The Impact of BiF3 Doping on the Yb3+ to Yb2+ Reduction during the LiYF4:Yb3+ Crystal-Growth Process
Abstract
1. Introduction
2. Materials and Methods
2.1. Material Synthesis
2.2. Spectral-Kinetic Characterization of the Samples
3. Results and Discussion
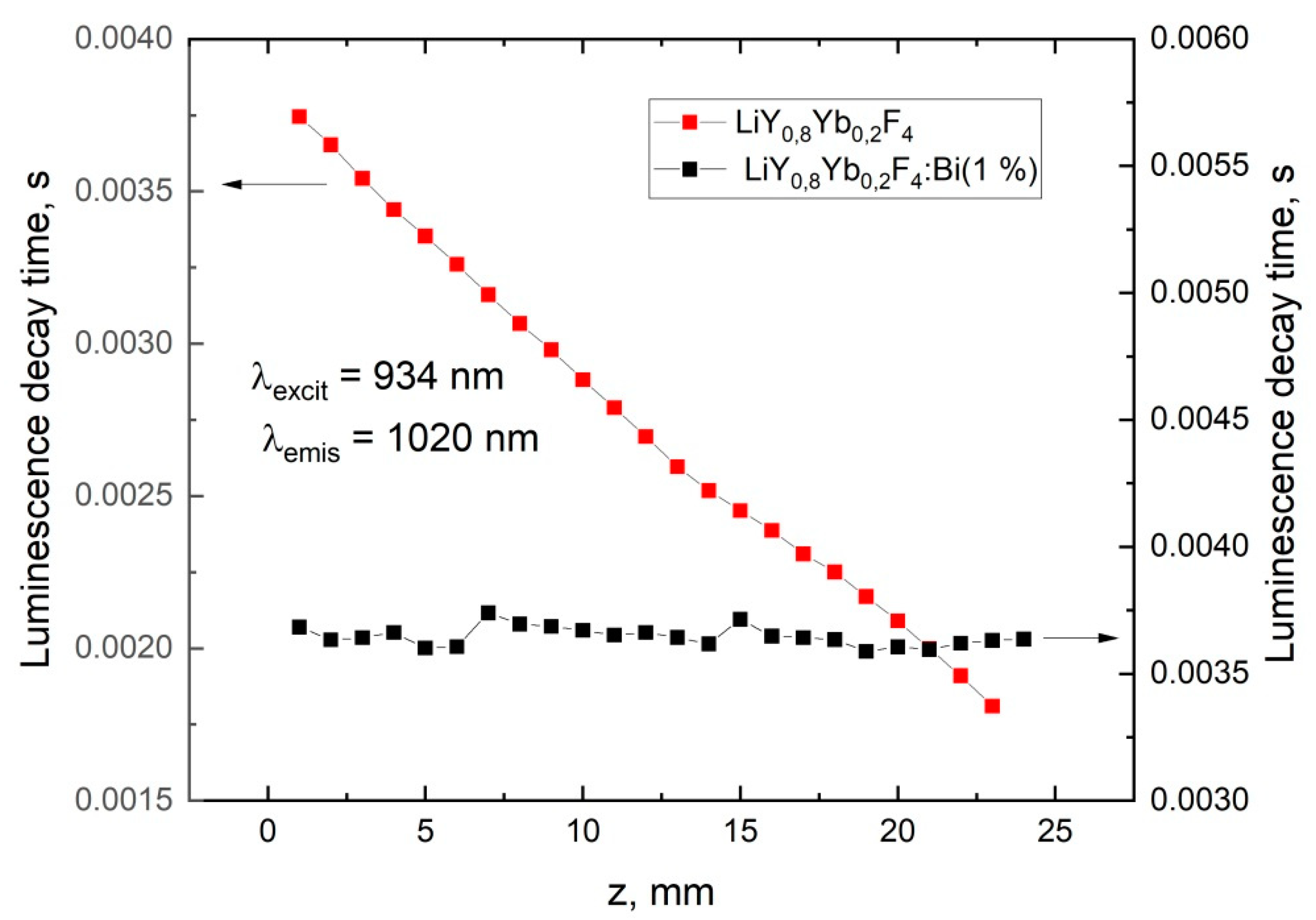
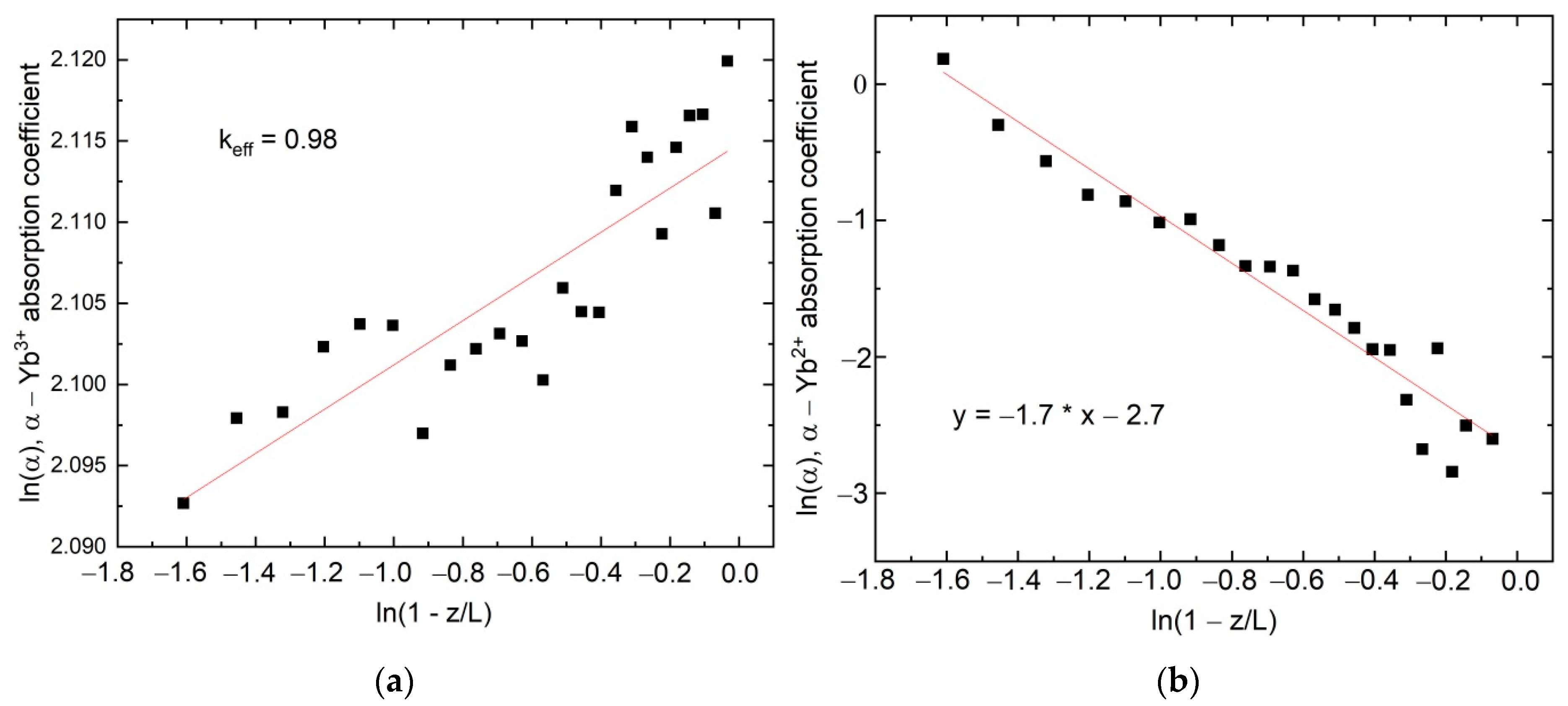
Absorption and Luminescence Spectrum of LiY0.8Yb0.2F4 and LiY0.8Yb0.2F4:BiF3 (1%)
4. Conclusions
Author Contributions
Funding
Data Availability Statement
Conflicts of Interest
References
- Alderighi, D.; Pirri, A.; Toci, G.; Vannini, M. Tunability enhancement of Yb:YLF based laser. Opt. Express 2010, 18, 2236–2241. [Google Scholar] [CrossRef] [PubMed]
- Kawanaka, J.; Yamakawa, K. 30-mJ, diode-pumped, chirped-pulse Yb:YLF regenerative amplifier. Opt. Lett. 2003, 28, 2121–2123. [Google Scholar] [CrossRef] [PubMed]
- Seletskiy, D.V.; Melgaard, S.D.; Epstein, R.I.; Di Lieto, A.; Tonelli, M.; Sheik-Bahae, M. Local laser cooling of Yb:YLF to 110 K. Opt. Express 2011, 19, 18229–18236. [Google Scholar] [CrossRef] [PubMed]
- Kirchhof, J.; Unger, S.; Schwuchow, A.; Jetschke, S.; Reichel, V.; Leich, M.; Scheffel, A. The influence of Yb2+ ions on optical properties and power stability of ytterbium-doped laser fibers. Opt. Compon. Mater. VII 2010, 7598, 75980B. [Google Scholar]
- Rydberg, S.; Engholm, M. Experimental evidence for the formation of divalent ytterbium in the photodarkening process of Yb-doped fiber lasers. Opt. Express 2013, 21, 6681–6688. [Google Scholar] [CrossRef]
- Gebavi, H.; Milanese, D.; Taccheo, S.; Mechin, D.; Monteville, A.; Freyria, F.S.; Bonelli, B.; Robin, T. Photodarkening of Infrared Irradiated Yb3+-Doped Alumino-Silicate Glasses: Effect on UV Absorption Bands and Fluorescence Spectra. Fibers 2013, 1, 101–109. [Google Scholar] [CrossRef]
- Knall, J.; Vigneron, P.-B.; Engholm, M.; Dragic, P.D.; Yu, N.; Ballato, J.; Bernier, M.; Digonnet, M.J.F. Laser cooling in a silica optical fiber at atmospheric pressure. Opt. Lett. 2020, 45, 1092–1095. [Google Scholar] [CrossRef]
- Solomonov, V.I.; Osipov, V.V.; Spirina, A.V. Luminescence and absorption of divalent ytterbium ion in yttrium-aluminum garnet ceramics. Opt. Spectrosc. 2014, 117, 441–446. [Google Scholar] [CrossRef]
- Moine, B.; Courtois, B.; Pedrini, C. Luminescence and photoionization processes of Yb2+ in CaF2, SrF2 and BaF2. J. Phys. 1989, 50, 2105–2119. [Google Scholar] [CrossRef][Green Version]
- Kück, S.; Henke, M.; Rademaker, K. Crystal growth and spectroscopic investigation of Yb2+-doped fluoride crystals. Laser Phys. 2001, 11, 116–119. [Google Scholar]
- Loh, E. 4fn-4fn-15d Spectra of rare-earth ions in crystals. Phys. Rev. 1968, 175, 533–536. [Google Scholar] [CrossRef]
- Barandiarán, Z.; Seijo, L. Intervalence charge transfer luminescence: Interplay between anomalous and 5d–4f emissions in Yb-doped fluorite-type crystals. J. Chem. Phys. 2014, 141, 23. [Google Scholar] [CrossRef] [PubMed]
- Nicoara, I.; Stef, M.; Pruna, A. Growth of YbF3-doped CaF2 crystals and characterization of Yb3+/Yb2+ conversion. J. Cryst. Growth 2008, 310, 1470–1475. [Google Scholar] [CrossRef]
- Pei, Z.; Su, Q.; Zhang, J. The valence change from RE3+ to RE2+ ( RE = Eu, Sm, Yb) in SrB407: RE prepared in air and the spectral properties of RE2+. J. Alloys Compd. 1993, 198, 51–53. [Google Scholar] [CrossRef]
- Baldochi, S.L.; Shimamura, K.; Nakano, K.; Mujilatu, N.; Fukuda, T. Ce-doped LiYF4 growth under CF4 atmosphere. J. Cryst. Growth 1999, 205, 537–542. [Google Scholar] [CrossRef]
- Bensalah, A.; Shimamura, K.; Sudesh, V.; Sato, H.; Ito, K.; Fukuda, T. Growth of Tm, Ho-codoped YLiF4 and LuLiF4 single crystals for eye- safe lasers. J. Cryst. Growth 2001, 223, 539–544. [Google Scholar] [CrossRef]
- Dai, N.; Xu, B.; Jiang, Z.; Peng, J.; Li, H.; Luan, H.; Yang, L.; Li, J. Effect of Yb3+ concentration on the broadband emission intensity and peak wavelength shift in Yb/Bi ions co-doped silica-based glasses. Opt. Express. 2010, 18, 18642–18648. [Google Scholar] [CrossRef]
- Truong, V.G.; Bigot, L.; Lerouge, A.; Douay, M.; Razdobreev, I. Study of thermal stability and luminescence quenching properties of bismuth-doped silicate glasses for fiber laser applications. Appl. Phys. Lett. 2008, 92, 90–93. [Google Scholar] [CrossRef]
- Zhang, P.; Chen, N.; Wang, R.; Huang, X.; Zhu, S.; Li, Z.; Yin, H.; Chen, Z. Charge compensation effects of Yb3+ on the Bi+: Near-infrared emission in PbF2 crystal. Opt. Lett. 2018, 43, 2372–2375. [Google Scholar] [CrossRef]
- Sugiyama, A.; Katsurayama, M.; Anzai, Y.; Tsuboi, T. Spectroscopic properties of Yb doped YLF grown by a vertical Bridgman method. J. Alloys Compd. 2006, 408, 780–783. [Google Scholar] [CrossRef]
- Coluccelli, N.; Galzerano, G.; Bonelli, L.; Toncelli, A.; Di Lieto, A.; Tonelli, M.; Laporta, P. Room-temperature diode-pumped Yb3+-doped LiYF4 and KYF4 lasers. Appl. Phys. B Lasers Opt. 2008, 92, 519–523. [Google Scholar] [CrossRef]
- Kaczmarek, S.M.; Bensalah, A.; Boulon, G. γ-Ray induced color centers in pure and Yb doped LiYF4 and LiLuF4 single crystals. Opt. Mater. 2006, 28, 123–128. [Google Scholar] [CrossRef]
- MacKeen, C.; Bridges, F.; Kozina, M.; Mehta, A.; Reid, M.F.; Wells, J.-P.R.; Barandiarán, Z. Evidence that the anomalous emission from CaF2:Yb2+ is not described by the impurity trapped exciton model. J. Phys. Chem. Lett. 2017, 8, 3313–3316. [Google Scholar] [CrossRef] [PubMed]
- Nicoara, I.; Buse, G.; Bunoiu, M. Segregation coefficient of Yb3+ and Yb2+ ions in YbF3 doped BaF2 crystals. AIP Conf. Proc. 2014, 1634, 111–114. [Google Scholar]
- Bensalah, A.; Guyot, Y.; Ito, M.; Brenier, A.; Sato, H.; Fukuda, T.; Boulon, G. Growth of Yb3+-doped YLiF4 laser crystal by the Czochralski method. Attempt of Yb3+ energy level assignment and estimation of the laser potentiality. Opt. Mater. 2004, 26, 375–383. [Google Scholar] [CrossRef]
- Nicoara, I.; Pecingina-Garjoaba, N.; Bunoiu, O. Concentration distribution of Yb2+ and Yb3+ ions in YbF3:CaF2 crystals. J. Cryst. Growth. 2008, 310, 1476–1481. [Google Scholar] [CrossRef]







Publisher’s Note: MDPI stays neutral with regard to jurisdictional claims in published maps and institutional affiliations. |
© 2022 by the authors. Licensee MDPI, Basel, Switzerland. This article is an open access article distributed under the terms and conditions of the Creative Commons Attribution (CC BY) license (https://creativecommons.org/licenses/by/4.0/).
Share and Cite
Khadiev, A.; Akhmetov, N.; Korableva, S.; Morozov, O.; Nizamutdinov, A.; Semashko, V.; Pudovkin, M.; Gafurov, M. The Impact of BiF3 Doping on the Yb3+ to Yb2+ Reduction during the LiYF4:Yb3+ Crystal-Growth Process. Ceramics 2022, 5, 1198-1206. https://doi.org/10.3390/ceramics5040085
Khadiev A, Akhmetov N, Korableva S, Morozov O, Nizamutdinov A, Semashko V, Pudovkin M, Gafurov M. The Impact of BiF3 Doping on the Yb3+ to Yb2+ Reduction during the LiYF4:Yb3+ Crystal-Growth Process. Ceramics. 2022; 5(4):1198-1206. https://doi.org/10.3390/ceramics5040085
Chicago/Turabian StyleKhadiev, Amir, Niyaz Akhmetov, Stella Korableva, Oleg Morozov, Alexey Nizamutdinov, Vadim Semashko, Maksim Pudovkin, and Marat Gafurov. 2022. "The Impact of BiF3 Doping on the Yb3+ to Yb2+ Reduction during the LiYF4:Yb3+ Crystal-Growth Process" Ceramics 5, no. 4: 1198-1206. https://doi.org/10.3390/ceramics5040085
APA StyleKhadiev, A., Akhmetov, N., Korableva, S., Morozov, O., Nizamutdinov, A., Semashko, V., Pudovkin, M., & Gafurov, M. (2022). The Impact of BiF3 Doping on the Yb3+ to Yb2+ Reduction during the LiYF4:Yb3+ Crystal-Growth Process. Ceramics, 5(4), 1198-1206. https://doi.org/10.3390/ceramics5040085

