Natural Ventilated Smoke Control Simulation Case Study Using Different Settings of Smoke Vents and Curtains in a Large Atrium
Abstract
1. Introduction
- Numerical Simulations will be performed using the Large Eddy Simulation based computational model on two large-scale atrium fire experiments.
- Additional simulations based on hypothetical scenarios will be performed to investigate the effects of different inlet and outlet configurations, as well as different size smoke curtains.
- The concept of zonings using smoke curtains as well as the control of smoke by pressurisation and natural ventilation via opening vents are investigated through a numerical standpoint.
- According to comprehensive analysis of the numerical simulation results, the overall smoke movement and flow development within the compartment and across each opening’s vents can be comprehensively analyzed to gain more insights on the influence of the smoke curtain.
2. Mathematical Model
3. Experimental Configuration
3.1. Configuration 1 (No Smoke Curtain)
3.2. Configuration 2 (With Smoke Curtain)
4. Modelling Configuration and Boundary Conditions
Mesh Description
5. Results and Discussions
5.1. Temperature Predictions versus Thermocouple Measurements (Case 1)
5.2. Temperature Predictions versus Thermocouple Measurements (Case 2)
5.3. Compartment Temperature and Smoke Layer Height over Time
5.4. Hypothetical Cases
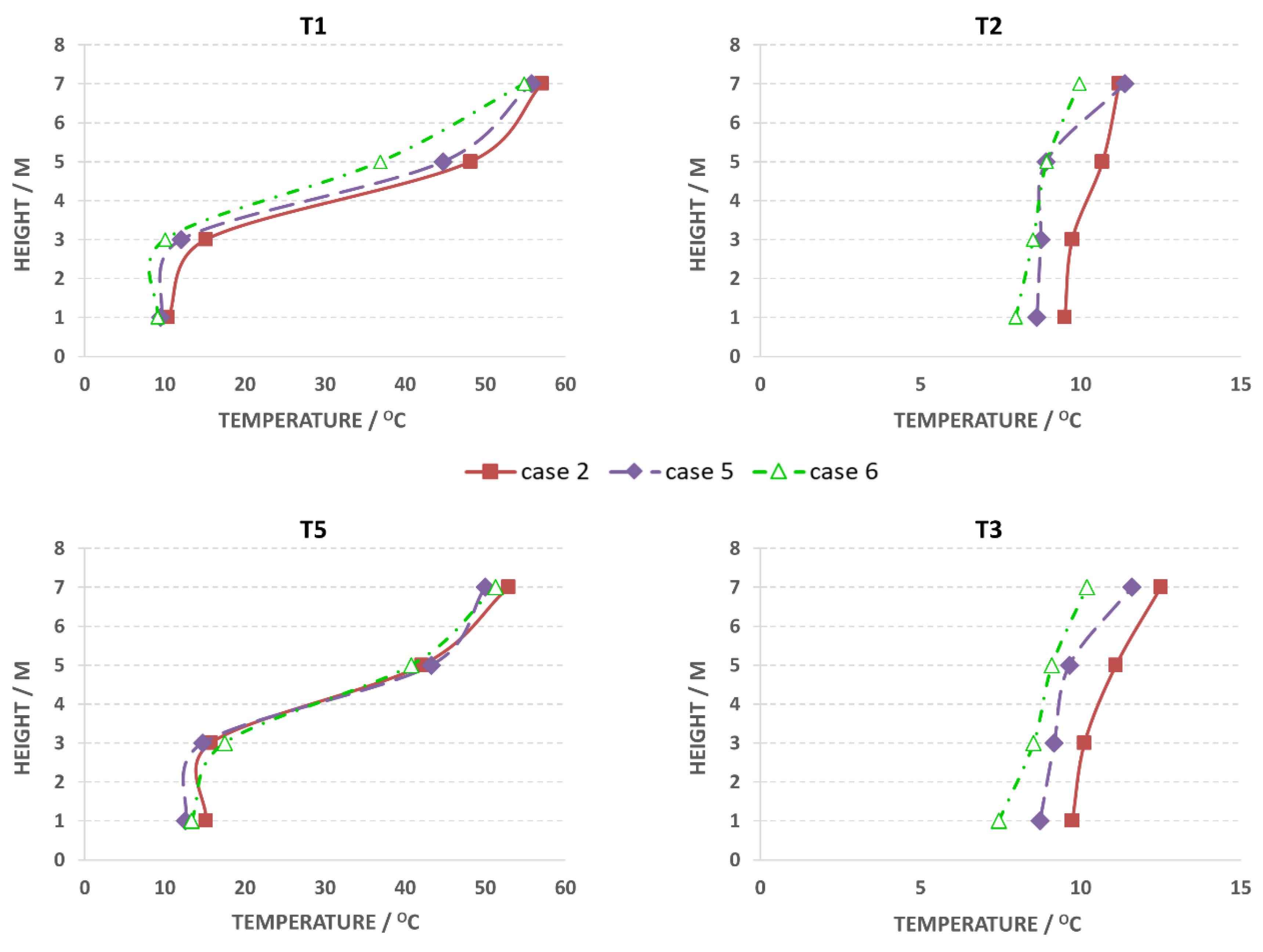
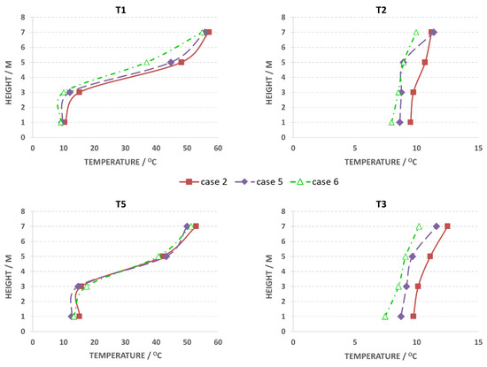
5.4.1. Study of Curtain Height
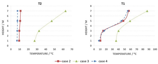
5.4.2. Study of Opening Vents
6. Conclusions
- Smoke curtains are an effective tool to compartmentalise smoke for large-scale atriums which can significantly increase egress time allowed for occupants during fire situations;
- With the application of a smoke curtain, although the smoke layer thickness slightly increased, the smoke extraction rate increased via the outlet vents without any installation of a mechanical system;
- Under the same opening vent configurations, smoke curtains less than 4 m high were not able to completely contain smoke within the fire zone and the overall natural ventilation rate reduced;
- When the floor opening vent was located near the fire source, it might promote the fire size due to an increase in air entrainment.
Author Contributions
Funding
Conflicts of Interest
References
- AS 1851-2012. Routine Service of Fire Protection Systems and Equipment; Standards Australia: Sydney, Australia, 2012. [Google Scholar]
- Buchanan, A. The Challenges of Predicting Structural Performance in Fires. Fire Saf. Sci. 2008, 9, 79–90. [Google Scholar] [CrossRef]
- Bukowski, R.W.; Babrauskas, V. Developing rational, performance-based fire safety requirements in model building codes. Fire Mater. 1994, 18, 173–191. [Google Scholar] [CrossRef]
- Hadjisophocleous, G.; Bénichou, N. Development of performance-based codes, performance criteria and fire safety engineering methods. Int. J. Eng. Perform. Based Fire Codes 2000, 2, 127–142. [Google Scholar]
- Meacham, B.; Bowen, R.; Traw, J.; Moore, A. Performance-based building regulation: Current situation and future needs. Build. Res. Inf. 2005, 33, 91–106. [Google Scholar] [CrossRef]
- Alvarez, A.; Meacham, B.; Dembsey, N.; Thomas, J. Twenty years of performance-based fire protection design: challenges faced and a look ahead. J. Fire Prot. Eng. 2013, 23, 249–276. [Google Scholar] [CrossRef]
- Black, W.Z. Smoke movement in elevator shafts during a high-rise structural fire. Fire Saf. J. 2009, 44, 168–182. [Google Scholar] [CrossRef]
- Yang, W.; Tawiah, B.; Yu, C.; Qian, Y.-F.; Wang, L.-L.; Yuen, A.C.-Y.; Zhu, S.-E.; Hu, E.-Z.; Chen, T.B.-Y.; Yu, B.; et al. Manufacturing, mechanical and flame retardant properties of poly(lactic acid) biocomposites based on calcium magnesium phytate and carbon nanotubes. Compos. Part A Appl. Sci. Manuf. 2018, 110, 227–236. [Google Scholar] [CrossRef]
- Yang, W.; Yang, W.-J.; Tawiah, B.; Zhang, Y.; Wang, L.-L.; Zhu, S.-E.; Chen, T.B.Y.; Yuen, A.C.Y.; Yu, B.; Liu, Y.-F.; et al. Synthesis of anhydrous manganese hypophosphite microtubes for simultaneous flame retardant and mechanical enhancement on poly(lactic acid). Compos. Sci. Technol. 2018, 164, 44–50. [Google Scholar] [CrossRef]
- Gao, R.; Li, A.; Hao, X.; Lei, W.; Deng, B. Prediction of the spread of smoke in a huge transit terminal subway station under six different fire scenarios. Tunn. Undergr. Space Technol. 2012, 31, 128–138. [Google Scholar] [CrossRef]
- Rie, D.-H.; Hwang, M.-W.; Kim, S.-J.; Yoon, S.-W.; Ko, J.-W.; Kim, H.-Y. A study of optimal vent mode for the smoke control of subway station fire. Tunn. Undergr. Space Technol. 2006, 21, 300–301. [Google Scholar] [CrossRef]
- Gao, R.; Li, A.; Hao, X.; Lei, W.; Zhao, Y.; Deng, B. Fire-induced smoke control via hybrid ventilation in a huge transit terminal subway station. Energy Build. 2012, 45, 280–289. [Google Scholar] [CrossRef]
- Capote, J.; Alvear, D.; Abreu, O.; Lazaro, M.; Espina, P. Scale tests of smoke filling in large atria. Fire Technol. 2009, 45, 201. [Google Scholar] [CrossRef]
- Kaye, N.; Hunt, G. Smoke filling time for a room due to a small fire: The effect of ceiling height to floor width aspect ratio. Fire Saf. J. 2007, 42, 329–339. [Google Scholar] [CrossRef]
- Qin, T.; Guo, Y.; Chan, C.; Lin, W. Numerical simulation of the spread of smoke in an atrium under fire scenario. Build. Environ. 2009, 44, 56–65. [Google Scholar] [CrossRef]
- Chen, T.B.Y.; Yuen, A.C.Y.; Yeoh, G.H.; Timchenko, V.; Cheung, S.C.P.; Chan, Q.N.; Yang, W.; Lu, H. Numerical study of fire spread using the level-set method with large eddy simulation incorporating detailed chemical kinetics gas-phase combustion model. J. Comput. Sci. 2018, 24, 8–23. [Google Scholar] [CrossRef]
- Ji, J.; Guo, F.; Gao, Z.; Zhu, J. Effects of ambient pressure on transport characteristics of thermal-driven smoke flow in a tunnel. Int. J. Therm. Sci. 2018, 125, 210–217. [Google Scholar] [CrossRef]
- Ji, J.; Tan, T.; Gao, Z.; Wan, H.; Zhu, J.; Ding, L.J.F.T. Numerical Investigation on the Influence of Length–Width Ratio of Fire Source on the Smoke Movement and Temperature Distribution in Tunnel Fires. Fire Technol. 2019. [Google Scholar] [CrossRef]
- Gutiérrez-Montes, C.; Sanmiguel-Rojas, E.; Kaiser, A.S.; Viedma, A. Numerical model and validation experiments of atrium enclosure fire in a new fire test facility. Build. Environ. 2008, 43, 1912–1928. [Google Scholar] [CrossRef]
- Gutiérrez-Montes, C.; Sanmiguel-Rojas, E.; Viedma, A. Influence of different make-up air configurations on the fire-induced conditions in an atrium. Build. Environ. 2010, 45, 2458–2472. [Google Scholar] [CrossRef]
- Gutiérrez-Montes, C.; Sanmiguel-Rojas, E.; Viedma, A.; Rein, G. Experimental data and numerical modelling of 1.3 and 2.3 MW fires in a 20 m cubic atrium. Build. Environ. 2009, 44, 1827–1839. [Google Scholar] [CrossRef]
- Ayala, P.; Cantizano, A.; Gutiérrez-Montes, C.; Rein, G.J.E. Influence of atrium roof geometries on the numerical predictions of fire tests under natural ventilation conditions. Energy Build. 2013, 65, 382–390. [Google Scholar] [CrossRef]
- Ayala, P.; Cantizano, A.; Sánchez-Úbeda, E.; Gutiérrez-Montes, C.J.F.T. The use of fractional factorial design for atrium fires prediction. Fire Technol. 2017, 53, 893–916. [Google Scholar] [CrossRef]
- Chow, W.K.; Li, Y.Z.; Cui, E.; Huo, R. Natural smoke filling in atrium with liquid pool fires up to 1.6 MW. Build. Environ. 2001, 36, 121–127. [Google Scholar] [CrossRef]
- Hadjisophocleous, G.V.; Fu, Z.; Lougheed, G. Experimental study and zone modeling of smoke movement in a model atrium. ASHRAE Trans. 2002, 108, 868–874. [Google Scholar]
- Lougheed, G.D.; Hadjisophocleous, G.V.; McCartney, C.; Taber, B.C. Large-scale physical model studies for an atrium smoke exhaust system. ASHRAE Trans. 1999, 105, 1–23. [Google Scholar]
- National Fire Protection Association. NFPA 92B. Guide for Smoke Management Systems in Atria, Covered Malls, and Large Areas; National Fire Protection Association: Quincy, MA, USA, 2005. [Google Scholar]
- Tanaka, T.; Yamana, T. Smoke control in large scale spaces—Part 1. Fire Sci. Technol. 1985, 5, 31–40. [Google Scholar] [CrossRef]
- Fu, Z.; Hadjisophocleous, G.V. A Two-zone fire growth and smoke movement model for multi-compartment buildings. Fire Saf. J. 2000, 34, 257–285. [Google Scholar] [CrossRef]
- Yuen, A.C.Y.; Yeoh, G.H.; Yuen, R.K.K.; Chen, T. Numerical Simulation of a Ceiling Jet Fire in a Large Compartment. Procedia Eng. 2013, 52, 3–12. [Google Scholar]
- Yuen, A.C.Y.; Yeoh, G.H. Numerical Simulation of an Enclosure Fire in a Large Test Hall. Comput. Therm. Sci. Int. J. 2013, 5, 459–471. [Google Scholar] [CrossRef]
- Dupuy, J.-L.; Larini, M. Fire spread through a porous forest fuel bed: A radiative and convective model including fire-induced flow effects. Int. J. Wildland Fire 1999, 9, 155–172. [Google Scholar] [CrossRef]
- Chen, T.B.Y.; Yuen, A.C.Y.; Wang, C.; Yeoh, G.H.; Timchenko, V.; Cheung, S.C.P.; Chan, Q.N.; Yang, W. Predicting the fire spread rate of a sloped pine needle board utilizing pyrolysis modelling with detailed gas-phase combustion. Int. J. Heat Mass Transf. 2018, 125, 310–322. [Google Scholar] [CrossRef]
- Yuen, A.C.Y.; Yeoh, G.H.; Alexander, B.; Cook, M. Fire scene investigation of an arson fire incident using computational fluid dynamics based fire simulation. Build. Simul. 2014, 7, 477–487. [Google Scholar] [CrossRef]
- Yuen, A.C.Y.; Chen, T.B.Y.; Yeoh, G.H.; Yang, W.; Cheung, S.C.-P.; Cook, M.; Yu, B.; Chan, Q.N.; Yip, H.L. Establishing pyrolysis kinetics for the modelling of the flammability and burning characteristics of solid combustible materials. J. Fire Sci. 2018. [Google Scholar] [CrossRef]
- Yuen, A.C.Y.; Yeoh, G.H.; Timchenko, V.; Cheung, S.C.P.; Barber, T.J. Importance of detailed chemical kinetics on combustion and soot modelling of ventilated and under-ventilated fires in compartment. Int. J. Heat Mass Transf. 2016, 96, 171–188. [Google Scholar] [CrossRef]
- Yuen, A.C.Y.; Yeoh, G.H.; Timchenko, V.; Chen, T.B.Y.; Chan, Q.N.; Wang, C.; Li, D.D. Comparison of detailed soot formation models for sooty and non-sooty flames in an under-ventilated ISO room. Int. J. Heat Mass Transf. 2017, 115, 717–729. [Google Scholar] [CrossRef]
- Yuen, A.C.Y.; Yeoh, G.H.; Cheung, S.C.P.; Chan, Q.N.; Chen, T.B.Y.; Yang, W.; Lu, H. Numerical study of the development and angular speed of a small-scale fire whirl. J. Comput. Sci. 2018, 27, 21–34. [Google Scholar] [CrossRef]
- Hägglund, B.; Niresus, K.; Werling, P. Effects of Inlets on Natural Fire Vents: An Experimental Study; National Deference Reserach Establishment, Department of Weapons and Protection: Stockholm, Sweden, 1996. [Google Scholar]
- Magnussen, B.F.; Hjertager, B.H. On mathematical modeling of turbulent combustion with special emphasis on soot formation and combustion. Symp. (Int.) Combust. 1977, 16, 719–729. [Google Scholar] [CrossRef]
- Huggett, C. Estimation of rate of heat release by means of oxygen consumption measurements. Fire Mater. 1980, 4, 61–65. [Google Scholar] [CrossRef]
- Smagorinsky, J. General circulation experiments with the primitive equations: I. The basic experiment. Mon. Weather Rev. 1963, 91, 99–164. [Google Scholar] [CrossRef]
- Yuen, A.C.Y.; Yeoh, G.H.; Timchenko, V.; Cheung, S.C.P.; Chan, Q.N.; Chen, T. On the influences of key modelling constants of large eddy simulations for large-scale compartment fires predictions. Int. J. Comput. Fluid Dyn. 2017, 31, 324–337. [Google Scholar] [CrossRef]
- DiNenno, P.J.; Drysdale, D.; Beyler, C.L.; Walton, D.W. SFPE Handbook of Fire Protection Engineering, 3rd ed.; National Fire Protection Association: Quincy, MA, USA, 2002. [Google Scholar]
- Janssens, M.; Tran, H. Data reduction of room tests for zone model validation. J. Fire Sci. 1992, 10, 528–555. [Google Scholar] [CrossRef]
- Zhang, J.; Zhou, X.; Xu, Q.; Yang, L. The inclination effect on CO generation and smoke movement in an inclined tunnel fire. Tunn. Undergr. Space Technol. 2012, 29, 78–84. [Google Scholar] [CrossRef]
- Tilley, N.; Rauwoens, P.; Merci, B. Verification of the accuracy of CFD simulations in small-scale tunnel and atrium fire configurations. Fire Saf. J. 2011, 46, 186–193. [Google Scholar] [CrossRef]
- Chow, W.K.; Gao, Y. Oscillating behaviour of fire-induced air flow through a ceiling vent. Appl. Therm. Eng. 2009, 29, 3289–3298. [Google Scholar] [CrossRef]
- Gao, Z.H.; Ji, J.; Fan, C.G.; Li, L.J.; Sun, J.H. Determination of smoke layer interface height of medium scale tunnel fire scenarios. Tunn. Undergr. Space Technol. 2016, 56, 118–124. [Google Scholar] [CrossRef]
- Chen, X.; Yang, L.; Dend, Z.; Fan, W. A multi-layer zone model for predicting fire behavior in a fire room. Fire Saf. J. 2005, 40, 267–281. [Google Scholar] [CrossRef]
- Suzuki, K.; Harada, K.; Tanaka, T. A multi-layer zone model for predicting fire behavior in a single room. Fire Saf. J. 2003, 7, 851–862. [Google Scholar] [CrossRef]
- Zhang, X.; Hadjisophocleous, G. An improved two-layer zone model applicable to both pre- and post-flashover fires. Fire Saf. J. 2012, 53, 63–71. [Google Scholar] [CrossRef]















| Case | HRR (Heat Release Rate) | Floor Level Openings (A) | Front Top Opening Vents (D) | Rear Top Opening Vents (B) | Smoke Curtain | |||||
|---|---|---|---|---|---|---|---|---|---|---|
| A1 | A2 | D1 | D2 | D3 | B1 | B2 | B3 | |||
| 1 (test5) | 880 kW | ✓ | ✓ | ✓ | ✓ | ✓ | ✕ | ✕ | ✕ | N. A. |
| 2 (test42) | 820 kW | ✕ | ✕ | ✓ | ✕ | ✓ | ✓ | ✕ | ✓ | 4 m |
| 3(proposed) | 820 kW | ✕ | ✕ | ✓ | ✕ | ✓ | ✓ | ✕ | ✓ | 2 m |
| 4(proposed) | 820 kW | ✕ | ✕ | ✓ | ✕ | ✓ | ✓ | ✕ | ✓ | 6 m |
| 5(proposed) | 820 kW | ✓ | ✕ | ✓ | ✕ | ✓ | ✓ | ✕ | ✓ | 4 m |
| 6(proposed) | 820 kW | ✓ | ✓ | ✓ | ✕ | ✓ | ✓ | ✕ | ✓ | 4 m |
| Case 1 | Case 2 | |
|---|---|---|
| Heat release rate, kW | 860 | 820 |
| Internal temperature, K | 288.0 | 286.0 |
| External temperature, K | 281.0 | 279.0 |
| Fuel type | Methanol | Methanol |
| Molar mass of fuel, kgmol−1 | 32 | 32 |
| Heat of combustion of fuel, kJg−1 | 20.0 | 20.0 |
| Area of fuel boundary, m2 | 2 | 2 |
| Mass loss rate, kgs−1 | 0.043 | 0.041 |
© 2019 by the authors. Licensee MDPI, Basel, Switzerland. This article is an open access article distributed under the terms and conditions of the Creative Commons Attribution (CC BY) license (http://creativecommons.org/licenses/by/4.0/).
Share and Cite
Yuen, A.C.Y.; Chen, T.B.Y.; Yang, W.; Wang, C.; Li, A.; Yeoh, G.H.; Chan, Q.N.; Chan, M.C. Natural Ventilated Smoke Control Simulation Case Study Using Different Settings of Smoke Vents and Curtains in a Large Atrium. Fire 2019, 2, 7. https://doi.org/10.3390/fire2010007
Yuen ACY, Chen TBY, Yang W, Wang C, Li A, Yeoh GH, Chan QN, Chan MC. Natural Ventilated Smoke Control Simulation Case Study Using Different Settings of Smoke Vents and Curtains in a Large Atrium. Fire. 2019; 2(1):7. https://doi.org/10.3390/fire2010007
Chicago/Turabian StyleYuen, Anthony Chun Yin, Timothy Bo Yuan Chen, Wei Yang, Cheng Wang, Ao Li, Guan Heng Yeoh, Qing Nian Chan, and Ming Chung Chan. 2019. "Natural Ventilated Smoke Control Simulation Case Study Using Different Settings of Smoke Vents and Curtains in a Large Atrium" Fire 2, no. 1: 7. https://doi.org/10.3390/fire2010007
APA StyleYuen, A. C. Y., Chen, T. B. Y., Yang, W., Wang, C., Li, A., Yeoh, G. H., Chan, Q. N., & Chan, M. C. (2019). Natural Ventilated Smoke Control Simulation Case Study Using Different Settings of Smoke Vents and Curtains in a Large Atrium. Fire, 2(1), 7. https://doi.org/10.3390/fire2010007

