]
- Linn, R.; Reisner, J.; Colman, J.J.; Winterkamp, J. Studying wildfire behavior using FIRETEC. Int. J. Wildland Fire 2002, 11, 233–246. [Google Scholar] [CrossRef]
- Linn, R.R.; Goodrick, S.; Brambilla, S.; Brown, M.J.; Middleton, R.S.; O’Brien, J.J.; Hiers, J.K. QUIC-fire: A fast-running simulation tool for prescribed fire planning. Environ. Model. Softw. 2020, 125, 104616. [Google Scholar] [CrossRef]
- Mell, W.; Charney, J.; Jenkins, M.A.; Cheney, P.; Gould, J. Numerical simulations of grassland fire behavior from the LANL-FIRETEC and NIST-WFDS models. In Remote Sensing and Modeling Applications to Wildland Fires; Qu, J.J., Sommers, W.T., Yang, R., Riebau, A.R., Eds.; Springer: Berlin/Heidelberg, Germany, 2013; pp. 209–225. [Google Scholar] [CrossRef]
- Hudak, A.T.; Dickinson, M.B.; Bright, B.C.; Kremens, R.L.; Loudermilk, E.L.; O’Brien, J.J.; Hornsby, B.S.; Ottmar, R.D. Measurements relating fire radiative energy density and surface fuel consumption—RxCADRE 2011 and 2012. Int. J. Wildland Fire 2016, 25, 25–37. [Google Scholar] [CrossRef]
- Hudak, A.T.; Kato, A.; Bright, B.C.; Loudermilk, E.L.; Hawley, C.; Restaino, J.C.; Ottmar, R.D.; Prata, G.A.; Cabo, C.; Prichard, S.J. Towards spatially explicit quantification of pre and postfire fuels and fuel consumption from traditional and point cloud measurements. For. Sci. 2020, 66, 428–442. [Google Scholar] [CrossRef]
- Rowell, E.M.; Seielstad, C.A.; Ottmar, R.D. Development and validation of fuel height models for terrestrial lidar—RxCADRE 2012. Int. J. Wildland Fire 2016, 25, 38–47. [Google Scholar] [CrossRef]
- Zajkowski, T.J.; Dickinson, M.B.; Hiers, J.K.; Holley, W.; Williams, B.W.; Paxton, A.; Martinez, O.; Walker, G.W. Evaluation and use of remotely piloted aircraft systems for operations and research–RxCADRE 2012. Int. J. Wildland Fire 2016, 25, 114–128. [Google Scholar] [CrossRef]
- Chuvieco, E.; Aguado, I.; Salas, J.; García, M.; Yebra, M.; Oliva, P. Satellite remote sensing contributions to wildland fire science and management. Curr. For. Rep. 2020, 6, 81–96. [Google Scholar] [CrossRef]
- Brown, J.K.; Oberheu, R.D.; Johnston, C.M. Handbook for Inventorying Surface Fuels and Biomass in the Interior West; Gen. Tech. Rep. INT-129; U.S. Department of Agriculture, Forest Service, Intermountain Forest and Range Experimental Station: Ogden, UT, USA, 1982; p. 48. [Google Scholar] [CrossRef]
- Brown, J.K. Handbook for Inventorying Downed Woody Material; Gen. Tech. Rep. INT-16; U.S. Department of Agriculture, Forest Service, Intermountain Forest and Range Experimental Station: Ogden, UT, USA, 1974; p. 24. [Google Scholar]
- Ottmar, R.D.; Sandberg, D.V.; Riccardi, C.L.; Prichard, S.J. An overview of the Fuel Characteristic Classification System-Quantifying, classifying, and creating fuelbeds for resource planning. Can. J. For. Res. 2007, 37, 2383–2393. [Google Scholar] [CrossRef]
- Keane, R.E.; Dickinson, L.J. Development and Evaluation of the Photoload Sampling Technique; Research Paper RMRS-RP-61; U.S. Department of Agriculture, Forest Service, Rocky Mountain Research Station: Fort Collins, CO, USA, 2007; p. 29. [Google Scholar] [CrossRef]
- Linn, R.R.; Cunningham, P. Numerical simulations of grass fires using a coupled atmosphere—Fire model: Basic fire behavior and dependence on wind speed. J. Geophys. Res. 2005, 110, D13107. [Google Scholar] [CrossRef]
- Parsons, R.A.; Mell, W.E.; McCauley, P. Linking 3D spatial models of fuels and fire: Effects of spatial heterogeneity on fire behavior. Ecol. Model. 2011, 222, 679–691. [Google Scholar] [CrossRef]
- Hiers, J.K.; O’Brien, J.J.; Mitchell, R.J.; Grego, J.M.; Loudermilk, E.L. The wildland fuel cell concept: An approach to characterize fine-scale variation in fuels and fire in frequently burned longleaf pine forests. Int. J. Wildland Fire 2009, 18, 315–325. [Google Scholar] [CrossRef]
- Loudermilk, E.L.; Hiers, J.K.; O’Brien, J.J.; Mitchell, R.J.; Singhania, A.; Fernandez, J.C.; Cropper, W.P.; Slatton, K.C. Ground-based LIDAR: A novel approach to quantify fine-scale fuelbed characteristics. Int. J. Wildland Fire 2009, 18, 676–685. [Google Scholar] [CrossRef]
- Loudermilk, E.L.; O’Brien, J.J.; Mitchell, R.J.; Cropper, W.P.; Hiers, J.K.; Grunwald, S.; Grego, J.; Fernandez-Diaz, J.C. Linking complex forest fuel structure and fire behavior at fine scales. Int. J. Wildland Fire 2012, 21, 882–893. [Google Scholar] [CrossRef]
- Hiers, J.K.; O’Brien, J.J.; Varner, J.M.; Butler, B.W.; Dickinson, M.; Furman, J.; Gallagher, M.; Godwin, D.; Goodrick, S.L.; Hood, S.M.; et al. Prescribed fire science: The case for a refined research agenda. Fire Ecol. 2020, 16, 11. [Google Scholar] [CrossRef]
- Anderson, H.E. Aids to Determining Fuel Models for Estimating Fire Behavior; Gen. Tech. Rep. INT-122; U.S. Department of Agriculture, Forest Service, Intermountain Forest and Range Experiment Station: Ogden, UT, USA, 1982; p. 22. [Google Scholar] [CrossRef]
- Snell, J.A. Direct Estimation of Surface Fuel Bulk Density and Loading in Western Montana and Northern Idaho. Master’s Thesis, University of Montana, Missoula, MT, USA, 1979. [Google Scholar]
- Vihnanek, R.E.; Balog, C.S.; Wright, C.S.; Ottmar, R.D.; Kelly, J.W. Stereo photo series for quantifying natural fuels. In Post-Hurricane Fuels in Forests of the Southeast United States; Gen. Tech. Rep. PNW-GTR-803; U.S. Department of Agriculture, Forest Service, Pacific Northwest Research Station: Portland, OR, USA, 2009; Volume XII, p. 53. [Google Scholar] [CrossRef]
- Albini, F.A.; Brown, J.K. Predicting Slash Depth for Fire Modeling; Res. Pap. INT-RP-206; USDA Forest Service, Intermountain Forest and Range Experiment Station: Ogden, UT, USA, 1978; p. 22. [Google Scholar]
- Mitchell, R.J.; Hiers, J.K.; O’Brien, J.; Starr, G. Ecological Forestry in the Southeast: Understanding the Ecology of Fuels. J. For. 2009, 107, 391–397. [Google Scholar]
- Ritter, S.M.; Hoffman, C.M.; Battaglia, M.A.; Stevens-Rumann, C.S.; Mell, W.E. Fine-scale fire patterns mediate forest structure in frequent-fire ecosystems. Ecosphere 2020, 11, e03177. [Google Scholar] [CrossRef]
- Hawley, C.M.; Loudermilk, E.L.; Rowell, E.M.; Pokswinski, S. A novel approach to fuel biomass sampling for 3D fuel characterization. MethodsX 2018, 5, 1597–1604. [Google Scholar] [CrossRef]
- Brown, J.K. Bulk densities of nonuniform surface fuels and their application to fire modeling. For. Sci. 1981, 27, 667–683. [Google Scholar] [CrossRef]
- Wiggers, M.S.; Kirkman, L.K.; Boyd, R.S.; Hiers, J.K. Fine-scale variation in surface fire environment and legume germination in the longleaf pine ecosystem. For. Ecol. Manag. 2013, 310, 54–63. [Google Scholar] [CrossRef]
- Loudermilk, E.L.; Dyer, L.; Pokswinski, S.; Hudak, A.T.; Hornsby, B.; Richards, L.; Dell, J.; Goodrick, S.L.; Hiers, J.K.; O’Brien, J.J. Simulating Groundcover Community Assembly in a Frequently Burned Ecosystem Using a Simple Neutral Model. Front. Plant Sci. 2019, 10, 1107. [Google Scholar] [CrossRef] [PubMed]
- Ottmar, R.D.; Hudak, A.T.; Prichard, S.J.; Wright, C.S.; Restaino, J.C.; Kennedy, M.C.; Vihnanek, R.E. Pre-fire and post-fire surface fuel and cover measurements collected in the south-eastern United States for model evaluation and development—RxCADRE 2008, 2011 and 2012. Int. J. Wildland Fire 2016, 25, 10–24. [Google Scholar] [CrossRef]
- Peterson, J.L. Analysis and Reduction of the Errors of Predicting Prescribed Burn Emissions. Master’s Thesis, University of Washington, Seattle, WA, USA, 1987. [Google Scholar]
- Ottmar, R.D. Wildland fire emissions, carbon, and climate: Modeling fuel consumption. For. Ecol. Manag. 2013, 317, 41–50. [Google Scholar] [CrossRef]
- Rowell, E.; Loudermilk, E.L.; Hawley, C.; Pokswinski, S.; Seielstad, C.; Queen, L.; O’brien, J.J.; Hudak, A.T.; Goodrick, S.; Hiers, J.K. Coupling terrestrial laser scanning with 3D fuel biomass sampling for advancing wildland fuels characterization. For. Ecol. Management. 2020, 462, 117945. [Google Scholar] [CrossRef]
- Glitzenstein, J.S.; Streng, D.R.; Wade, D.D. Fire frequency effects on longleaf pine (Pinus palustris P. Miller) vegetation in South Carolina and Northeast Florida, USA. Nat. Areas J. 2003, 23, 22–37. [Google Scholar]
- Reid, A.M.; Robertson, K.M.; Hmielowski, T.L. Predicting litter and live herb fuel consumption during prescribed fires in native and old-field upland pine communities of the southeastern United States. Can. J. For. Res. 2012, 42, 1611–1622. [Google Scholar] [CrossRef]
- Nelson, R.M.; Hiers, J.K. The influence of fuelbed properties on moisture drying rates and timelags of longleaf pine litter. Can. J. For. Res. 2008, 38, 2394–2404. [Google Scholar] [CrossRef]
- Arguez, A.; Durre, I.; Applequist, S.; Squires, M.; Vose, R.; Yin, X.; Bilotta, R. NOAA US Climate Normals (1981–2010); NOAA National Centers for Environmental Information, U.S. Department of Commerce: Asheville, NC, USA, 2010. [Google Scholar] [CrossRef]
- Robertson, K.M.; Ostertag, T.E. Effects of land use on fuel characteristics and fire behavior in pinelands of Southwest Georgia. In Proceedings of the 23rd Tall Timbers Fire Ecology Conference: Fire in Grassland and Shrubland Ecosystems; Masters, R.E., Galley, K.E.M., Eds.; Tall Timbers Research Station: Tallahassee, FL, USA, 2007; pp. 181–191. [Google Scholar]
- Wright, H.A. Why squirreltail is more tolerant to burning than needle-and-thread. J. Range Manag. 1971, 24, 277–284. [Google Scholar] [CrossRef]
- Engle, D.M.; Mitchell, R.L.; Stevens, R.L. Late growing-season fire effects in mid-successional tallgrass prairies. J. Range Manag. 1998, 51, 115–121. [Google Scholar] [CrossRef]
- Shearman, T.M.; Varner, J.M.; Robertson, K.; Hiers, J.K. Allometry of the pyrophytic Aristida in fire—Maintained longleaf pine—Wiregrass ecosystems. Am. J. Bot. 2019, 106, 18–28. [Google Scholar] [CrossRef] [PubMed]
- Hendricks, J.J.; Wilson, C.A.; Boring, L.R. Foliar litter position and decomposition in a fire-maintained longleaf pine—Wiregrass ecosystem. Can. J. For. Res. 2002, 32, 928–941. [Google Scholar] [CrossRef]
- Mulligan, M.K.; Kirkman, L.K.; Mitchell, R.J. Aristida beyrichiana (wiregrass) establishment and recruitment: Implications for restoration. Restor. Ecol. 2002, 10, 68–76. [Google Scholar] [CrossRef]
- Skowronski, N.S.; Gallagher, M.R. Fuels Characterization Techniques. In Encyclopedia of Wildfires and Wildland-Urban Interface (WUI) Fires; Manzello, S.L., Ed.; Springer International Publishing: Cham, Switzerland, 2018; pp. 1–10. [Google Scholar] [CrossRef]
- Van Wagner, C.E. The line intersect method in forest fuel sampling. For. Sci. 1968, 14, 20–26. [Google Scholar] [CrossRef]
- Calders, K.; Adams, J.; Armston, J.; Bartholomeus, H.; Bauwens, S.; Bentley, L.P.; Chave, J.; Danson, F.M.; Demol, M.; Disney, M. Terrestrial laser scanning in forest ecology: Expanding the horizon. Remote Sens. Environ. 2020, 251, 112102. [Google Scholar] [CrossRef]






| Bulk Density of Fuel Categories (kg/m3) | |||
|---|---|---|---|
| Strata (cm) | Live Woody | Herbaceous | Woody Litter |
| 0–10 | 1.05 ± 3.23 a (11) | 1.56 ± 1.33 a (12) | 1.35 ± 1.18 a (12) |
| 10–20 | 0.97 ± 0.74 a (12) | 0.41 ± 0.32 b (12) | 0.38 ± 0.24 b (8) |
| 20–30 | 0.84 ± 0.37 a (11) | 0.14 ± 0.17 c (12) | NA |
| 30–40 | 0.87 ± 0.42 a (10) | 0.09 ± 0.04 d (12) | NA |
| 40–50 | 0.79 ± 0.37 a (8) | 0.06 ± 0.05 d (11) | NA |
| 50–60 | 0.60 ± 0.20 a (7) | 0.05 ± 0.01 d (8) | NA |
| 60–70 | 0.62 ± 0.20 a (7) | 0.04 ± 0.01 d (6) | NA |
| 70–80 | 0.48 ± 0.49 (4) | 0.13 ± 0.06 (2) | NA |
| 80–90 | 0.54 ± 0.23 (3) | NA | NA |
| 90–100 | 0.54 ± 0.47 (3) | NA | NA |
| Estimate Live Woody | Estimate Herbaceous | Estimate Woody Litter | |
|---|---|---|---|
| Intercept | 0.0552 (0.00678) | 6.96 × 10−8 (2.93 × 10−7) | 0.00155 (0.00171) |
| Volume | 3.16 (0.482) | 535 (169) | 143 (45.4) |
| Height 10–20 cm | NA | −1.11 (0.228) | −0.624 (1.56) |
| Height 20–30 cm | NA | −1.40 (0.429) | NA |
| Height 30–40 cm | NA | −1.43 (0.734) | NA |
| R2 | 0.44 | NA | NA |
| Residual Standard Error | 0.0217 | 0.00911 | 0.0123 |
| Paired Plots | ||||
|---|---|---|---|---|
| Plot | Type | Herbaceous | Live Woody | Woody Litter |
| 1 | Shrub | 26.29 | 14.9 | 28.8 |
| 2 | Surface | 73.95 | −4.22 | 19.89 |
| 3 | Shrub | 83.96 | 12.03 | 21.77 |
| 4 | Shrub | 62.86 | 29.26 | 16.32 |
| Median | 68.41 | 13.47 | 20.83 | |
| Regression Estimates | ||||
| Plot | Type | Herbaceous | Live woody | Woody Litter |
| 1 | Shrub | 53.08 | −22.47 | 28.93 |
| 2 | Surface | 59.00 | 2.95 | 19.64 |
| 3 | Shrub | 54.09 | 12.94 | 20.02 |
| 4 | Shrub | 62.92 | 29.25 | 14.05 |
| Median | 56.55 | 7.95 | 19.83 | |
Publisher’s Note: MDPI stays neutral with regard to jurisdictional claims in published maps and institutional affiliations. |
© 2021 by the authors. Licensee MDPI, Basel, Switzerland. This article is an open access article distributed under the terms and conditions of the Creative Commons Attribution (CC BY) license (https://creativecommons.org/licenses/by/4.0/).
Share and Cite
Hiers, Q.A.; Loudermilk, E.L.; Hawley, C.M.; Hiers, J.K.; Pokswinski, S.; Hoffman, C.M.; O’Brien, J.J. Non-Destructive Fuel Volume Measurements Can Estimate Fine-Scale Biomass across Surface Fuel Types in a Frequently Burned Ecosystem. Fire 2021, 4, 36. https://doi.org/10.3390/fire4030036
Hiers QA, Loudermilk EL, Hawley CM, Hiers JK, Pokswinski S, Hoffman CM, O’Brien JJ. Non-Destructive Fuel Volume Measurements Can Estimate Fine-Scale Biomass across Surface Fuel Types in a Frequently Burned Ecosystem. Fire. 2021; 4(3):36. https://doi.org/10.3390/fire4030036
Chicago/Turabian StyleHiers, Quinn A., E. Louise Loudermilk, Christie M. Hawley, J. Kevin Hiers, Scott Pokswinski, Chad M. Hoffman, and Joseph J. O’Brien. 2021. "Non-Destructive Fuel Volume Measurements Can Estimate Fine-Scale Biomass across Surface Fuel Types in a Frequently Burned Ecosystem" Fire 4, no. 3: 36. https://doi.org/10.3390/fire4030036
APA StyleHiers, Q. A., Loudermilk, E. L., Hawley, C. M., Hiers, J. K., Pokswinski, S., Hoffman, C. M., & O’Brien, J. J. (2021). Non-Destructive Fuel Volume Measurements Can Estimate Fine-Scale Biomass across Surface Fuel Types in a Frequently Burned Ecosystem. Fire, 4(3), 36. https://doi.org/10.3390/fire4030036

