Effect of Synthetic Approaches and Sintering Additives upon Physicochemical and Electrophysical Properties of Solid Solutions in the System (CeO2)1−x(Nd2O3)x for Fuel Cell Electrolytes
Abstract
1. Introduction
2. Materials and Methods
2.1. Synthesis of (CeO2)1−x(Nd2O3)x (x = 0.05, 0.10, 0.15, 0.20, 0.25)
2.2. Characterization Methods
3. Results and Discussion
3.1. Study of the (CeO2)1−x(Nd2O3)x (x = 0.05; 0.10; 0,15; 0,20; 0,25) Solid Solutions Crystal Structure
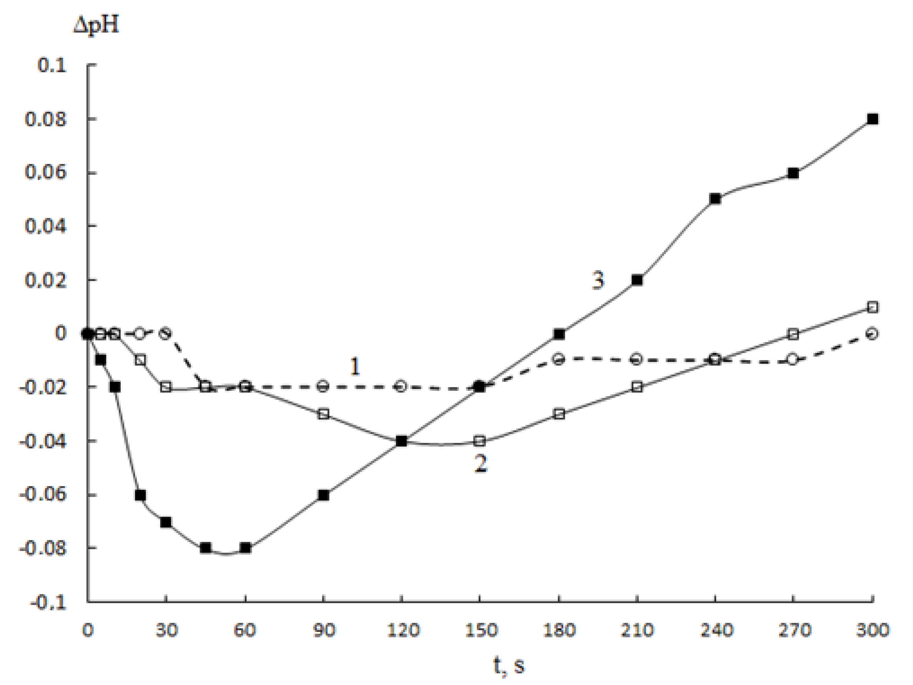
3.2. Characterization of the Powders Surface Properties by Dynamic pH-Metry
3.3. Electrical Properties of (CeO2)1−x(Nd2O3)x (x = 0.05, 0.10, 0.15, 0.20, 0.25) Ceramics
4. Conclusions
Author Contributions
Funding
Institutional Review Board Statement
Informed Consent Statement
Data Availability Statement
Acknowledgments
Conflicts of Interest
References
- Maric, R.; Mirshekari, G. Solid Oxide Fuel Cells, From Fundamental Principles to Complete Systems; CRC Press: Boca Raton, FL, USA, 2021; p. 256. [Google Scholar] [CrossRef]
- Ponomareva, A.A.; Ivanova, A.G.; Shilova, O.A.; Kruchinina, I.Y. Current state and prospects of manufacturing and operation of methane-based fuel cells (review). Glass Phys. Chem. 2016, 42, 1–19. [Google Scholar] [CrossRef]
- Ponomareva, A.; Babushok, V.; Simonenko, E.; Simonenko, N.; Sevast’janov, V.; Shilova, O.; Kruchinina, I. Influence of pH of solution on phase composition of samarium-strontium cobaltite powders synthesized by wet chemical technique. Sol-Gel Sci. Technol. 2018, 87, 74–82. [Google Scholar] [CrossRef]
- Galushko, A.S.; Panova, G.G.; Ivanova, A.G.; Masalovich, M.S.; Zagrebelnyy, O.A.; Kruchinina, I.Y.; Shilova, O.A. An Overview of the Functional Ceramic and Composite Materials for Microbiological Fuel Cells. J. Ceram. Sci. Technol. 2017, 8, 433–454. [Google Scholar] [CrossRef]
- Pachauri, Y.K.; Chauhan, R.P. A study, analysis and power management schemes for fuel cells. Renew. Sustain. Energy Rev. 2015, 43, 1301–1319. [Google Scholar] [CrossRef]
- Rekas, M. Electrolytes for intermediate temperature solid oxide fuel cells. Arch. Metall. Mater. 2015, 60, 891–896. [Google Scholar] [CrossRef]
- Mahato, N.; Banerjee, A.; Gupta, A.; Omar, S.; Balani, K. Progress in material selection for solid oxide fuel cell technology: A review. Prog. Mater. Sci. 2015, 72, 141–337. [Google Scholar] [CrossRef]
- Sal’nikov, V.V.; Pikalova, E.Y. Raman and impedance spectroscopic studies of the specific features of the transport properties of electrolytes based on CeO2. Phys. Solid State 2015, 57, 1944–1952. [Google Scholar] [CrossRef]
- Egorova, T.L.; Kalinina, M.V.; Simonenko, E.P.; Simonenko, N.P.; Shilova, O.A.; Sevastyanov, V.G.; Kuznetsov, N.T. Liquid-Phase Synthesis and Physicochemical Properties of Xerogels, Nanopowders and Thin Films of the CeO2–Y2O3 System. Russ. J. Inorg. Chem. 2016, 61, 1061–1069. [Google Scholar] [CrossRef]
- Ramos-Alvarez, P.; Villafuerte-Castrejón, M.E.; González, G.; Cassir, M.; Flores-Morales, C.; Chávez-Carvayar, J.A. Ceria-based electrolytes with high surface area and improved conductivity for intermediate temperature solid oxide fuel cells. J. Mater. Sci. 2017, 52, 519–532. [Google Scholar] [CrossRef]
- Trovarelli, A. Catalysis by ceria and related materials. Catal. Sci. Ser. L. Imp. Coll. Press 2002, 2, 528. [Google Scholar]
- Kuznetsova, T.G.; Sadykov, V.A. Specific features of the defect structure of metastable nanodisperse ceria, zirconia, and related materials. Kinet. Catal. 2008, 49, 840–858. [Google Scholar] [CrossRef]
- Jud, E.; Gauckler, L.-J. The effect of cobalt oxide addition on the conductivity of Ce0.9Gd0.1O1.95. J. Electroceram. 2005, 15, 159. [Google Scholar] [CrossRef]
- Tian, C.; Chan, S.-W. Ionic Conductivities, Sintering Temperatures and Microstructures of Bulk Ceramic CeO2 Doped with Y2O3. Solid State Ion. 2000, 134, 89–102. [Google Scholar] [CrossRef]
- Moghadasi, M.; Du, W.; Li, M.; Pei, Z.; Ma, C. Ceramic binder jetting additive manufacturing: Effects of particle size on feedstock powder and final part properties. Ceram. Int. 2020, 46, 16966–16972. [Google Scholar] [CrossRef]
- Fathy, A.; Wagih, A.; Abu-Oqail, A. Effect of ZrO2 content on properties of Cu-ZrO2 nanocomposites synthesized by optimized high energy ball milling. Ceram. Int. 2019, 45, 2319–2329. [Google Scholar] [CrossRef]
- Li, Z.; He, Q.; Xia, L.; Xu, Q.; Cheng, C.; Wang, J.; Ni, M. Effects of cathode thickness and microstructural properties on the performance of protonic ceramic fuel cell (PCFC): A 3D modelling study. Int. J. Hydrog. Energy 2022, 47, 4047–4061. [Google Scholar] [CrossRef]
- Khasanov, O.L.; Dvilis, E.S.; Bikbaeva, Z.G. Methods of Compacting of Nanostructured Materials and Articles; Tomsk University: Tomsk, Russia, 2008; 212p. (In Russian) [Google Scholar]
- Shilova, O.A.; Antipov, V.N.; Tikhonov, P.A.; Kruchinina, I.Y.; Panova, T.I.; Morozova, L.V.; Moskovskaya, V.V.; Kalinina, M.V.; Tsvetkova, I.N. Ceramic nanocomposites based on oxides of transition metals of ionistors. Glass Phys. Chem. 2013, 39, 570–578. [Google Scholar] [CrossRef]
- Rempel, A.A.; Gusev, A.I. Nanocrystalline Materials; Cambridge International Science Publishing: Cambridge, UK, 2004; p. 351. ISBN 978-1-898326-26-7. [Google Scholar]
- Lyagaeva, Y.G.; Medvedev, D.A.; Demin, A.K.; Yaroslavtseva, T.V.; Plaksin, S.V.; Porotnikova, N.M. Specific features of preparation of dense ceramic based on barium zirconate. Semiconductors 2014, 48, 1353–1358. [Google Scholar] [CrossRef]
- Duran, P.; Villegas, M.; Capel, F.; Recio, P. Low temperature sintering and microstructural development of nanocrystalline Y-TZP ceramics. J. Eur. Ceram. Soc. 1996, 16, 945–952. [Google Scholar] [CrossRef]
- GOST 473.4-81; Vanadium Base Alloys and Alloying Elements. Methods for Determination of Silicon. GOST Russian Standard: Moscow, Russia, 1981. (In Russian)
- Sergey, V.M.; Maxim, M.S.; Inna, V.V. (Eds.) Electron Beam Modification of Solids: Mechanisms, Common Features and Promising Applications; Nova Science Publishers, Inc.: Hauppauge, NY, USA, 2009; ISBN 978-1-60741-780-4. [Google Scholar]
- Fedorenko, N.Y.; Mjakin, S.V.; Khamova, T.V.; Kalinina, M.V.; Shilova, O.A. Relationship among the Composition, Synthesis Conditions, and Surface Acid-Basic Properties of Xerogel Particles Based on Zirconium Dioxide. Ceram. Int. 2022, 48, 6245–6249. [Google Scholar] [CrossRef]
- Pivovarova, A.P.; Strakhov, V.I.; Popov, V.P. On the mechanism of electron conductivity in lanthanum metaniobate. Tech. Phys. Lett. 2002, 28, 815–817. [Google Scholar] [CrossRef]







| 2θ, ° | dhkl | I | hkl Indices | Cubic Lattice Parameter, Å | Structure |
|---|---|---|---|---|---|
| 28.4453 | 3.14930 | 296.0 | 111 | 5.4545 | Fm3m |
| 32.9427 | 2.72737 | 88.9 | 200 | ||
| 47.0850 | 1.92854 | 137.9 | 220 | ||
| 55.8549 | 1.64467 | 101.1 | 311 | ||
| 58.5220 | 1.57465 | 28.3 | 222 | ||
| 68.7800 | 1.36369 | 20.1 | 400 |
| Composition | Structure, Parameter a, Å | CSR, nm (1300 °C) |
|---|---|---|
| (CeO2)0.95(Nd 2O3)0.05 | F, a = 5.4345 | 90 |
| (CeO2)0.90(Nd 2O3)0.10 | F, a = 5.4421 | 89 |
| (CeO2)0.85(Nd 2O3)0.15 | F, a = 5.4545 | 88 |
| (CeO2)0.80(Nd 2O3)0.20 | F, a = 5.4575 | 85 |
| (CeO2)0.75(Nd 2O3)0.25 | F, a = 5.4653 | 81 |
| Composition | ρ, g/cm3 | ρa, g/cm3 | Po, % | Composition | ρ, g/cm3 | ρa, g/cm3 | Po, % |
|---|---|---|---|---|---|---|---|
| Co-Precipitation | Co-Crystallization | ||||||
| Without sintering additives | |||||||
| (CeO2)0.95(Nd2O3)0.05 | 5.59 | 5.47 | 23.9 | (CeO2)0.95(Nd2O3)0.05 | 6.49 | 6.31 | 9.7 |
| (CeO2)0.90(Nd2O3)0.10 | 4.84 | 4.67 | 29.9 | (CeO2)0.90(Nd2O3)0.10 | 5.91 | 5.76 | 20.5 |
| (CeO2)0.85(Nd2O3)0.15 | 4.86 | 4.74 | 29.4 | (CeO2)0.85(Nd2O3)0.15 | 6.47 | 5.69 | 25.9 |
| (CeO2)0.80(Nd2O3)0.20 | 6.32 | 6.16 | 16.2 | (CeO2)0.80(Nd2O3)0.20 | 5.86 | 5.60 | 25.8 |
| (CeO2)0.75(Nd2O3)0.25 | 5.32 | 5.11 | 21.8 | (CeO2)0.75(Nd2O3)0.25 | 5.29 | 5.06 | 34.2 |
| With SiO2 sintering additive | |||||||
| (CeO2)0.95(Nd2O3)0.05 | 6.12 | 5.57 | 23.5 | (CeO2)0.95(Nd2O3)0.05 | 5.35 | 5.14 | 24.6 |
| (CeO2)0.90(Nd2O3)0.10 | 6.32 | 4.30 | 32.9 | (CeO2)0.90(Nd2O3)0.10 | 4.95 | 4.81 | 31.1 |
| (CeO2)0.85(Nd2O3)0.15 | 6. 25 | 4.53 | 23.8 | (CeO2)0.85(Nd2O3)0.15 | 6.41 | 4.78 | 33.2 |
| (CeO2)0.80(Nd2O3)0.20 | 6.31 | 4.13 | 29.6 | (CeO2)0.80(Nd2O3)0.20 | 5.37 | 4.18 | 40.7 |
| (CeO2)0.75(Nd2O3)0.25 | 4.81 | 4.69 | 25.6 | (CeO2)0.75(Nd2O3)0.25 | 4.64 | 3.98 | 44.3 |
| With ZnO sintering additive | |||||||
| (CeO2)0.95(Nd2O3)0.05 | 6.32 | 6.25 | 10.1 | (CeO2)0.95(Nd2O3)0.05 | 6.70 | 6.41 | 0.6 |
| (CeO2)0.90(Nd2O3)0.10 | 6.65 | 6.52 | 15.5 | (CeO2)0.90(Nd2O3)0.10 | 7.15 | 7.02 | 3.4 |
| (CeO2)0.85(Nd2O3)0.15 | 6.26 | 6.21 | 13.5 | (CeO2)0.85(Nd2O3)0.15 | 6.85 | 6.62 | 6.5 |
| (CeO2)0.80(Nd2O3)0.20 | 7.12 | 6.97 | 9.9 | (CeO2)0.80(Nd2O3)0.20 | 6.62 | 6.54 | 0.6 |
| (CeO2)0.75(Nd2O3)0.25 | 6. 56 | 6.38 | 14.0 | (CeO2)0.75(Nd2O3)0.25 | 4.58 | 6.52 | 1.0 |
| Composition | Specific Conductivity, σ700 °C ·10−2, S/cm | |
|---|---|---|
| Co-Precipitation | Co-Crystallization | |
| (CeO2)0.95(Nd2O3)0.05 | 0.14 | 0.15 |
| (CeO2)0.90(Nd2O3)0.10 | 0.36 | 0.26 |
| (CeO2)0.85(Nd2O3)0.15 | 0.48 | 0.35 |
| (CeO2)0.80(Nd2O3)0.20 | 0.18 | 0.19 |
| (CeO2)0.75(Nd2O3)0.25 | 0.22 | 0.14 |
| Composition | Preparation Method | T. °C | ti | te |
|---|---|---|---|---|
| (CeO2)0.95(Nd2O3)0.05 | co-precipitation | 400 | 0.85 | 0.15 |
| 700 | 0.83 | 0.18 | ||
| (CeO2)0.90(Nd2O3)0.10 | co-precipitation | 400 | 0.93 | 0.07 |
| 700 | 0.85 | 0.15 | ||
| (CeO2)0.85(Nd2O3)0,15 | co-precipitation | 400 | 0.96 | 0.04 |
| 700 | 0.84 | 0.16 | ||
| (CeO2)0.95(Nd2O3)0.05 | co-crystallization | 700 | 0.85 | 0.15 |
| 700 | 0.71 | 0.29 | ||
| (CeO2)0.90(Nd2O3)0.10 | co-crystallization | 400 | 0.87 | 0.13 |
| 700 | 0.78 | 0.22 | ||
| (CeO2)0.85(Nd2O3)0.15 | co-crystallization | 400 | 0.89 | 0.11 |
| 700 | 0.74 | 0.26 |
Disclaimer/Publisher’s Note: The statements, opinions and data contained in all publications are solely those of the individual author(s) and contributor(s) and not of MDPI and/or the editor(s). MDPI and/or the editor(s) disclaim responsibility for any injury to people or property resulting from any ideas, methods, instructions or products referred to in the content. |
© 2023 by the authors. Licensee MDPI, Basel, Switzerland. This article is an open access article distributed under the terms and conditions of the Creative Commons Attribution (CC BY) license (https://creativecommons.org/licenses/by/4.0/).
Share and Cite
Kalinina, M.V.; Dyuskina, D.A.; Polyakova, I.G.; Mjakin, S.V.; Kruchinina, I.Y. Effect of Synthetic Approaches and Sintering Additives upon Physicochemical and Electrophysical Properties of Solid Solutions in the System (CeO2)1−x(Nd2O3)x for Fuel Cell Electrolytes. Ceramics 2023, 6, 1100-1112. https://doi.org/10.3390/ceramics6020065
Kalinina MV, Dyuskina DA, Polyakova IG, Mjakin SV, Kruchinina IY. Effect of Synthetic Approaches and Sintering Additives upon Physicochemical and Electrophysical Properties of Solid Solutions in the System (CeO2)1−x(Nd2O3)x for Fuel Cell Electrolytes. Ceramics. 2023; 6(2):1100-1112. https://doi.org/10.3390/ceramics6020065
Chicago/Turabian StyleKalinina, Marina V., Daria A. Dyuskina, Irina G. Polyakova, Sergey V. Mjakin, and Irina Yu. Kruchinina. 2023. "Effect of Synthetic Approaches and Sintering Additives upon Physicochemical and Electrophysical Properties of Solid Solutions in the System (CeO2)1−x(Nd2O3)x for Fuel Cell Electrolytes" Ceramics 6, no. 2: 1100-1112. https://doi.org/10.3390/ceramics6020065
APA StyleKalinina, M. V., Dyuskina, D. A., Polyakova, I. G., Mjakin, S. V., & Kruchinina, I. Y. (2023). Effect of Synthetic Approaches and Sintering Additives upon Physicochemical and Electrophysical Properties of Solid Solutions in the System (CeO2)1−x(Nd2O3)x for Fuel Cell Electrolytes. Ceramics, 6(2), 1100-1112. https://doi.org/10.3390/ceramics6020065

