Flame Temperatures Saturate with Increasing Dead Material in Ulex europaeus, but Flame Duration, Fuel Consumption and Overall Flammability Continue to Increase
Abstract
1. Introduction
2. Method
2.1. Study Species
2.2. Sample Collection
2.3. Experimental Procedure
2.4. Data Analysis
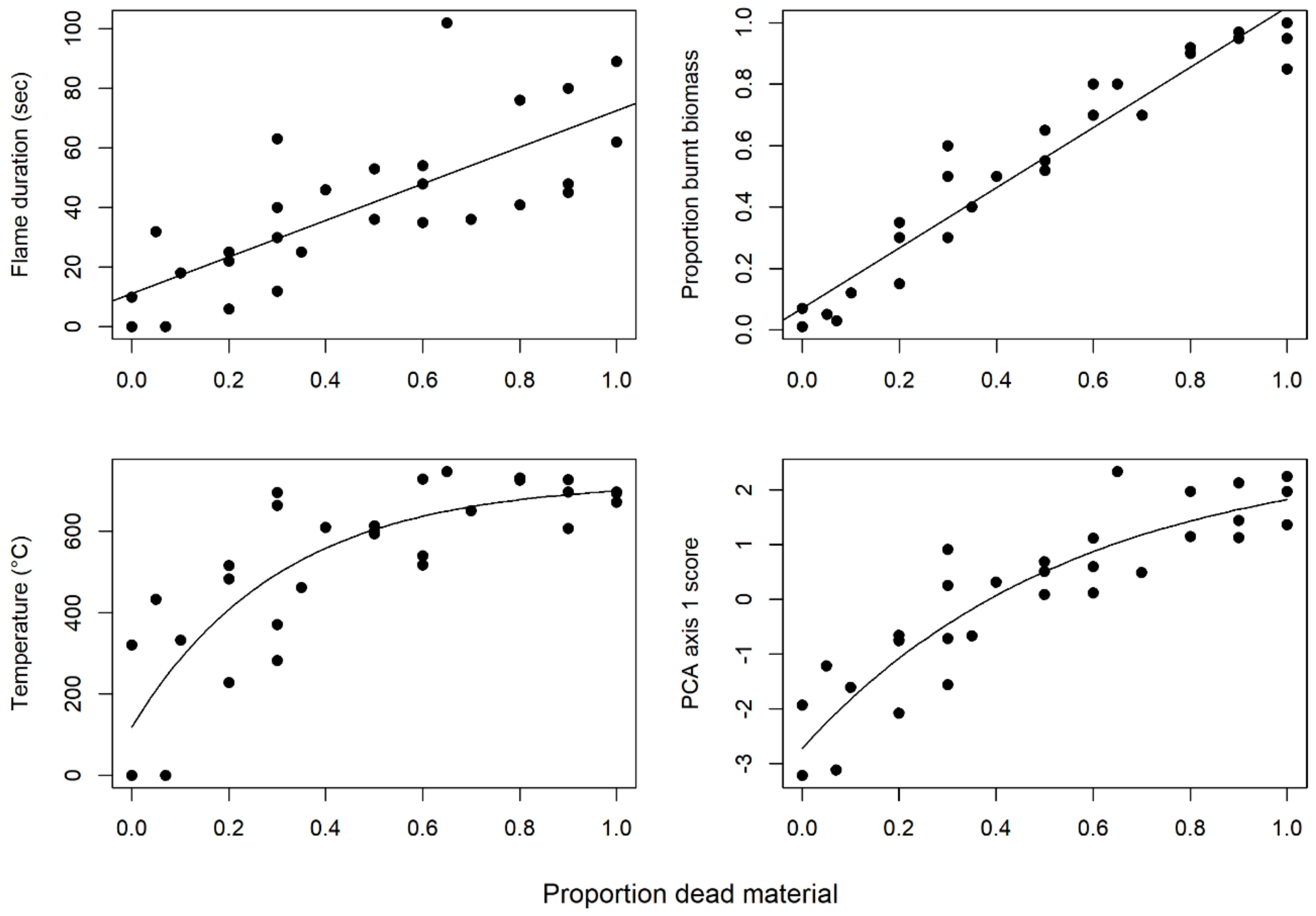
3. Results
4. Discussion
Author Contributions
Funding
Acknowledgements
Conflicts of Interest
References
- Bond, W.J.; Van Wilgen, B.W. Fire and Plants; Population and Community Biology Series; Chapman & Hall: London, UK; CSIR: Stellenbosch, South Africa, 1996. [Google Scholar]
- Whelan, R.J. The Ecology of Fire. In Cambridge Studies in Ecology, 1st ed.; Cambridge University Press: Cambridge, UK, 1995. [Google Scholar]
- Anderson, H.E. Forest fuel ignitibility. Fire Technol. 1970, 6, 312–319. [Google Scholar] [CrossRef]
- White, R.H.; Zipperer, W.C. Testing and classification of individual plants for fire behaviour: Plant selection for the wildland–urban interface. Int. J. Wildl. Fire 2010, 19, 213–227. [Google Scholar] [CrossRef]
- Wragg, P.D.; Mielke, T.; Tilman, D. Forbs, grasses, and grassland fire behaviour. J. Ecol. 2018, 106, 1983–2001. [Google Scholar] [CrossRef]
- Baeza, M.J.; Raventós, J.; Escarré, A.; Vallejo, V.R. Fire risk and vegetation structural dynamics in Mediterranean shrubland. Plant Ecol. 2006, 187, 189–201. [Google Scholar] [CrossRef]
- Cowan, P.D.; Ackerly, D.D. Post-fire regeneration strategies and flammability traits of California chaparral shrubs. Int. J. Wildl. Fire 2010, 19, 984–989. [Google Scholar] [CrossRef]
- Schwilk, D.W. Flammability is a niche construction trait: Canopy architecture affects fire intensity. Am. Nat. 2003, 162, 725–733. [Google Scholar] [CrossRef]
- Baeza, M.J.; De Luıs, M.; Raventós, J.; Escarré, A. Factors influencing fire behaviour in shrublands of different stand ages and the implications for using prescribed burning to reduce wildfire risk. J. Environ. Manag. 2002, 65, 199–208. [Google Scholar] [CrossRef]
- Pausas, J.G.; Alessio, G.A.; Moreira, B.; Corcobado, G. Fires enhance flammability in Ulex parviflorus. New Phytol. 2012, 193, 18–23. [Google Scholar] [CrossRef]
- MacCarter, L.E.; Gaynor, D.L. Gorse: A subject for biological control in New Zealand. N. Z. J. Exp. Agric. 1980, 8, 321–330. [Google Scholar] [CrossRef]
- Papió, C.; Trabaud, L. Structural characteristics of fuel components of five Mediterranean shrubs. For. Ecol. Manag. 1990, 35, 249–259. [Google Scholar] [CrossRef]
- Moreira, B.; Castellanos, M.C.; Pausas, J.G. Genetic component of flammability variation in a Mediterranean shrub. Mol. Ecol. 2014, 23, 1213–1223. [Google Scholar] [CrossRef] [PubMed]
- Rolston, M.P.; Talbot, J. Soil temperatures and regrowth of gorse burnt after treatment with herbicides. N. Z. J. Exp. Agric. 1980, 8, 55–61. [Google Scholar] [CrossRef]
- Fernandes, P.M.; Cruz, M.G. Plant flammability experiments offer limited insight into vegetation–fire dynamics interactions. New Phytol. 2012, 194, 606–609. [Google Scholar] [CrossRef]
- Lee, W.G.; Allen, R.B.; Johnson, P.N. Succession and dynamics of gorse (Ulex europaeus L.) communities in the Dunedin ecological district south island, New Zealand. N. Z. J. Bot. 1986, 24, 279–292. [Google Scholar] [CrossRef]
- Jaureguiberry, P.; Bertone, G.; Diaz, S. Device for the standard measurement of shoot flammability in the field. Austral Ecol. 2011, 36, 821–829. [Google Scholar] [CrossRef]
- Wyse, S.V.; Perry, G.L.; O’Connell, D.M.; Holland, P.S.; Wright, M.J.; Hosted, C.L.; Whitelock, S.L.; Geary, I.J.; Maurin, K.J.; Curran, T.J. A quantitative assessment of shoot flammability for 60 tree and shrub species supports rankings based on expert opinion. Int. J. Wildl. Fire 2016, 25, 466–477. [Google Scholar] [CrossRef]
- Wyse, S.V.; Perry, G.L.; Curran, T.J. Shoot-level flammability of species mixtures is driven by the most flammable species: Implications for vegetation-fire feedbacks favouring invasive species. Ecosystems 2018, 21, 886–900. [Google Scholar] [CrossRef]
- Burger, N.; Bond, W.J. Flammability traits of Cape shrubland species with different post-fire recruitment strategies. S. Afr. J. Bot. 2015, 101, 40–48. [Google Scholar] [CrossRef]
- Padullés Cubino, J.; Buckley, H.L.; Day, N.J.; Pieper, R.; Curran, T.J. Community-level flammability declines over 25 years of plant invasion in grasslands. J. Ecol. 2018, 106, 1582–1594. [Google Scholar] [CrossRef]
- Day, R.W.; Quinn, G.P. Comparisons of treatments after an analysis of variance in ecology. Ecol. Monogr. 1989, 59, 433–463. [Google Scholar] [CrossRef]
- Anderson, D.R. Model Based Inference in the Life Sciences: A Primer on Evidence, 1st ed.; Springer-Verlag: New York, NY, USA, 2007. [Google Scholar]
- Toms, J.D.; Lesperance, M.L. Piecewise regression: A tool for identifying ecological thresholds. Ecology 2003, 84, 2034–2041. [Google Scholar] [CrossRef]
- Madrigal, J.; Marino, E.; Guijarro, M.; Hernando, C.; Díez, C. Evaluation of the flammability of gorse (Ulex europaeus L.) managed by prescribed burning. Ann. For. Sci. 2012, 69, 387–397. [Google Scholar] [CrossRef]




| Model | K | AICc | Delta AICc |
|---|---|---|---|
| Polynomial | 4 | 392.6 | 0.00 |
| Asymptotic | 4 | 393.1 | 0.54 |
| Linear | 3 | 400.9 | 8.36 |
| Model | K | AICc | Delta AICc |
|---|---|---|---|
| Polynomial | 4 | 70.47 | 0.00 |
| Asymptotic | 4 | 70.76 | 0.29 |
| Linear | 3 | 76.02 | 5.55 |
© 2019 by the authors. Licensee MDPI, Basel, Switzerland. This article is an open access article distributed under the terms and conditions of the Creative Commons Attribution (CC BY) license (http://creativecommons.org/licenses/by/4.0/).
Share and Cite
Dent, J.M.; Buckley, H.L.; Lustig, A.; Curran, T.J. Flame Temperatures Saturate with Increasing Dead Material in Ulex europaeus, but Flame Duration, Fuel Consumption and Overall Flammability Continue to Increase. Fire 2019, 2, 6. https://doi.org/10.3390/fire2010006
Dent JM, Buckley HL, Lustig A, Curran TJ. Flame Temperatures Saturate with Increasing Dead Material in Ulex europaeus, but Flame Duration, Fuel Consumption and Overall Flammability Continue to Increase. Fire. 2019; 2(1):6. https://doi.org/10.3390/fire2010006
Chicago/Turabian StyleDent, Jennifer M., Hannah L. Buckley, Audrey Lustig, and Timothy J. Curran. 2019. "Flame Temperatures Saturate with Increasing Dead Material in Ulex europaeus, but Flame Duration, Fuel Consumption and Overall Flammability Continue to Increase" Fire 2, no. 1: 6. https://doi.org/10.3390/fire2010006
APA StyleDent, J. M., Buckley, H. L., Lustig, A., & Curran, T. J. (2019). Flame Temperatures Saturate with Increasing Dead Material in Ulex europaeus, but Flame Duration, Fuel Consumption and Overall Flammability Continue to Increase. Fire, 2(1), 6. https://doi.org/10.3390/fire2010006

