Compositionally Disordered Ceramic (Gd,Y,Tb,Ce)3Al2Ga3O12 Phosphor for an Effective Conversion of Isotopes’ Ionizing Radiation to Light
Abstract
:1. Introduction
2. Materials and Methods
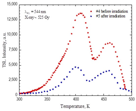
3. Results and Discussion
4. Conclusions
Author Contributions
Funding
Institutional Review Board Statement
Informed Consent Statement
Data Availability Statement
Acknowledgments
Conflicts of Interest
References
- Lecoq, P.; Gektin, A.; Korzhik, M. Inorganic Scintillators for Detector Systems. Particle Acceleration and Detection; Springer: Berlin/Heidelberg, Germany, 2017; p. 408. ISBN 978-3-319-45521-1. [Google Scholar]
- Luo, Z.; Jiang, H.; Jiang, J. Synthesis of Cerium Doped Gd3(Al,Ga)5O12 Powder for Ceramic Scintillators with Ultrasonic-Assisted Chemical Coprecipitation Method. J. Am. Ceram. Soc. 2013, 96, 3038–3041. [Google Scholar] [CrossRef]
- Ye, S.; Xiao, F.; Pan, Y.X.; Ma, Y.Y.; Zhang, Q.Y. Phosphors in phosphor-converted white light emitting diodes: Recentadvances in materials, techniques and properties. Mater. Sci. Eng. 2010, 71, 1–34. [Google Scholar] [CrossRef]
- Marchal, J.; John, T.; Baranwal, R.; Hinklin, T.; Laine, R.M. Yttrium aluminum garnet nanopowders produced by liquid-feed flame spray pyrolysis (LF-FSP) of metalloorganic precursors. Chem. Mater. 2004, 16, 822–831. [Google Scholar] [CrossRef]
- Seeley, Z.M.; Cherepy, N.J.; Payne, S.A. Expanded phase stability of Gd-based garnet transparent ceramics cintillators. J. Mater. Res. 2014, 29, 2332–2337. [Google Scholar] [CrossRef]
- Scheel, H.J.; Capper, P. (Eds.) Crystal Growth Technology: From Fundamentals and Simulation to Large-Scale Production; Wiley-VCH Verlag GmbH & Co. KgaA: Weinheim, Germany, 2008; p. 495. ISBN 9783527623440. [Google Scholar]
- Stepanov, R.S.; Marland, P.I.; Kolobov, A.V. Compositional and Structural Disorder in Two-Dimensional AIIIBVI Materials. Crystals 2023, 13, 1209. [Google Scholar] [CrossRef]
- Zhu, D.; Nikl, M.; Chewpraditkul, W.; Li, J. Development and prospects of garnet ceramic scintillators: A review. J. Adv. Ceram. 2022, 11, 1825–1848. [Google Scholar] [CrossRef]
- Cherepy, N.J.; Kuntz, J.D.; Roberts, J.J.; Hurst, T.A.; Drury, O.B.; Sanner, R.D.; Tillotson, T.M.; Payne, S.A. Transparent ceramic scintillator fabrication, properties, and applications. In Proceedings of the SPIE 7079, Hard X-ray, Gamma-Ray, and Neutron Detector Physics X, San Diego, CA, USA; 2008; p. 70790X. [Google Scholar] [CrossRef]
- Retivov, V.; Dubov, V.; Komendo, I.; Karpyuk, P.; Kuznetsova, D.; Sokolov, P.; Talochka, Y.; Korzhik, M. Compositionally Disordered Crystalline Compounds for Next Generation of Radiation Detectors. Nanomaterials 2022, 12, 4295. [Google Scholar] [CrossRef] [PubMed]
- Corey, Z.J.; Lu, P.; Zhang, G.; Sharma, Y.; Rutherford, B.X.; Dhole, S.; Roy, P.; Wang, Z.; Wu, Y.; Wang, H.; et al. Structural and Optical Properties of High Entropy (La,Lu,Y,Gd,Ce)AlO3 Perovskite Thin Films. Adv. Sci. 2022, 9, 2202671. [Google Scholar] [CrossRef]
- Krawczyk, P.A.; Salamon, W.; Marzec, M.; Szuwarzyński, M.; Pawlak, J.; Kanak, J.; Dziubaniuk, M.; Kubiak, W.W.; Żywczak, A. High-Entropy Perovskite Thin Film in the Gd-Nd-Sm-La-Y-Co System: Deposition, Structure and Optoelectronic Properties. Materials 2023, 16, 4210. [Google Scholar] [CrossRef]
- Yadav, S.K.; Uberuaga, B.P.; Nikl, M.; Jiang, C.; Stanek, C.R. Band-Gap and Band-Edge Engineering of Multicomponent Garnet Scintillators from First Principles. Phys. Rev. Appl. 2015, 4, 054012. [Google Scholar] [CrossRef]
- Gundiah, G.; Bizarri, G.; Hanrahan, S.M.; Weber, M.J.; Bourret-Courchesne, E.D.; Derenzo, S.E. Structure and Scintillation of Eu2+-Activated Solid Solutions in the BaBr2–BaI2 System. Nucl. Instrum. Methods A 2011, 652, 234–237. [Google Scholar] [CrossRef]
- Broerman, B.; Laubenstein, M.; Nagorny, S.; Song, N.; Vincent, A.C. A search for rare and induced nuclear decays in hafnium. Nuclear Physics A 2021, 1012, 122212. [Google Scholar] [CrossRef]
- Hawrami, R.; Ariesanti, E.; Buliga, V.; Matei, L.; Motakef, S.; Burger, A. Advanced high-performance large diameter Cs2HfCl6 (CHC) and mixed halides scintillator. J. Cryst. Growth 2020, 533, 125473. [Google Scholar] [CrossRef]
- Nikl, M.; Yoshikawa, A. Recent R&D Trends in Inorganic Single-Crystal Scintillator Materials for Radiation Detection. Adv. Opt. Mater. 2015, 3, 463–481. [Google Scholar] [CrossRef]
- Witkiewicz-Lukaszek, S.; Gorbenko, V.; Zorenko, T.; Sidletskiy, O.; Gerasymov, I.; Fedorov, A.; Yoshikawa, A.; Mares, J.A.; Nikl, M.; Zorenko, Y. Development of Composite Scintillators Based on Single Crystalline Films and Crystals of Ce3+-Doped (Lu,Gd)3(Al,Ga)5O12 Mixed Garnet Compounds. Cryst. Growth Des. 2018, 18, 1834–1842. [Google Scholar] [CrossRef]
- Kumar, V.; Luo, Z. A Review on X-ray Excited Emission Decay Dynamics in Inorganic Scintillator Materials. Photonics 2021, 8, 71. [Google Scholar] [CrossRef]
- Korzhik, M.; Retivov, V.; Dosovitskiy, G.; Dubov, V.; Kamenskikh, I.; Karpuk, P.; Komendo, I.; Kuznetsova, D.; Smyslova, V.; Mechinsky, V.; et al. First Observation of the Scintillation Cascade in Tb3+-Doped Quaternary Garnet Ceramics. Phys. Status Solidi (RRL) 2023, 17, 2200368. [Google Scholar] [CrossRef]
- Wang, Y.; Li, X. Photoluminesnce properties of BaGdB9O16:Tb3+ codpped Zn2+ or Ce3+ under ultraviolet and vacuum ultraviolet excitation. J. Mater. Res. 2007, 22, 238–243. [Google Scholar] [CrossRef]
- Teng, X.; Li, J.; Duan, G.; Liu, Z. Development of Tb3+ activated gadolinium aluminate garnet (Gd3Al5O12) as highly efficient green-emitting phosphors. J. Lumin. 2016, 179, 165–170. [Google Scholar] [CrossRef]
- Peng, G.; Zou, Z.; Li, J.; Liao, J.; Wen, H. (Gd1−xTbx)3(Al1−yGay)5O12 green phosphors with high quantum yield and low thermal quenching via modulation the Ga3+ admixture. J. Lumin. 2021, 236, 118066. [Google Scholar] [CrossRef]
- Choe, J.Y.; Ravichandran, D.; Blomquist, S.M.; Kirchner, K.W.; Forsythe, E.W.; Morton, D.C. Cathodoluminescence study of novel sol–gel derived Y3−xAl5O12:Tbx phosphors. J. Lumin. 2011, 93, 119–128. [Google Scholar] [CrossRef]
- Chen, J.; Tang, Y.; Yi, X.; Tian, Y.; Ao, G.; Hao, D.; Lin, Y.; Zhou, S. Fabrication of (Tb, Gd)3Al5O12:Ce3+phosphor ceramics for warm white light-emitting diodes application. Opt. Mater. Express 2019, 9, 3333–3341. [Google Scholar] [CrossRef]
- Li, X.; Guan, L.; Liu, C.; Cong, F.; Yang, Z.P. Fabrication and Properties of Ce3+ and Tb3+ Co-Doped Ca2SrAl2O6 Phosphor. Adv. Mater. Res.-Trans. Tech. 2009, 79, 1823–1826. [Google Scholar] [CrossRef]
- Zhang, N.; Guo, C.; Jing, H.; Jeong, J.H. Color tunable emission in Ce3+ and Tb3+ co-doped Ba2Ln(BO3)2Cl (Ln=Gd and Y) phosphors for white light-emitting diodes. Spectrochim. Acta A Mol. Biomol. Spectrosc. 2013, 116, 556–561. [Google Scholar] [CrossRef]
- Gong, M.; Xiang, W.; Liang, W.; Zhong, J.; Chen, D.; Huang, J.; Gu, G.; Yang, C.; Xiang, R. Growth and characterization of air annealing Tb-doped YAG: Ce single crystal for white-light-emitting diode. J. Alloys Compd. 2015, 639, 611–616. [Google Scholar] [CrossRef]
- Wang, S.; Devakumar, B.; Sun, Q.; Liang, J.; Sun, L.; Huang, X. Efficient green-emitting Ca2GdZr2Al3O12:Ce3+, Tb3+ phosphors for near-UV-pumped high-CRI warm-white LEDs. J. Lumin. 2020, 220, 117012. [Google Scholar] [CrossRef]
- Wang, S.; Sun, Q.; Li, B.; Guo, H.; Huang, X. High-efficiency and thermal-stable tunable blue-green-emitting Ca3Lu(AlO)3(BO3)4:Ce3+, Tb3+ phosphors for near-UV-excited white LEDs. Dye. Pigment. 2018, 157, 314–320. [Google Scholar] [CrossRef]
- Yang, Y.-G.; Wei, L.; Xu, J.-H.; Yu, H.-J.; Hu, Y.-Y.; Zhang, H.-D.; Wang, X.-P.; Liu, B.; Zhang, C.; Li, Q.-G. Luminescence of Tb3Al5O12 phosphors co-doped with Ce3+/Gd3+ for white light-emitting diodes. Beilstein J. Nanotech. 2019, 10, 1237–1242. [Google Scholar] [CrossRef] [PubMed]
- Markovskyi, A.; Gieszczyk, W.; Bilski, P.; Fedorov, A.; Bartosiewicz, K.; Paprocki, K.; Zorenko, T.; Zorenko, Y. Composition engineering of Tb3-xGdxAl5-yGayO12:Ce single crystals and their luminescent, scintillation and photoconversion properties. J. Alloys Compd. 2020, 849, 155808. [Google Scholar] [CrossRef]
- Korjik, M.; Bondarau, A.; Dosovitskiy, G.; Dubov, V.; Gordienko, K.; Karpuk, P.; Komendo, I.; Kuznetsova, D.; Mechinsky, V.; Pustovarov, V.; et al. Lanthanoid-doped quaternary garnets as phosphors for high brightness cathodoluminescence-based light sources. Heliyon 2022, 8, e10193. [Google Scholar] [CrossRef]
- Kulesskij, A.; Korovkin, A.; Kruzhalov, A.; Viktorov, L.; Shul’gin, B. Radioluminescence and scintillation properties of monocrystals of silicates of yttrium and rare earth elements. J. Appl. Spectrosc. 1998, 48, 446–449. [Google Scholar] [CrossRef]
- Zavartsev, Y.; Koutovoi, S.; Zagumennyi, A. Czochralski growth and characterisation of large Ce3+:Lu2SiO5 single crystals co-doped with Mg2+ or Ca2+ or Tb3+ for scintillators. J. Cryst. Gr. 2005, 275, e2167–e2171. [Google Scholar] [CrossRef]
- He, D.; Yu, C.; Cheng, J.; Li, S.; Hu, L. Effect of Tb3+ concentration and sensitization of Ce3+ on luminescence properties of terbium doped phosphate scintillating glass. J. Alloys Compd. 2011, 509, 1906–1909. [Google Scholar] [CrossRef]
- Ca, N.X.; Vinh, N.D.; Bharti, S.; Tan, P.M.; Hien, N.T.; Hoa, V.X.; Peng, Y.; Do, P.V. Optical properties of Ce3+ and Tb3+ co-doped ZnS quantum dots. J. Alloys Compd. 2021, 883, 160764. [Google Scholar] [CrossRef]
- Xiao, W.; Liu, X.; Zhang, J.; Qiu, J. Realizing visible light excitation of Tb3+ via highly efficient energy transfer from Ce3+ for LED-based applications. J. Adv. Opt. Mater. 2019, 7, 1801677. [Google Scholar] [CrossRef]
- Yaiphaba, N. Effect of Ce3+ co-doping on GdPO4:Tb3+ nanoparticles: Photoluminescence and energy transfer studies. Asian J. Chem. 2021, 33, 903–908. [Google Scholar] [CrossRef]
- Korjik, M.; Auffray, E. Limits of inorganic scintillating materials to operate in a high dose rate environment at future collider experiments. IEEE Trans. Nucl. Sci. 2016, 63, 552–563. [Google Scholar] [CrossRef]
- Yang, X.; Li, J.; Wang, B. Growth of trivalent ions doped PbWO4 crystals and their scintillation properties. Cryst. Res. Technol. J. Exp. Ind. Cryst. 2004, 39, 297–300. [Google Scholar] [CrossRef]
- Lu, H.; Xu, X.; Feng, G.; Sun, B.; Wang, S.; Wu, S. Terbium doped LiLuF4 nanocrystal scintillator-based flexible composite film for high resolution X-ray imaging. RSC Adv. 2022, 12, 4615–4623. [Google Scholar] [CrossRef]
- Jia, M.; Wen, J.; Pan, X.; Xin, Z.; Pang, F.; He, L.; Wang, T. Tapered fiber radiation sensor based on Ce/Tb:YAG crystals for remote γ-ray dosimetry. Opt. Express 2021, 29, 1210–1220. [Google Scholar] [CrossRef]
- Gorokhova, E.; Demidenko, V.; Mikhrin, S.; Rodnyi, P.; van Eijk, C.W.E. Luminescence and scintillation properties of Gd2O2S:Tb,Ce ceramics. IEEE Trans. Nucl. Sci. 2005, 52, 3129–3132. [Google Scholar] [CrossRef]
- Alenkov, V.; Buzanov, O.; Dosovitskiy, G.; Egorychev, V.; Fedorov, A.; Golutvin, A.; Guz, Y.; Jacobsson, R.; Korjik, M.; Kozlov, D.; et al. Irradiation studies of a multi-doped Gd3Al2Ga3O12 scintillator. Nucl. Instrum. Methods Phys. Res. Sect. A Accel. Spectrometers Detect. Assoc. Equip. 2019, 916, 226–229. [Google Scholar] [CrossRef]
- Jarrell, J.; Cherepy, N.; Seeley, Z.; Murphy, J.; Swanberg, E.; Voss, L.; Frye, C.; Stoyer, M.; Henderson, R.; O’Neal, S.; et al. Beta radiation hardness of GYAGG(Ce) transparent ceramics scintillator. IEEE Trans. Nucl. Sci. 2022, 69, 938–941. [Google Scholar] [CrossRef]
- Korzhik, M.; Borisevich, A.; Fedorov, A.; Gordienko, E.; Karpyuk, P.; Dubov, V.; Sokolov, P.; Mikhlin, A.; Dosovitskiy, G.; Mechninsky, V.; et al. The scintillation mechanisms in Ce and Tb doped (GdxY1−x)Al2Ga3O12 quaternary garnet structure crystalline ceramics. J. Lumin. 2021, 234, 117933. [Google Scholar] [CrossRef]
- Korzhik, M.; Abashev, R.; Fedorov, A.; Dosovitskiy, G.; Gordienko, E.; Kamenskikh, I.; Kazlou, D.; Kuznecova, D.; Mechinsky, V.; Pustovarov, V.; et al. Towards effective indirect radioisotope energy converters with bright and radiation hard scintillators of (Gd,Y)3Al2Ga3O12 family. Nucl. Eng. Technol. 2022, 54, 2579–2585. [Google Scholar] [CrossRef]
- Anderson, J.; Laing, P.; Lau, E.; Liu, A.; Nieto, M.; Turyshev, S. Study of the anomalous acceleration of Pioneer 10 and 11. Phys. Rev. D 2022, 65, 082004. [Google Scholar] [CrossRef]
- Turyshev, S.; Toth, V.; Ellis, J.; Markwardt, C. Support for temporally varying behavior of the Pioneer anomaly from the extended Pioneer 10 and 11 Doppler data sets. Phys. Rev. Lett. 2011, 107, 081103. [Google Scholar] [CrossRef]
- Gordienko, E.; Fedorov, A.; Radiuk, E.; Mechinsky, V.; Dosovitskiy, G.; Vashchenkova, E.; Kuznetsova, D.; Retivov, V.; Dosovitskiy, A.; Korjik, M.; et al. Synthesis of crystalline Ce-activated garnet phosphor powders and technique to characterize their scintillation light yield. Opt. Mater. 2018, 78, 312–318. [Google Scholar] [CrossRef]
- Yanagida, T.; Takahashi, H.; Ito, T.; Kasama, D.; Enoto, T.; Sato, M.; Hirakuri, S.; Kokubun, M.; Makshima, K.; Yanagitani, T.; et al. Evaluation of properties of YAG (Ce) ceramic scintillators. IEEE Trans. Nucl. Sci. 2005, 52, 1836–1841. [Google Scholar] [CrossRef]
- Wolszczak, W.; Dorenbos, P. Nonproportional response of scintillators to alpha particle excitation. IEEE Trans. Nucl. Sci. 2017, 64, 1580–1591. [Google Scholar]
- Riabukhin, O.; Ivanov, V.; Zyrianov, S.; Maksimova, T. The practice of electron and proton accelerators utilizing for industry, education and science. In Proceedings of the International Conference on Accelerators for Research and Sustainable Development: From Good Practices towards Socioeconomic Impact, Vienna, Austria, 23–27 May 2022; Volume 3, pp. 106–113. [Google Scholar]
- Robbins, D.; Cockayne, B.; Lent, B.; Glasper, J. The mechanism of 5D3–5D4 cross-relaxation in Y3Al5O12:Tb3+. Solid State Commun. 1976, 20, 673–676. [Google Scholar] [CrossRef]
- Chu, S.; Ekström, L.; Firestone, R. The Lund/LBNL Nuclear Data Search, Version 2.0; 1999. Available online: http://nucleardata.nuclear.lu.se/toi/ (accessed on 1 July 2023).
- Winberg, M.; Garcia, R. National Low-Level Waste Management Program Radionuclide Report Series: Americium-241; EG and G Idaho, Inc.: Gaithersburg, MD, USA, 1995; Volume 14. [Google Scholar]
- Kavetskiy, A.; Yakubova, G.; Lin, Q.; Chan, D.; Yousaf, S.M.; Bower, K.; Robertso, J.D.; Garnov, A.; Meier, D. Promethium-147 capacitor. Appl. Radiat. Isot. 2009, 67, 1057–1062. [Google Scholar] [CrossRef]
- Kopp, G.; Lean, J.L. A new, lower value of total solar irradiance: Evidence and climate significance. Geophys. Res. Lett. 2011, 38, L01706. [Google Scholar] [CrossRef]









| No. | Composition |
|---|---|
| 1 | (Gd0.373Y0.560Tb0.067Ce0.0003)3Al2Ga3O12 |
| 2 | (Gd0.372Y0.558Tb0.067Ce0.003)3Al2Ga3O12 |
| 3 | (Gd0.367Y0.550Tb0.067Ce0.016)3Al2Ga3O12 |
| 4 | (Gd0.387Y0.580Tb0.03Ce0.0003)3Al2Ga3O12 |
| 5 | (Gd0.385Y0.578Tb0.03Ce0.003)3Al2Ga3O12 |
| 6 | (Gd0.380Y0.570Tb0.03Ce0.016)3Al2Ga3O12 |
| 7 | (Gd0.393Y0.590Tb0.016Ce0.0003)3Al2Ga3O12 |
| 8 | (Gd0.393Y0.590Tb0.016Ce0.003)3Al2Ga3O12 |
| 9 | (Gd0.393Y0.589Tb0.016Ce0.016)3Al2Ga3O12 |
| 10 | (Gd0.387Y0.580Tb0.03)3Al2Ga3O12 |
| Isotope | 238Pu | 241Am | 147Pm |
|---|---|---|---|
| Emitted particles | α-particle emitter | α-particle emitter | β-particle emitter |
| Half-life, year/s | 87.7/2.77 × 109 | 432.2/1.36 × 1010 | 2.62/8.26 × 107 |
| Radiation energy, eV (branching, %) [56] | 5.499 × 106 (71) 5.456 × 106 (29) | 5.486 × 106 (85) 5.443 × 106 (13) 5.388 × 106 (2) | Emax = 224.5 keV (100%) <E> = 61.78 keV |
| Density in metallic form, g/cm3 | 19.8 | 13.8 [57] | 7.26 |
| Activity of 1 cm3, Bq/Ci | 12.53 × 1012/339 | 1.76 × 1012/47.6 | 2.50 × 1014/6756.8 |
| Released energy from 1 cm3, W | 11.1 (α-particles only) | 1.38 (α-particles only) | 3.25 |
| Released energy from 1 g, W | 0.56 (α-particles only) | 0.10 (α-particles only) | 0.46 |
| Released energy from a radioisotope foil with an area of 1 cm2 and a thickness of 1 μm, W | 11.1 × 10−4 | 1.38 × 10−4 | 3.34 × 10−4 |
Disclaimer/Publisher’s Note: The statements, opinions and data contained in all publications are solely those of the individual author(s) and contributor(s) and not of MDPI and/or the editor(s). MDPI and/or the editor(s) disclaim responsibility for any injury to people or property resulting from any ideas, methods, instructions or products referred to in the content. |
© 2023 by the authors. Licensee MDPI, Basel, Switzerland. This article is an open access article distributed under the terms and conditions of the Creative Commons Attribution (CC BY) license (https://creativecommons.org/licenses/by/4.0/).
Share and Cite
Korzhik, M.V.; Karpyuk, P.V.; Bondarau, A.G.; Lelecova, D.E.; Mechinsky, V.A.; Pustovarov, V.; Retivov, V.; Smyslova, V.G.; Tavrunov, D.; Yanushevich, D.N. Compositionally Disordered Ceramic (Gd,Y,Tb,Ce)3Al2Ga3O12 Phosphor for an Effective Conversion of Isotopes’ Ionizing Radiation to Light. Ceramics 2023, 6, 1900-1912. https://doi.org/10.3390/ceramics6030117
Korzhik MV, Karpyuk PV, Bondarau AG, Lelecova DE, Mechinsky VA, Pustovarov V, Retivov V, Smyslova VG, Tavrunov D, Yanushevich DN. Compositionally Disordered Ceramic (Gd,Y,Tb,Ce)3Al2Ga3O12 Phosphor for an Effective Conversion of Isotopes’ Ionizing Radiation to Light. Ceramics. 2023; 6(3):1900-1912. https://doi.org/10.3390/ceramics6030117
Chicago/Turabian StyleKorzhik, Mikhail V., Petr V. Karpyuk, Aliaksei G. Bondarau, Daria E. Lelecova, Vitaly A. Mechinsky, Vladimir Pustovarov, Vasilii Retivov, Valentina G. Smyslova, Dmitry Tavrunov, and Denis N. Yanushevich. 2023. "Compositionally Disordered Ceramic (Gd,Y,Tb,Ce)3Al2Ga3O12 Phosphor for an Effective Conversion of Isotopes’ Ionizing Radiation to Light" Ceramics 6, no. 3: 1900-1912. https://doi.org/10.3390/ceramics6030117
APA StyleKorzhik, M. V., Karpyuk, P. V., Bondarau, A. G., Lelecova, D. E., Mechinsky, V. A., Pustovarov, V., Retivov, V., Smyslova, V. G., Tavrunov, D., & Yanushevich, D. N. (2023). Compositionally Disordered Ceramic (Gd,Y,Tb,Ce)3Al2Ga3O12 Phosphor for an Effective Conversion of Isotopes’ Ionizing Radiation to Light. Ceramics, 6(3), 1900-1912. https://doi.org/10.3390/ceramics6030117

