Next Article in Journal
Soil Enzyme Activity and Soil Nutrients Jointly Influence Post-Fire Habitat Models in Mixed-Conifer Forests of Yosemite National Park, USA
Next Article in Special Issue
Correction: Hanes et al. Preceding Fall Drought Conditions and Overwinter Precipitation Effects on Spring Wildland Fire Activity in Canada. Fire 2020, 3, 24
Previous Article in Journal
Modeling Wildland Firefighter Travel Rates by Terrain Slope: Results from GPS-Tracking of Type 1 Crew Movement
Previous Article in Special Issue
Using Infrared Imagery to Assess Fire Behaviour in a Mulched Fuel Bed in Black Spruce Forests
 
 
Font Type:
Arial Georgia Verdana
Font Size:
Aa Aa Aa
Line Spacing:
Column Width:
Background:
Letter

Effects of Prescribed Burn on Nutrient and Dissolved Organic Matter Characteristics in Peatland Shallow Groundwater

1
Department of Renewable Resources, University of Alberta, Edmonton, AB T6G 2R3, Canada
2
fRI Research, Hinton, AB T7V 1V3, Canada
*
Author to whom correspondence should be addressed.
Submission received: 18 July 2020 / Revised: 18 August 2020 / Accepted: 13 September 2020 / Published: 16 September 2020
(This article belongs to the Special Issue Boreal Fire-Fuels Interactions)

Abstract

Wildfires are a common disturbance in boreal regions and have the potential to affect the waterborne export of organic matter and nutrients from burned catchments. To understand the effect of fire on shallow groundwater chemistry in a forested peatland in northern Alberta, Canada, shallow groundwater monitoring wells were sampled before and after a prescribed burn. The samples were collected from control and treatment wells between May and August 2019. The results indicate no differences in dissolved organic matter concentration and chemical composition between wells in burned and unburned sections but substantially increased nutrient concentrations were found in the burned section. Here, the levels of phosphorus increased and did not return to pre-fire levels at the end of the monitoring period, while the levels of inorganic nitrogen increased and returned to pre-fire levels within a few months. With increasing wildfire activity, or as a result of prescribed burns in the Boreal Plains, we may see implications for downstream water quality, including lake trophic status.

1. Introduction

The landscape in the Boreal Plains of northern Alberta, Canada, is composed of forests, peatlands, and lakes. When peatlands are hydrologically connected to lakes and streams, they are important sources of nutrients and dissolved organic matter (DOM) for downstream ecosystems [1]. Studies from different boreal regions show that peatland cover can be a strong predictor of DOM and nutrient export [2,3]. Excess of nutrients leads to eutrophication in lakes, and DOM affects light conditions and carbon fluxes, while both ultimately influence the functioning of aquatic food webs, and the aquatic greenhouse gas exchange with the atmosphere. Nitrogen, phosphorus, and organic carbon stored within peatlands are susceptible to release through landscape disturbances [4]. It is, however, not fully known how disturbances such as wildfires affect the export of DOM and nutrients from peatlands to downstream ecosystems. The wildfire impacts are not well characterized, in part, because most studies are initiated only after the fire, without any pre-fire data, which can make it hard to detect change.
Wildfires affect soil physical, biological, and chemical properties, including the content of organic matter and nutrients [5,6]. A wildfire changes the composition of soil organic matter in shallow layers through combustion of fresh litter and subsequent decrease in aliphatic carbon, and increased aromaticity resulting from ash/char deposits [6,7]. Bioavailability and reactivity of organic matter can also be affected [8]. Altered composition of the DOM exported from burned catchments may have implications for drinking water treatability [9]. This is important for many small communities in boreal Alberta, which depend on peatland-dominated catchments for water supply.
Modified nutrient stoichiometry in shallow groundwater may affect microbial activity [10], plant uptake of nutrients [11], and vegetation composition [12]. The effects of a wildfire can also be seen in the downstream ecosystems. Wildfires in the boreal landscape have typically increased the export of total phosphorous (TP) in surface water, e.g., [13]. However, contrasting results have been reported for the effect of wildfires on the export of DOM and total nitrogen—studies from boreal catchments in Alaska, northern Alberta and northern Quebec observed increases [14,15], decreases [16], and no change [17].
Given the uncertainty about the response of the boreal ecosystems on the cycling and export of nutrients and organic matter, it is important to better understand the effect of both wildfires and prescribed fires on DOM and nutrient composition in shallow groundwater. This becomes more pressing when we consider the projected increase in wildfire frequency and severity in the future because of climate change, which presents a threat to the large boreal carbon pool [5]. While most studies report results a year or more post-fire, data collected immediately following a wildfire are limited. The goal of this study was to assess the short-term, immediate, effects of a prescribed burn on peatland groundwater DOM and nutrient content.
This study investigates the short-term (three months) effects on the shallow groundwater chemistry as a result of a prescribed burn at the Pelican Mountain research site in northern Alberta (Figure 1) in May 2019. Hydrologic connectivity of peatlands to surface waters through lateral groundwater flow, especially during wet seasons [1], creates a potential for downstream propagation of the fire impacts. The concentrations of dissolved organic carbon (DOC), orthophosphate, inorganic nitrogen (nitrate, nitrite, and ammonium), total dissolved nitrogen (TDN), and total dissolved phosphorus (TDP) were analyzed, as other studies observed post-fire changes in at least some of these parameters in either groundwater, porewater or surface water. In addition, DOM optical properties characterized using select absorbance and fluorescence indices were used to evaluate changes in DOM chemical composition. To determine changes in groundwater chemistry, shallow monitoring wells in both burned and unburned areas were sampled once before and three times following the fire over one growing season. Plant Root Simulator (PRS®) probes were also installed at the same locations after the fire to measure plant available nutrient levels in the near-surface peat.

2. Materials and Methods

The Pelican Mountain research site is a forested peatland representative of the boreal mixedwood forest of northern Alberta (Figure 1). The tree stand is dominated by black spruce (Picea mariana), and the forest floor is covered primarily by feather and Sphagnum spp. mosses, and lichens. The area drains into a first-order beaver-impacted stream to the north. More details about the site can be found in [18]. The objective of the prescribed burn at this site was to test the effectiveness of stem removal fuel treatment in a black spruce forest [18]. The parts of the experimental block monitored in this study were previously thinned (also pruned in the treatment section) in order to reduce fuel loading. The thinning was done during winter by hand crews to ensure the moss-covered forest floor was not disturbed. The prescribed burn took place on 11 May 2019; the crown fire spread fast after ignition and resulted in nearly 100% canopy consumption. Peat burn severity varied from <1 cm for Sphagnum-covered areas to about 10 cm for feather moss-covered areas, with the total ground layer consumption estimated at 0.97 kg m−2 in the thinned area [18].
To collect shallow groundwater samples, monitoring wells were installed within the experimental block in the end of April 2019, including three wells in the control (unburned) section, and three wells in the treatment (burned) section. Wells in each section were spaced equally (where possible) along a transect and usually not more than 50 m apart (Figure 1). Wells were installed using a 2″ Dutch soil auger. Each well was made of a 75-cm section of PVC pipe, with slots in the bottom 30 cm. Water table position in wells was measured with a water level meter during each site visit prior to collecting the samples. Wells were purged once, where they recharged fast, prior to sampling; wells with slow recharge were not purged. A plastic bailer used to collect samples and sample bottles was rinsed prior to filling the bottles.
Wells U1, U2, U3, B1 (Figure 1) were installed in deep peat (no contact with mineral soil). Wells B2 and B3 were also installed in peat but reached mineral soil. Because the movement of water into wells is likely dominated by flow through the upper layers of the peat profile with higher hydraulic conductivity [1], water chemistry in these wells should not be significantly influenced by the mineral soil. All wells in the burned section (B1, B2, B3) were re-installed using the same hole on 28 May because the originally installed PVC pipes melted during the fire.
Wells were sampled once before the fire, on 2 May, and three times after, on 28 May (two weeks after the burn), 10 July, and 10 August 2019, thus covering most of the growing season. Samples from 2 May were filtered in the lab using Whatman™ 0.7 μm glass fiber (GF/F) filters followed by 0.45 μm PES filters. During the remaining site visits, samples were field-filtered using Waterra 0.45 μm groundwater filters. The difference in sample filtration is not expected to affect the results of the study. Water samples were analyzed for DOC and TDN (Shimadzu TOC-LCHP Analyzer, Shimadzu Corporation, Jiangsu, China), ammonium-nitrogen (NH4-N), nitrate-nitrogen (NO3-N), nitrite-nitrogen (NO2-N), orthophosphate-phosphorus (PO4-P) (Thermo Scientific™ Gallery Beermaster Plus Photometric Analyzer, Thermo Fisher Scientific Inc., Vantaa, Finland), and TDP (Thermo Scientific™ iCAP™ 6300 Duo ICP-OES Analyzer, Thermo Fisher Scientific Inc., Cambridge, UK) at the Natural Resources Analytical Laboratory in the Department of Renewable Resources, University of Alberta.
The DOM composition was assessed using ultraviolet–visible absorbance and fluorescence spectroscopy. Absorption was measured using a Shimadzu UV-1280 UV-vis spectrophotometer (Shimadzu Corporation, Kyoto, Japan). The absorption spectra were used to estimate absorbance at 254 nm (A254; [19]), specific UV absorbance at 254 nm (SUVA; [20]), ratio of absorbance values at 250 and 365 nm (E2:E3, [21]), and the ratio of spectral slopes S275–295 to S350–400 (SR; [22]). For samples collected on 28 May and 10 August, fluorescence spectra were obtained using a HORIBA Aqualog® spectrofluorometer. Freshness index (BIX) and humification index (HIX) were calculated using the R package staRdom [23]. BIX is calculated as the ratio between emission at 380 nm (β peak representing recently derived DOM), and the emission maxima between 420 and 435 nm (α peak representing highly decomposed DOM), at an excitation of 310 nm; BIX is a proxy of the degree of decomposition of DOM [24]. HIX is the ratio of fluorescence intensity at 435–480 nm and the total of fluorescence intensities at 300–345 nm and 435–480 nm, at excitation 254 nm [25]; this index is a measure of the degree of humification (lower H:C ratios in humified organic matter).
In addition to the analyses of water samples from wells, Western Ag’s PRS® probes were installed to measure in situ ion availability. The anion and cation probes adsorb ions (nitrate, phosphate, sulphate; ammonium, calcium, potassium, and others) via diffusion through an ion- exchange resin membrane, which mimics ion exchange between plant roots and soils, and serves as a proxy of ion concentrations in peat porewater. A pair of PRS® probes (one for anions and one for cations) was buried near each well on 10 July 2019 and removed a month later; at well B3 in the burned section, two pairs of probes were installed.

3. Results

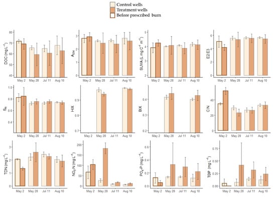
There was no strong evidence of the prescribed burn affecting DOC concentrations in shallow groundwater. DOC concentrations in the unburned section were similar over the monitoring period and among wells, varying between 61.2 and 77.6 mg L−1 (Figure 2, Table S1). Concentrations measured in all wells in this section in early May were slightly higher compared to those measured later, except for well U3 in August (77.6 mg L−1). In the burned section, DOC concentrations in two wells varied between 61.6 and 70.5 mg L−1 (within the range observed in the unburned section) and remained unchanged after the fire. However, in well B1, DOC concentration decreased from 73.2 mg L−1 on 2 May to 47.8 mg L−1 on 28 May and stayed at this level throughout the rest of the monitoring period.
There was no consistent trend observed in the chemical composition of DOM before and after the prescribed burn. There were also no distinct seasonal changes in both the burned and unburned sections. In the unburned section, similar to DOC concentration, DOM optical properties generally varied little throughout the monitoring period. A254 was between 2.52 and 2.74, except for well U1 (3.13) on 2 May and well U3 (3.32) on 10 August. SUVA values, which represent A254 normalized for DOC concentration and are a measure of DOM aromaticity [21], varied from 3.6 to 4.3 L mgC−1 m−1, with the highest variations among wells measured in early May. Parameter E2:E3, which is inversely correlated with molecular size of DOM [21], slightly increased in one of the wells between early and late May and remained unchanged for other wells during the monitoring period. Slope ratio (SR), which is related to the molecular weight of DOM, varied from 0.71 to 0.88, and was slightly higher in early May. Fluorescence indices BIX (0.39–0.43) and HIX (0.95–0.98) measured in late May and August indicated little to no differences among the wells in the unburned section or between sampling events.
In comparison, shallow groundwater samples from the burned section exhibited more variation in DOM composition. Pronounced changes were observed after the fire for select spectral parameters, but they were not consistent among wells (Figure 2, Table S1). For example, A254 decreased from 3.28 to 1.72 after the fire in well B1 and increased from 2.68 to 3.27 in well B3. SUVA values for these wells followed the same pattern as A254, varying between 3.5 and 4.8 L mgC−1 m−1. There was an increase in SUVA in well B3 immediately after the fire (4.2 L mgC−1 m−1 on 2 May to 4.8 L mgC−1 m−1 on 28 May), but the values decreased to the levels comparable to control wells (around 4.3 L mgC−1 m−1) later in the summer. E2:E3 values increased from 3.7 and 4.6 in wells B1 and B2, respectively, in early May to about 6.0 after the fire. The changes in SUVA and E2:E3 suggest that DOM compounds present in shallow groundwater in wells B1 and B2 were less aromatic and relatively smaller in size post-fire. SR values were similar for wells in the burned and unburned section, except an elevated value (1.0) recorded in early May in well B1. BIX (0.39–0.47) and HIX (0.93–0.98) values showed more variability among the wells in the burned section compared to the unburned; a slight increase in the degree of humification (HIX) was recorded in the burned section between late May and August.
Changes in nutrient concentrations, in particular nitrate and phosphate, were more pronounced after the fire compared to the DOC concentrations and composition. TDN content in samples from the burned section was slightly lower than from the unburned section in the beginning of the monitoring period. After the fire, there was a small increase in concentrations in all wells, but only the 28 May concentration (3.44 mg L−1) in well B3 exceeded the range observed in the unburned section (1.81–2.65 mg L−1). The C:N ratio (calculated as the ratio of DOC and TDN concentrations) decreased after the fire but was comparable to the ratios from the unburned section. Concentrations of nitrates increased in all wells in the burned section immediately after the burn but decreased to the background levels in July and August.
The fire had the most pronounced effect on the levels of phosphorus in shallow groundwater (Figure 2). On 2 May, prior to the fire, the concentrations of PO4-P and TDP in the burned section were lower than in the unburned section. There was a large increase in the concentration of PO4-P in well B3 immediately after the fire, from 0.074 mg L−1 on 2 May to 0.712 mg L−1 on 28 May; the concentration decreased to 0.287 mg L−1 by the last sampling event on 10 August. In well B2, there was a steady increase after the fire, with concentrations reaching 0.298 mg L−1 on 10 August, which is almost twice as high as concentrations measured in the unburned section. The concentrations in well B1 barely increased after the fire and remained within the range seen in the unburned section (0.034–0.190 mg L−1) throughout the monitoring period.
Plant available nutrient levels in the near-surface peat generally supported the shallow groundwater sample data (Figure 3). These results indicated higher PO4-P concentrations at the burned section (15.3 μg/10 cm2) compared to the unburned (0.9 μg/10 cm2). Because the PRS® probe results are an average for the three probes installed in the unburned section and four probes in the burned section, no conclusions can be made with respect to individual locations where the probes were installed. No increase in NO3-N was seen at the burned section, likely because the PRS® probes were installed in July, more than a month after the fire, when concentrations in the shallow groundwater decreased based on the samples from wells.
Overall, the fire temporarily increased the concentration of nitrate in shallow groundwater and substantially increased the concentration of phosphate, with the elevated levels sustained throughout the monitoring period. Although several other parameters varied between May and August, the observed trends are inconsistent, and the data are insufficient to relate this variability to the fire.

4. Discussion

DOC concentrations in shallow groundwater were similar (except for well B1) in the burned and unburned sections. The result of no change in DOC concentrations after the prescribed burn is similar to other studies that reported no clear effect on DOC concentrations as a result of wildfires [26,27]. While it is unclear what caused the DOC concentration to decrease at well B1, it could have been caused by wetter conditions at this location (Figure 4). The water table in well B1 did not follow the pattern in the unburned section; the water table was above ground between late May and August. Other water chemistry parameters that changed similarly to DOC concentration in this well were the concentrations of iron and chloride (Table S1). A larger number of wells would be required to assess whether this was an outlier or an indication of wildfire causing reduced DOC concentrations.
The observed patterns in optical parameters at the burned section are generally inconsistent with the findings in [8], who reported higher SUVA and HIX, and lower S275–295 in soil leachates at the burned sites located roughly 120 km northwest of the Pelican Mountain research site. Here, only one well (B3) showed a post-fire increase in aromaticity and the effect did not last. The changes in the optical parameters for wells in the burned section were inconsistent, suggesting that other factors such as hydrology and topography may have influenced the concentration and composition of DOM in shallow groundwater. For example, Davidson et al. (2019) found the antecedent hydrological conditions to be the dominant control on DOC concentration along a burn severity gradient in Northern Alberta [26]. Olefeldt et al. (2013) found that in a region affected by wildfires, microtopography influenced soil leachate DOM composition based on SUVA and HIX results; samples from hollows exhibited higher aromaticity and degree of humification of DOM [8]. In our study, two wells in the burned section (B2 and B3) reached mineral soils underlying a thinner (~40 cm) organic layer compared to other well locations, which may have also influenced the observed differences in shallow groundwater chemistry.
The prescribed fire had high intensity, despite fuel treatment, with the average depth of peat burn of 5.4 cm [18]. In comparison, depth of burn in a treed fen after the 2016 Horse River wildfire was between 9.9 and 16.7 cm [29], and even higher depth of burn values were reported for peatlands after the 2011 Utikuma Complex fire [30]. Peat burn severity in this landscape depends not only on vegetation type (e.g., feather moss vs. Sphagnum spp. mosses) and microtopography [29], but also on the hydrogeological setting [30], thus a large variability in how a wildfire affects a peatland (and its shallow groundwater chemistry) is expected. It is unclear whether other factors like hydrology had an overriding influence on the concentrations and aromaticity of DOM in shallow groundwater, or whether more time is required to see a measurable change in DOM.
There was not enough evidence to conclude that the fire affected TDN and C:N ratio in shallow groundwater. The C:N ratios in soil leachates in other studies were shown to increase [31], decrease [8], or were not affected [27] following a wildfire. The effect on nitrates in shallow groundwater seems to be weak and short-lived, which may be due to nitrogen limitation in this ecosystem [29]. In comparison, nitrate concentrations remained elevated in shallow leachate, but not in shallow groundwater a year after the 2016 Horse River wildfire [29]. However, in another study, increased nitrate export to lakes from burned catchments compared to reference catchments was evident over three years after the wildfires [13].
Catchment studies from different forested regions indicate that higher phosphorus export from burned catchments can be sustained for several years following a wildfire [13,27]. The study period was limited to only three months post-fire and would benefit from continuing into the second year to determine if the effect on phosphorus persists for more than a year.
There was no consistent effect on DOC concentrations and composition following the prescribed fire, and therefore, measurable changes in DOM in aquatic ecosystems downstream of the fire are not expected. However, the fire caused a release of nutrients, which may affect the downstream ecosystems. Other studies showed that increased nutrient concentrations in burned peatlands led to higher nutrient concentrations in the streams [27]. However, this effect may not be realized if the conditions following the fire are dry, in which case these nutrients do not move downstream [32]. The export of carbon from fire-affected watersheds to lakes has been shown to correlate with precipitation, while most of the nitrogen and phosphorus was retained by the terrestrial ecosystem [4]. Thus, elevated nutrient and DOC concentrations in shallow groundwater create a potential for downstream effects, but this effect is only realized under hydrological conditions that allow for connectivity between the peatland and surface waters. Given that this prescribed fire with relatively low peat burn severity resulted in changes in groundwater chemistry, it is reasonable to anticipate more pronounced effects on nutrients from a more severe wildfire. Higher loading of nutrients may lead to increased primary productivity and eutrophication of small lakes abundant in this landscape. With peatlands being the primary sources of runoff in the Boreal Plains [33], along with the projected increased frequency and severity of wildfires as a result of climate warming [34], there is potential for the increased export of nutrients from burned peatlands, which may negatively impact the downstream ecosystems and water users.

Supplementary Materials

The following are available online at https://www.mdpi.com/2571-6255/3/3/53/s1, Table S1: Shallow groundwater Chemistry Results, Table S2: PRS®-Probe (In-Situ Burials) Results.

Author Contributions

Conceptualization, D.O. and A.E.A.; methodology, D.O., J.O., J.H.Y. and A.E.A.; formal analysis, J.O.; investigation, J.O. and J.H.Y.; resources, D.O. and A.E.A.; data curation, D.O.; writing—original draft preparation, J.O.; writing—review and editing, J.O., D.O., J.H.Y. and A.E.A.; visualization, J.O.; supervision, D.O. and A.E.A.; project administration, D.O. and A.E.A.; funding acquisition, D.O. and A.E.A. All authors have read and agreed to the published version of the manuscript.

Funding

This research was funded by the Natural Sciences and Engineering Research Council of Canada (NSERC) strategic research network “forWater” (NETGP-494312-16), and the Campus Alberta Innovates Program (CAIP). The APC was funded by the Campus Alberta Innovates Program. The ministry of Alberta Agriculture and Forestry provided funding and in-kind field accommodations.

Conflicts of Interest

The authors declare no conflict of interest. The funders had no role in the design of the study; in the collection, analyses, or interpretation of data; in the writing of the manuscript, or in the decision to publish the results.

References

  1. Waddington, J.M.; Roulet, N.T. Groundwater flow and dissolved carbon movement in a boreal peatland. J. Hydrol. 1997, 191, 122–138. [Google Scholar] [CrossRef]
  2. Creed, I.F.; Beall, F.D.; Clair, T.A.; Dillon, P.J.; Hesslein, R.H. Predicting export of dissolved organic carbon from forested catchments in glaciated landscapes with shallow soils. Glob. Biogeochem. Cycles 2008, 22. [Google Scholar] [CrossRef]
  3. Laudon, H.; Berggren, M.; Ågren, A.; Buffam, I.; Bishop, K.; Grabs, T.; Jansson, M.; Köhler, S. Patterns and dynamics of dissolved organic carbon (DOC) in boreal streams: The role of processes, connectivity, and scaling. Ecosystems 2011, 14, 880–893. [Google Scholar] [CrossRef]
  4. Emmerton, C.A.; Beaty, K.G.; Casson, N.J.; Graydon, J.A.; Hesslein, R.H.; Higgins, S.N.; Osman, H.; Paterson, M.J.; Park, A.; Tardif, J.C. Long-term responses of nutrient budgets to concurrent climate-related stressors in a boreal watershed. Ecosystems 2019, 22, 363–378. [Google Scholar] [CrossRef]
  5. Turetsky, M.R.; Kane, E.S.; Harden, J.W.; Ottmar, R.D.; Manies, K.L.; Hoy, E.; Kasischke, E.S. Recent acceleration of biomass burning and carbon losses in Alaskan forests and peatlands. Nat. Geosci. 2011, 4, 27–31. [Google Scholar] [CrossRef]
  6. Certini, G. Effects of fire on properties of forest soils: A review. Oecologia 2005, 143, 1–10. [Google Scholar] [CrossRef]
  7. Neff, J.C.; Harden, J.W.; Gleixner, G. Fire effects on soil organic matter content, composition, and nutrients in boreal interior Alaska. Can. J. For. Res. 2005, 35, 2178–2187. [Google Scholar] [CrossRef]
  8. Olefeldt, D.; Turetsky, M.R.; Blodau, C. Altered composition and microbial versus UV-mediated degradation of dissolved organic matter in boreal soils following wildfire. Ecosystems 2013, 16, 1396–1412. [Google Scholar] [CrossRef]
  9. Bladon, K.D.; Emelko, M.B.; Silins, U.; Stone, M. Wildfire and the future of water supply. Environ. Sci Technol. 2014, 48, 8936–8943. [Google Scholar] [CrossRef]
  10. Schimel, J.P.; Weintraub, M.N. The implications of exoenzyme activity on microbial carbon and nitrogen limitation in soil: A theoretical model. Soil Biol. Biochem. 2003, 35, 549–563. [Google Scholar] [CrossRef]
  11. Neff, J.C.; Chapin III, F.S.; Vitousek, P.M. Breaks in the cycle: Dissolved organic nitrogen in terrestrial ecosystems. Front. Ecol. Environ. 2003, 1, 205–211. [Google Scholar] [CrossRef]
  12. Mayner, K.M.; Moore, P.A.; Wilkinson, S.L.; Petrone, R.M.; Waddington, J.M. Delineating boreal plains bog margin ecotones across hydrogeological settings for wildfire risk management. Wetl. Ecol. Manag. 2018, 26, 1037–1046. [Google Scholar] [CrossRef]
  13. Lamontagne, S.; Carignan, R.; D’Arcy, P.; Prairie, Y.T.; Paré, D. 0l Shield drainage basins following forest harvesting and wildfires. Can. J. Fish. Aquat. Sci. 2000, 57, 118–128. [Google Scholar] [CrossRef]
  14. Carignan, R.; D’Arcy, P.; Lamontagne, S. Comparative impacts of fire and forest harvesting on water quality in Boreal Shield lakes. Can. J. Fish. Aquat. Sci. 2000, 57, 105–117. [Google Scholar] [CrossRef]
  15. McEachern, P.; Prepas, E.E.; Gibson, J.J.; Dinsmore, W.P. Forest fire induced impacts on phosphorus, nitrogen, and chlorophyll a concentrations in boreal subarctic lakes of northern Alberta. Can. J. Fish. Aquat. Sci. 2000, 57, 73–81. [Google Scholar] [CrossRef]
  16. Betts, E.F.; Jones, J.B. Impact of wildfire on stream nutrient chemistry and ecosystem metabolism in boreal forest catchments of interior Alaska. Arct. Antarct. Alp. Res. 2009, 41, 407–417. [Google Scholar] [CrossRef]
  17. Marchand, D.; Prairie, Y.T.; Del Giorgio, P.A. Linking forest fires to lake metabolism and carbon dioxide emissions in the boreal region of Northern Québec. Glob. Chang. Biol. 2009, 15, 2861–2873. [Google Scholar] [CrossRef]
  18. Thompson, D.K.; Schroeder, D.; Wilkinson, S.L.; Barber, Q.; Baxter, G.; Cameron, H.; Hsieh, R.; Marshall, G.; Moore, B.; Refai, R.; et al. Recent crown thinning in a boreal black spruce forest does not reduce spread rate nor total fuel consumption: Results from an experimental crown fire in Alberta, Canada. Fire 2020, 3, 28. [Google Scholar] [CrossRef]
  19. Dobbs, R.A.; Wise, R.H.; Dean, R.B. The use of ultra-violet absorbance for monitoring the total organic carbon content of water and wastewater. Water Res. 1972, 6, 1173–1180. [Google Scholar] [CrossRef]
  20. Weishaar, J.L.; Aiken, G.R.; Bergamaschi, B.A.; Fram, M.S.; Fujii, R.; Mopper, K. Evaluation of specific ultraviolet absorbance as an indicator of the chemical composition and reactivity of dissolved organic carbon. Environ. Sci. Technol. 2003, 37, 4702–4708. [Google Scholar] [CrossRef]
  21. De Haan, H.; De Boer, T. Applicability of light absorbance and fluorescence as measures of concentration and molecular size of dissolved organic carbon in humic Lake Tjeukemeer. Water Res. 1987, 21, 731–734. [Google Scholar] [CrossRef]
  22. Helms, J.R.; Stubbins, A.; Ritchie, J.D.; Minor, E.C.; Kieber, D.J.; Mopper, K. Absorption spectral slopes and slope ratios as indicators of molecular weight, source, and photobleaching of chromophoric dissolved organic matter. Limnol. Oceanogr. 2008, 53, 955–969. [Google Scholar] [CrossRef]
  23. Pucher, M.; Wünsch, U.; Weigelhofer, G.; Murphy, K.; Hein, T.; Graeber, D. staRdom: Versatile software for analyzing spectroscopic data of dissolved organic matter in R. Water 2019, 11. [Google Scholar] [CrossRef]
  24. Fellman, J.B.; Hood, E.; Spencer, R.G.M. Fluorescence spectroscopy opens new windows into dissolved organic matter dynamics in freshwater ecosystems: A review. Limnol. Oceanogr. 2010, 55, 2452–2462. [Google Scholar] [CrossRef]
  25. Ohno, T. Fluorescence Inner-Filtering Correction for determining the humification index of dissolved organic matter. Environ. Sci. Technol. 2002, 36, 742–746. [Google Scholar] [CrossRef]
  26. Davidson, S.J.; Elmes, M.C.; Rogers, H.; van Beest, C.; Petrone, R.; Price, J.S.; Strack, M. Hydrogeologic setting overrides any influence of wildfire on pore water dissolved organic carbon concentration and quality at a boreal fen. Ecohydrology 2019, 12, e2141. [Google Scholar] [CrossRef]
  27. Burd, K.; Tank, S.E.; Dion, N.; Quinton, W.L.; Spence, C.; Tanentzap, A.J.; Olefeldt, D. Seasonal shifts in export of DOC and nutrients from burned and unburned peatland-rich catchments, Northwest Territories, Canada. Hydrol. Earth Syst. Sci. 2018, 22, 4455–4472. [Google Scholar] [CrossRef]
  28. Alberta Agriculture and Forestry, Alberta Climate Information Service (ACIS). Current and Historical Alberta Weather Station Data Viewer. Available online: https://acis.alberta.ca/acis/weather-data-viewer.jsp (accessed on 16 March 2020).
  29. van Beest, C.; Petrone, R.; Nwaishi, F.; Waddington, J.M.; Macrae, M. Increased Peatland Nutrient Availability Following the Fort McMurray Horse River Wildfire. Diversity 2019, 11, 142. [Google Scholar] [CrossRef]
  30. Hokanson, K.J.; Lukenbach, M.C.; Devito, K.J.; Kettridge, N.; Petrone, R.M.; Waddington, J.M. Groundwater connectivity controls peat burn severity in the boreal plains. Ecohydrology 2016, 9, 574–584. [Google Scholar] [CrossRef]
  31. O’Donnell, J.A.; Turetsky, M.R.; Harden, J.W.; Manies, K.L.; Pruett, L.E.; Shetler, G.; Neff, J.C. Interactive effects of fire, soil climate, and moss on CO2 fluxes in black spruce ecosystems of interior Alaska. Ecosystems 2009, 12, 57–72. [Google Scholar] [CrossRef]
  32. Olefeldt, D.; Devito, K.J.; Turetsky, M.R. Sources and fate of terrestrial dissolved organic carbon in lakes of a Boreal Plains region recently affected by wildfire. Biogeosciences 2013, 10, 6247–6265. [Google Scholar] [CrossRef]
  33. Devito, K.J.; Hokanson, K.J.; Moore, P.A.; Kettridge, N.; Anderson, A.E.; Chasmer, L.; Hopkinson, C.; Lukenbach, M.C.; Mendoza, C.A.; Morissette, J.; et al. Landscape controls on long-term runoff in subhumid heterogeneous Boreal Plains catchments. Hydrol. Process. 2017, 31, 2737–2751. [Google Scholar] [CrossRef]
  34. Fauria, M.M.; Johnson, E.A. Climate and wildfires in the North American boreal forest. Philos. Trans. Biol. Sci. 2008, 363, 2317–2329. [Google Scholar]
Figure 1. Location of the experimental block and monitoring wells (55°43′ N 113°34′ W) at the Pelican Mountain research site in northern Alberta, Canada, within the Boreal Plains ecozone. Monitoring wells were installed within the unburned (control) and burned (treatment) sections of the experimental block. Wells B1, B2, B3 were within the section burned in May 2019.
Figure 1. Location of the experimental block and monitoring wells (55°43′ N 113°34′ W) at the Pelican Mountain research site in northern Alberta, Canada, within the Boreal Plains ecozone. Monitoring wells were installed within the unburned (control) and burned (treatment) sections of the experimental block. Wells B1, B2, B3 were within the section burned in May 2019.
Fire 03 00053 g001
Figure 2. Concentration of dissolved organic carbon (DOC), nutrients, and dissolved organic matter (DOM) spectral parameters in the burned and unburned sections between 2 May and 10 August 2019. Columns show averages for three wells within each section, error bars represent standard deviation. The sampling event prior to the prescribed burn is highlighted with a brown outline.
Figure 2. Concentration of dissolved organic carbon (DOC), nutrients, and dissolved organic matter (DOM) spectral parameters in the burned and unburned sections between 2 May and 10 August 2019. Columns show averages for three wells within each section, error bars represent standard deviation. The sampling event prior to the prescribed burn is highlighted with a brown outline.
Fire 03 00053 g002
Figure 3. Concentrations of nitrate, ammonia, and phosphate over the burial between 10 July and 10 August 2019 based on Plant Root Simulator (PRS®) probe data. The reported results represent pooled measurements for the burned and unburned sections.
Figure 3. Concentrations of nitrate, ammonia, and phosphate over the burial between 10 July and 10 August 2019 based on Plant Root Simulator (PRS®) probe data. The reported results represent pooled measurements for the burned and unburned sections.
Fire 03 00053 g003
Figure 4. Rainfall and water table during the study period (2 May to 10 August 2019). Rainfall data are from Sandy Lake Auto weather station [28] located approximately 13 km northwest of the Pelican Mountain research site. Water table data represent manual measurements relative to ground surface (0 cm) in each well; negative values show water table below ground. In the unburned section, water table varied within about 15 cm during the sampling events, with the lowest water table recorded in July. After heavy rainstorms in the middle and late July, the water table rose to the levels observed in the beginning of the monitoring period.
Figure 4. Rainfall and water table during the study period (2 May to 10 August 2019). Rainfall data are from Sandy Lake Auto weather station [28] located approximately 13 km northwest of the Pelican Mountain research site. Water table data represent manual measurements relative to ground surface (0 cm) in each well; negative values show water table below ground. In the unburned section, water table varied within about 15 cm during the sampling events, with the lowest water table recorded in July. After heavy rainstorms in the middle and late July, the water table rose to the levels observed in the beginning of the monitoring period.
Fire 03 00053 g004

Share and Cite

MDPI and ACS Style

Orlova, J.; Olefeldt, D.; Yasinski, J.H.; Anderson, A.E. Effects of Prescribed Burn on Nutrient and Dissolved Organic Matter Characteristics in Peatland Shallow Groundwater. Fire 2020, 3, 53. https://doi.org/10.3390/fire3030053

AMA Style

Orlova J, Olefeldt D, Yasinski JH, Anderson AE. Effects of Prescribed Burn on Nutrient and Dissolved Organic Matter Characteristics in Peatland Shallow Groundwater. Fire. 2020; 3(3):53. https://doi.org/10.3390/fire3030053

Chicago/Turabian Style

Orlova, Julia, David Olefeldt, Jonathan H. Yasinski, and Axel E. Anderson. 2020. "Effects of Prescribed Burn on Nutrient and Dissolved Organic Matter Characteristics in Peatland Shallow Groundwater" Fire 3, no. 3: 53. https://doi.org/10.3390/fire3030053

APA Style

Orlova, J., Olefeldt, D., Yasinski, J. H., & Anderson, A. E. (2020). Effects of Prescribed Burn on Nutrient and Dissolved Organic Matter Characteristics in Peatland Shallow Groundwater. Fire, 3(3), 53. https://doi.org/10.3390/fire3030053

Article Metrics

Back to TopTop