Optical, Dielectric and Magnetic Properties of La1−xNdxFeO3 Powders and Ceramics
Abstract
:1. Introduction
2. Materials and Methods
3. Results
3.1. Structure and Morphology
3.2. Optical Properties
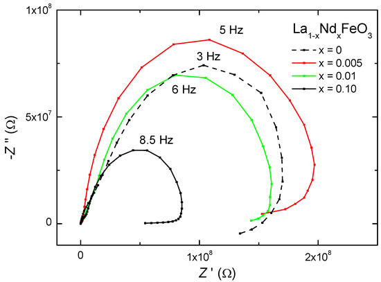
3.3. Electric Properties
3.4. Magnetic Properties
4. Conclusions
Supplementary Materials
Author Contributions
Funding
Acknowledgments
Conflicts of Interest
References
- Nolting, F.; Scholl, A.; Stoohr, J.; Seo, J.W.; Fompeyrine, J.; Siegwart, H.; Locquet, J.-P.; Anders, S.; Luning, J.; Fullerton, E.E.; et al. Direct observation of the alignment of ferromagnetic spins by antiferromagnetic spins. Nature 2000, 405, 767–769. [Google Scholar] [CrossRef] [PubMed]
- Khetre, S.M.; Jadhav, H.V.; Jagadale, P.N.; Kulal, S.R.; Bamane, S.R. Studies on electrical and dielectric properties of LaFeO3. Adv. Appl. Sci. Res. 2011, 2, 503–511. [Google Scholar]
- Bhattacharjee, S.; Rahmedov, D.; Wang, D.; Iguez, J.; Bellaiche, L. Ultrafast Switching of the Electric Polarization and Magnetic Chirality in BiFeO3 by an Electric Field. Phys. Rev. Lett. 2014, 112, 147601. [Google Scholar] [CrossRef]
- Kimel, A.V.; Kirilyuk, A.; Hansteen, F.; Pisarev, R.V.; Rasing, T. Nonthermal optical control of magnetism and ultrafast laser-induced spin dynamics in solids. J. Phys. Condens. Matter 2007, 19, 043201. [Google Scholar] [CrossRef]
- Karpinsky, D.V.; Troyanchuk, I.O.; Sikolenko, V.; Efimov, V.; Kholkin, A.L. Electromechanical and magnetic properties of BiFeO3-LaFeO3-CaTiO3 ceramics near the rhombohedral-orthorhombic phase boundary. J. Appl. Phys. 2013, 113, 187218. [Google Scholar] [CrossRef]
- Karpinsky, D.V.; Troyanchuk, I.O.; Bärner, K.; Szymczak, H.; Tovar, M. Crystal structure and magnetic ordering of the LaCo1−xFexO3 system. J. Phys. Condens. Matter 2005, 17, 7219. [Google Scholar] [CrossRef]
- Mao, A.J.; Tian, H.; Kuang, X.Y.; Jia, J.W.; Chai, J.S. Structural phase transition and spin reorientation of LaFeO3 films under epitaxial strain. RSC Adv. 2016, 6, 100526–100531. [Google Scholar] [CrossRef]
- Zhu, Z.; Peelaers, H.; Van de Walle, C.G. Electronic and protonic conduction in LaFeO3. J. Mater. Chem. A 2017, 5, 15367–15379. [Google Scholar] [CrossRef]
- Eibschutz, M.; Shtrikman, S.; Treves, D. Mössbauer Studies of Fe57 in Orthoferrites. Phys. Rev. 1967, 156, 562–577. [Google Scholar] [CrossRef]
- Coutinho, P.V.; Cunha, F.; Barrozo, P. Structural, vibrational and magnetic properties of the orthoferrites LaFeO3 and YFeO3: A comparative study. Solid State Commun. 2017, 252, 59–63. [Google Scholar] [CrossRef]
- Phokha, S.; Pinitsoontorn, S.; Maensiri, S.; Rujirawat, S. Structure, optical and magnetic properties of LaFeO3 nanoparticles prepared by polymerized complex method. J. Sol-Gel Sci. Technol. 2014, 71, 333–341. [Google Scholar] [CrossRef]
- Acharya, S.; Mondal, J.; Ghosh, S.; Roy, S.K.; Chakrabarti, P.K. Multiferroic behavior of lanthanum orthoferrite (LaFeO3). Mater. Lett. 2010, 64, 415–418. [Google Scholar] [CrossRef]
- Winkler, E.; Zysler, R.D.; Mansilla, M.V.; Fiorani, D. Surface anisotropy effects in NiO nanoparticles. Phys. Rev. B 2005, 72, 132409. [Google Scholar] [CrossRef]
- Pechini, M.P. Method of Preparing Lead and Alkaline Earth Titanates and Niobates and Coating Method Using the Same to Form a Capacitor. U.S. Patent 3,330,697, 11 July 1967. [Google Scholar]
- Fedyk, R.; Hreniak, D.; Łojkowski, W.; Stręk, W.; Matysiak, H.; Grzanka, E.; Gierlotka, S.; Mazur, P. Method of preparation and structural properties of transparent YAG nanoceramics. Opt. Mater. 2007, 29, 1252–1257. [Google Scholar] [CrossRef]
- Collins, L.; Kilpatrick, J.I.; Kalinin, S.V.; Rodriguez, B.J. Towards nanoscale electrical measurements in liquid by advanced KPFM techniques: A review. Rep. Prog. Phys. 2018, 81, 086101. [Google Scholar] [CrossRef] [PubMed]
- Selbach, S.M.; Tolchard, J.R.; Fossdal, A.; Grande, T. Non-linear thermal evolution of the crystal structure and phase transitions of LaFeO3 investigated by high temperature X-ray diffraction. J. Solid State Chem. 2012, 196, 249–254. [Google Scholar] [CrossRef]
- Gluchowski, P.; Strek, W. Luminescence and excitation spectra of Cr3+:MgAl2O4 nanoceramics. Mater. Chem. Phys. 2013, 140, 222–227. [Google Scholar] [CrossRef]
- Parchur, A.K.; Prasad, A.I.; Ansari, A.; Rai, S.B.; Ningthoujam, R.S. Luminescence properties of Tb3+-doped CaMoO4 nanoparticles: Annealing effect, polar medium dispersible, polymer film and core-shell formation. Daton Trans. 2012, 41, 11032–11045. [Google Scholar] [CrossRef]
- Elliott, S.R. Ac conduction in amorphous chalcogenide and pnictide semiconductors. Adv. Phys. 1987, 36, 135–217. [Google Scholar] [CrossRef]
- Mott, N.F.; Davis, E. Electronic Processes in Non-crystalline Materials; Clarendon: Oxford, UK, 1979; pp. 59–62. [Google Scholar]
- Qiu, Y.; Luo, Y.S.; Zou, Z.J.; Tian, Z.M.; Yuan, S.L.; Xi, Y.; Huang, L.Z. Size effect on magnetic and dielectric properties in nanocrystalline LaFeO3. J. Mater. Sci. Mater. Electron. 2014, 25, 760–764. [Google Scholar] [CrossRef]
- Ederer, C.; Spaldin, N.A. Weak ferromagnetism and magnetoelectric coupling in bismuth ferrite. Phys. Rev. B 2005, 71, 060401. [Google Scholar] [CrossRef]










| La1−xNdxFeO3 | Crystallite Size/nm | a | b | c | Strains/% |
|---|---|---|---|---|---|
| powder | |||||
| x = 0.005 | 67 | 5.5633(2) | 7.8510(3) | 5.5529(9) | 0.021 |
| x = 0.01 | 52 | 5.5709(1) | 7.8450(0) | 5.5480(6) | 0.021 |
| x = 0.05 | 61 | 5.5657(6) | 7.8448(7) | 5.5447(0) | 0.019 |
| x = 0.10 | 50 | 5.5666(8) | 7.8375(7) | 5.5364(8) | 0.022 |
| ceramic | |||||
| x = 0.005 | 24 | 5.5656(9) | 7.8833(4) | 5.5339(7) | 0.045 |
| x = 0.01 | 25 | 5.5658(7) | 7.8825(6) | 5.5351(9) | 0.042 |
| x = 0.05 | 24 | 5.5625(3) | 7.8780(2) | 5.5333(5) | 0.044 |
| x = 0.10 | 30 | 5.5628(0) | 7.8689(0) | 5.5251(6) | 0.044 |
© 2018 by the authors. Licensee MDPI, Basel, Switzerland. This article is an open access article distributed under the terms and conditions of the Creative Commons Attribution (CC BY) license (http://creativecommons.org/licenses/by/4.0/).
Share and Cite
Głuchowski, P.; Oganisian, K.; Tomala, R.; Łukowiak, A.; Karpinsky, D.; Alikin, D.; Kholkin, A.; Stręk, W. Optical, Dielectric and Magnetic Properties of La1−xNdxFeO3 Powders and Ceramics. Ceramics 2019, 2, 1-12. https://doi.org/10.3390/ceramics2010001
Głuchowski P, Oganisian K, Tomala R, Łukowiak A, Karpinsky D, Alikin D, Kholkin A, Stręk W. Optical, Dielectric and Magnetic Properties of La1−xNdxFeO3 Powders and Ceramics. Ceramics. 2019; 2(1):1-12. https://doi.org/10.3390/ceramics2010001
Chicago/Turabian StyleGłuchowski, Paweł, Karen Oganisian, Robert Tomala, Anna Łukowiak, Dmitry Karpinsky, Denis Alikin, Andrei Kholkin, and Wiesław Stręk. 2019. "Optical, Dielectric and Magnetic Properties of La1−xNdxFeO3 Powders and Ceramics" Ceramics 2, no. 1: 1-12. https://doi.org/10.3390/ceramics2010001
APA StyleGłuchowski, P., Oganisian, K., Tomala, R., Łukowiak, A., Karpinsky, D., Alikin, D., Kholkin, A., & Stręk, W. (2019). Optical, Dielectric and Magnetic Properties of La1−xNdxFeO3 Powders and Ceramics. Ceramics, 2(1), 1-12. https://doi.org/10.3390/ceramics2010001

