Abstract
Wind turbine design is an iterative process. Many aspects are considered when designing a wind turbine, including aerodynamic and power performance, structural loads and behavior, and control techniques. In the preliminary design stages, the governing equations of each design aspect are used to calculate the different loads and performance outputs while optimizing between them. This is usually made using wind turbine simulation software. This work presents a data-based machine learning (ML) approach towards the design of a micro-scale wind turbine. Extensive simulations are made on a 45 cm diameter rotor while performing parametric analysis using the QBlade wind turbine simulation tool. Different design parameters and wind conditions were changed one at a time, and data were collected to be further analyzed and used to train the ML models. The measurable outputs of the models are the coefficient of power (CP), loads normal and tangential to the blade at midspan (FN and FT), and the torque (T) on the rotor. Linear regression was found unsuitable for predicting CP due to its high nonlinearity; however, it gave satisfactory results for the blade loads. Ensemble models were found to give the highest accuracy for predicting all the desired outputs. The model accuracy is measured in terms of the coefficient of determination (R2), where the model could predict Cp, FN, FT, and T with R2 values of 0.999, 0.984, 0.984, and 0.986 respectively.
1. Introduction
The shift towards renewable energy sources has increased recently in a contemporary world with the high demand of energy. Due to the tendency to deplete fossil fuels and their negative environmental impact, renewable energy has thrived both in research and in real life [1]. Wind energy is among the most advanced renewable energy sources in recent years. A total of 117 GW of wind power has been installed in the year 2023 alone, representing a 50% increase compared to the year 2022 [2].
Research on wind energy is ongoing vastly to cover all the possible aspects of wind power production. Novel methodologies of wind power extraction have been found, for instance, the airborne wind energy systems [3]. The conventional form of extracting wind power is through wind turbines. Improvements to the wind turbine design and optimization of its parameters are covered in the literature to maximize the power output of the turbines [4]. Optimization is also extended to model wind farms whether onshore or offshore [5].
Wind energy development has extended not only to the grid connection, but also to domestic applications [6]. Wind turbines used on rooftops or for electric vehicle charging stations have been studied by many researchers. The key advantage of small-scale turbines for domestic applications is to provide a standalone energy source, despite the grid location or connection [7].
The term micro-scale wind turbine refers to very small wind turbines with a capacity of usually less than 1000 Watts [8]. This size is usually used for off-grid domestic applications like charging batteries for home appliances, or for vehicle charging whether in standing charging stations or placed on moving vehicles like recreational cars.
To design a wind turbine, different considerations should be taken into account. The turbine should utilize most of the available wind power while maintaining a good structural integrity and less vibrations and noise. The process of designing a wind turbine is complicated and requires intensive calculations and simulations to cover all the design aspects, and ensure its power production efficiency and its structural behavior.
Computational Fluid Dynamics (CFDs) are very common in the wind turbine simulation field. They comprise a numerical approach where the flow field, as well as the blade, are discretized into infinitesimal elements and solved for the wind flow governing equations. Despite the high accuracy of CFD simulations, the computational cost of this numerical approach is very high. It may also require a supercomputer to perform a thorough study on a large-scale wind turbine. Usually, CFDs are more suitable for studying the effect of simple changes on a wind turbine to improve its performance; however, they is not the best solution for preliminary designs [9,10]
As an alternative to CFD models, there are many software tools that are capable of modeling and simulating wind turbines using deterministic models. Some tools require a license like “Bladed” provided by Det Norske Veritas (DNV) Company [11], or “HAWC2” provided by the Technical University of Denmark (DTU) [12]. Other software tools are open access like “OpenFAST”, which is provided by the National Renewable Energy Laboratory (NREL) [13], and “QBlade”, by the Technical University of Berlin [14]. Most of these tools provide a complete wind turbine aeroelastic analysis. Almost all wind conditions, fixations, designs, and configurations can be simulated on all these tools. The main differences are in the limitations of each software, and the method of simulation. Many researchers and commercial companies have relied on deterministic-model-based software tools in their wind turbine preliminary design stages, proving their credibility and trustworthiness [15,16].
QBlade was chosen for the study performed in this work, since it is easy to use, and provides a friendly Graphical User Interface (GUI), with accurate results that have been proven in many works in the literature.
Szczerba et al. have studied an H-type vertical-axis wind turbine to improve the performance by changing the blade pitch angle. The power coefficient of the turbine for different Reynolds numbers and blade pitch angles was studied. They performed the simulations on QBlade software and validated the results with the experimental findings [17].
Caden et al. have compared the results of QBlade simulations to CFD simulations over horizontal axis turbine blades to calculate the aerodynamic loads. They found a very good agreement between QBlade and CFDs, especially regarding the normal loads. The tangential loads were not in very good agreement with CFDs; however, for better modeling of wind conditions, the accuracy of simulating tangential loads increases [18].
Further studies have utilized QBlade for design and simulation. Deghoum et al. have used QBlade to optimize the chord and twist angles of the blade. The blade load results from QBlade were used for a Finite Element Analysis (FEA) using Ansys software [19]. Altmimi et al. have also relied on QBlade to design a vertical-axis wind turbine. Their main finding was the accuracy of QBlade software which was validated with an experiment, after changing many design parameters and wind conditions [20].
QBlade has also been used to optimize wind turbine design parameters. Van et al. have performed simulations by changing the blade lengths and wind speeds. The outputs of the simulation included important characteristics and outputs like the turbine power, and coefficients of lift, drag, and power. The work resulted in an optimized turbine with a small capacity for domestic applications [21]. Umar et al. have also used QBlade to optimize a small-scale wind turbine but for different parameters like the twist and chord distributions of the blade. The optimized turbine could achieve a coefficient of power as high as 0.45.
The extensive research on wind turbines made using QBlade proves that it is a reliable tool, and its results could be used for the effective design and simulations of different types of wind turbines with no further validations.
To ease the design process, artificial intelligence could be of great assistance. It has been widely used in applications of renewable energy for the prediction of power output or design of renewable energy systems’ related components [22,23].
Machine learning and deep learning algorithms were also effectively used to analyze the energy potential and detect faults in renewable energy systems [24,25], or for forecasting loads on smart grids or energy management in wind farms [26].
So far, machine learning has not been used as a design tool that can replace extensive simulations on the different wind turbine analysis software. In this work, different supervised machine learning models were employed to provide a simple, accurate, and fast method for preliminary designs of wind turbines.
Contribution and Paper Organization
This work presents an alternative to wind turbine simulation tools, to save time and effort. To do so, extensive simulations were run on the QBlade simulation tool while performing parametric analysis. Design parameters of the blade and inflow wind speed were changed one at a time, resulting in a dataset with over 5000 entries. The dataset is analyzed, cleaned, and processed for further training by the machine learning models.
Machine learning models are required to effectively predict key outputs of a wind turbine, including aerodynamic loads and power performance characteristics. This novel methodology of wind turbine design is accurate, time-saving, and can be further used for optimizing the turbine design, without diving into sophisticated governing equations that require a time-consuming iterative process.
The paper is organized into four main sections. In Section 1, the introduction and key literature findings are presented. Section 2 shows the methodology followed for the wind turbine simulations and parametric analysis that leads to data acquisition, the key findings of data processing and analysis, and the different machine learning models and their key quality metrics. Section 3 shows the main findings of this work and the prediction accuracies of different models for the four key outputs of the wind turbine simulation. And finally, Section 4 concludes the work and shows the suggestions for future work.
2. Methodology
In this section, the methodology followed for simulating the wind turbine, parametric analysis, and machine learning models is introduced.
2.1. Wind Turbine Simulation
The turbine has been simulated using the QBlade wind turbine simulation tool. QBlade employs deterministic models for blade aerodynamics and structural dynamics, and couples between them for an aeroelastic analysis. For the aerodynamic model, blade element momentum (BEM) and Double-Multiple Stream tube Model (DMS) are used to calculate the aerodynamic loads and power performance of both the blades and the turbine rotor. For the structural model, QBlade employs the Euler–Bernoulli beam theory to formulate a co-rotational multibody dynamics model [14].
The main constraint that has been followed is that the rotor should be of a 45 cm diameter to be used in domestic applications like charging batteries for vehicles or sailboats. A blade of 20 cm length has been designed based on several design parameters for the purpose of conducting a parametric analysis. The blade is divided into 5 sections equally spaced along the 20 cm span. For each section, the chord length, twist angle, and airfoil type are set to different values. Then the blade pitch angle is changed for each simulation. These design parameters were changed one at a time while fixing the other parameters at a fixed value. Figure 1 shows the blade with different design parameters shown.
Figure 1.
Blade design and parameters: (a) the full blade in isometric view, (b) side view of the blade showing the twist angle between the chord line and the reference rotor plane, and (c) plane view of the blade showing the blade span and chord lengths at each section.
The design parameters were changed such that the blade taper differs through the chord length at different sections while fixing the chord length near the hub at the value of 5 cm. The twist angle changes linearly through the blade span while fixing the twist angle near the hub at the value of 0°. And the blade pitch angle was to be in both negative and positive directions. Four different airfoils were used for each blade design. NACA 4-digit series were used, where the first digit represents the maximum camber in % of the chord, the second digit represents the location of the maximum camber in terms of the chord, and the last two digits represent the airfoil thickness in % of the chord length. In Table 1, the values for each design parameter are shown, as well as the wind velocity range which has been used as an input parameter to the simulations. Figure 2 shows the airfoils used for the simulations, as shown in the Airfoil Design Module on QBlade.
Table 1.
Design and operating parameters used for the simulations.
Figure 2.
Airfoils used for the simulations as shown in the Airfoil Design Module.
The simulation is run for each case, at different wind speeds, and the main outputs of concern are the coefficient of power (CP) to measure the power performance and efficiency, normal force -flapwise- (FN), and tangential force -edgewise- (FT) midspan of the blade to measure the structural loads, and the rotor torque (T) as a measure of the power production capability. The simulations have been cross-validated among the authors to ensure the correctness of simulation results and the reliability of the data.
The data are then collected into a dataset where all the input parameters and output measures are tabulated. This dataset is the core input for further analyses and machine learning models’ training.
2.2. Exploratory Data Analysis
After the data acquisition phase, the dataset is processed to check the relationship among the different features, clean the data, and check if any transformations are needed.
The original dataset after removing all rows with null values at any cell contained 4703 entries, with 20 columns representing the different design parameters. For instance, the chord at each of the 5 blade sections was given individually and so was the twist angle along the blade span. Since the changes in chord length and twist angles are linear, the columns were reduced by making the following changes:
- The five values of chord length along the blade span have been replaced by a single value representing the blade taper ratio, following Equation (1).
- The five columns of twist angle at each section have been reduced to a single column representing the twist angle at the blade tip.
The dataset has been also checked for anomalies and outliers. Originally, there were few outliers above the maximum, especially in the tangential force output. This could be due to some errors in the simulation or in the data acquisition. The outliers have been checked by measuring the quantiles of the torque output at 99%, 97%, and 95%. After checking the quantiles, it was enough to remove the highest 1% of the values to remove the outliers. Figure 3 shows a box plot for the tangential force before and after removing the outliers.
Figure 3.
Boxplot of tangential force midspan of the blade: (a) before removing the outliers, and (b) after removing the outliers.
After removing the outliers, the dataset has been reduced to 4415 entries, and column reduction yielded into 9 columns. Where the output parameters are 4 columns, leaving five features to be studied as inputs for each prediction model. The relationship between the different features has been studied for each prediction model for each output measure. It was observed that wind velocity had the highest effect on the blade loads compared to the blade design parameters. On the other hand, blade design parameters had the highest effect on the coefficient of power with minimal effect of the wind velocity, which is expected because the coefficient of power is a design output. Figure 4 shows the correlation heatmap between the numerical features and the outputs.
Figure 4.
Pearson correlation between features and outputs.
Despite the low direct correlation between features and the desired outputs, there was an indirect effect for each feature on the relationship between outputs and each other. For instance, the correlation between the taper ratio and the blade normal force is −0.0053, which indicates that the taper angle could be removed to predict the normal force. However, further analyses have shown there is an indirect effect such that the blade taper ratio affects how the blade’s normal force is related to the rotor torque. This is shown in Figure 5 where blade normal force is plotted against the rotor torque with different taper angles.
Figure 5.
Blade Normal Force vs. Rotor Torque for Different Taper Ratios.
It is clear that the highest taper angle has changed the slope of the relation between the rotor torque and the blade’s normal force. This could be explained by the reduced blade projected area when the taper ratio increases. There is less area facing the wind, such that the normal force induced by the wind is reduced. This is also clear in the Kernel Density Estimator (KDE) plots that are shown on the upper and right axes of the figure. There is a peak in the blade’s normal force caused by the highest taper ratio. For that reason, it was decided not to remove any feature while predicting all four outputs, to avoid missing any hidden correlations between different features.
Furthermore, the effect of changing the airfoil type has been examined with the different output measures. For instance, the effect of airfoil type on the coefficient of power is shown in Figure 6.
Figure 6.
Effect of airfoil type on the coefficient of power.
The figure shows the direct effect of each airfoil on the mean values and quartiles of the output power coefficient. This indicates that airfoil type is an important feature to be studied in the prediction model. Since this is a categorical variable, further processing is required before it can be used as an input feature.
Initially, the airfoil category has been encoded using a hot encoding technique by creating dummy variables, where a column is generated for each category in the original column. A binary code of 0 or 1 indicates the instance of this specific category to be true. To avoid the multicollinearity between features, the first column has been removed.
Based on this action, the prediction models were trained to predict the output measures. However, the results were not satisfactory when measured by different quality metrics. To solve this problem, and to generalize the predictions for any other airfoil that could be used, each airfoil has been broken down into its components. As mentioned earlier, NACA 4-digit series represents three important values: maximum camber, camber position, and maximum thickness. Accordingly, the airfoil column has been replaced by three columns representing the breakdown of its components. In addition to improving the prediction models, this action helps give a better generic model that can incorporate any NACA 4-digit airfoil, and not just the four airfoils that were used.
After the data had been processed, cleaned, and the features were altered and improved, they were split into a training set with 70% of the data for model training, and the remaining 30% for testing the model for accuracy.
2.3. Machine Learning Models
Different machine learning models were used to predict the output measures. The models included linear models like the linear regression and lasso regression, nonlinear models like the polynomial regression, ensemble models like the random forest regressor and gradient boosting regressor, in addition to the support vector mechanics regressor, decision trees regressor, and neural networks regressor using the scikit-learn opensource library in Python programming language.
Regression models predict the output measure by learning from historical data in the training set while using the ordinary least square method, which minimizes the sum of the squares of the error between the predicted and the actual value. This is shown in Equation (2) [27].
where n is the number of entries in the dataset, is the actual output, and is the predicted output.
The method of choice between different models chosen is by assessing each model through different quality metrics. The most important quality metrics which are shown in this work are as follows:
2.3.1. Maximum Error
It is simply the maximum error of prediction, which represents how far the predicted value is from the actual value either in the positive or the negative direction.
2.3.2. Mean Absolute Error (MAE)
It is the arithmetic average of the absolute values of all errors between the predicted and the actual output. It gives a measure of the mean error of all the predicted values, regardless of the sign of the error. It could be compared to the mean value of the actual output to judge if the model is of high accuracy. The formula for calculating the MAE is shown in Equation (3).
2.3.3. Root Mean Square Error (RMSE)
It represents the square root of the average sum of errors squared. The main advantage of RMSE is that it punishes errors by squaring them to maximize its value. It is then taken into square root to be comparable to the mean value of the actual output. RMSE shows the effect of outliers greatly on the predicted output. The formula for calculating RSME is shown in Equation (4).
2.3.4. Coefficient of Determination (R2)
It is a measure of accuracy for the predicted output. It is a value in the range of 0 (0% accurate) to 1 (100% accurate). The greater the value, the more the model can predict the output with fewer errors and higher accuracy. It can be also considered as the square value of the variance. The formula of calculating R2 in terms of the Residuals Sum of Squares (RSS) and Total Sums of Squares (TSS) is shown in Equations (5)–(7).
where,
And,
where is the mean value of the output.
2.3.5. Training Time
It is the time required by each model to be trained using the training set of the data. The less the training time is, the less computational cost of the model.
In addition to the abovementioned quality metrics, a key determinant of the quality of any ML model is the normality of residuals. This means that the error term between the predicted and actual output follows a normal distribution. Thus, the residual density function should be plotted for each predicted output to check for the model quality.
3. Results and Discussion
In this section, the main outcomes of the prediction models are shown for each output measure, namely, power coefficient, normal and tangential forces midspan of the blade, and rotor torque. The ML modeling has been performed on a standard PC with a 10th generation core i5 processor, and 8 GB Ram using Python’s integrated development environment Jupyter Notebook.
Eleven different machine learning models were used for the prediction, to cover all types of relationships between the features and the desired output. The models cover linear, nonlinear, and ensemble methods.
3.1. Power Coefficient
The ML models were trained to fit the training set of the data, which represents 70% of the entries. They are then used to predict the output using the remaining 30% of the features, and the predicted output is compared to the actual output. The quality metrics are calculated for each model and tabulated in order of highest accuracy to the lowest accuracy. Table 2 shows the outputs of the different ML models for the prediction of the power coefficient.
Table 2.
Machine learning models results for the prediction of power coefficient.
The ensemble methods have generally shown the best performance for predicting the power coefficient. On the top of them is the random forest regressor which has shown an accuracy of 99.9% in predicting the output. The other quality metrics also show the superiority of ensemble models where the RMSE and MAE show very low values as compared to the mean value of Cp of 0.367.
The linear models have entirely failed to predict the output. Despite their very low computational cost, represented in the training time, the highest accuracy of linear models is for the linear regression model, at 17.7%. This value is not reliable for the preliminary design stages of a wind turbine. The different errors are also significant compared to the mean value of CP.
The results of neural networks are also not satisfactory, so, deep learning is not worth investigating since it is mostly time-consuming, and the preliminary results have shown that the accuracy is not up to expectations.
To further show the results of CP predictions, the model of the highest accuracy (random forest regressor) is used to plot the predicted output with the actual CP values. The residual density distribution is also plotted to show the quality of the model. Figure 7 shows the predicted Vs. actual results, and the residuals distribution.
Figure 7.
Random Forest Regressor results for power coefficient: (a) the actual vs. predicted values, and (b) residuals distribution.
The figure shows the very good results of the Random Forest Regressor. The predicted value is almost the same as the actual value for most of the entries. There are very few distinct points where there is a big difference, representing the maximum error of 0.01 offsets from the mean CP value of 0.367. The residuals also follow a normal distribution, showing the high quality of this model to predict the power coefficient.
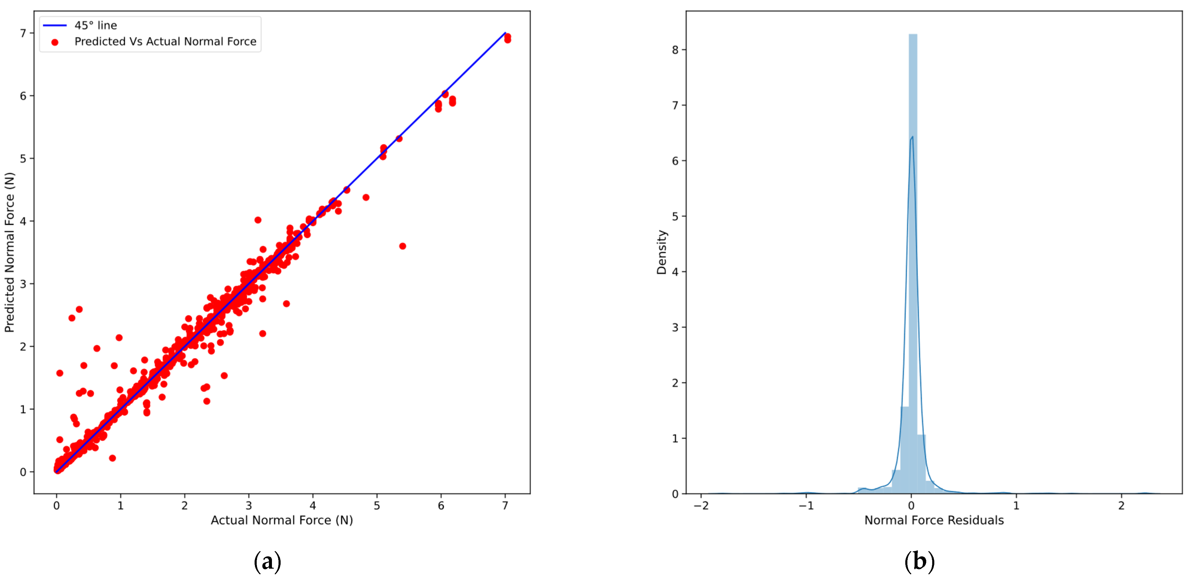
3.2. Normal Force
The same eleven models were used to predict the desired output, but this time, it is the normal force midspan of the blade. This value is explicitly chosen because it could be used to calculate the mean flapwise bending moment at the blade root, which is an important structural consideration.
The dataset is split again into 70% for training and 30% for testing the models, but with choosing the blade normal force as the output to be predicted. Table 3 shows the results of the different ML models in predicting the normal force.
Table 3.
Machine learning models results for the prediction of normal force.
For the normal force prediction, the Decision Trees Regressor has exceeded the accuracy of the Random Forest Regressor slightly by 0.004%. Cross-validation by repeating the train–test sets splitting many times could change the results. This was performed many times, and the results came close each time, where Random Forest and Decision Trees exchanged roles at the top performance. The maximum accuracy of Decision Trees in this run is 98.7%, which is also very satisfactory in predicting dynamic loads on the blade, which can be transferred to dynamic loads on the rotor hub and thus the supporting tower.
Another key observation is that the linear models (Linear, Ridge, Elastic Net, and Lasso) could predict the normal force with an accuracy of around 75%. While this accuracy is not high as compared to the ensemble methods, it could be used in preliminary structural design stages because of its simplicity, and since the structural loads are usually multiplied by a factor of safety to account for errors in calculations. The linear regression model output is a first-order equation where the output can be calculated based on the linear relationship with different features.
The output equation of the Linear Regression model for predicting the normal force is shown in Equation (8).
where is the twist angle, Vw is the wind velocity, β is the pitch angle, T.R. is the taper ratio, Cmax,P is the maximum camber percent, Cmax,pos is the maximum camber position, and Tmax,P is the maximum thickness percent.
However, linear models can be used only for preliminary design stages when the loads are multiplied by a factor of safety. However, for more advanced prediction of the loads, ensemble models are the most recommended.
The results of Decision Tree predictions for the normal force midspan of the blade are shown in Figure 8, where the actual output is plotted against the predicted value, and the density distribution of the residuals is shown.
Figure 8.
Decision Trees Regressor results for normal force: (a) the actual vs. predicted values, and (b) residuals distribution.
The predicted values are mostly aligned with the 45° line, representing the accuracy of prediction of the Decision Trees regressor. There are a few points where there is an error in prediction, but overall, the accuracy is satisfactory with an R2 value of 98.3%. The quality of the model is also assessed by the normality of residuals shown in the figure.
3.3. Tangential Force
Similarly, the models were used to predict the tangential load midspan of the blade. This tangential force, besides being a structural aspect of design for blade safety and edgewise deflections, is also a key parameter to calculate the generated torque on the rotor which is later used to predict the power output. Table 4 shows the results of the different ML models based on the 70% training set and 30% testing set.
Table 4.
Machine learning models results for the prediction of tangential force.
Like the power coefficient and normal force, ensemble models come out on top of other models in terms of accuracy. This time, the Random Forest Regressor has exceeded the accuracy of Decision Trees by 0.8%. The Random Forest could predict the tangential force with an accuracy of 98.4%, which is also satisfactory and could be used to effectively design a wind turbine structurally and in terms of power with high accuracy based only on blade design parameters and wind velocity.
For the tangential force as well, the linear models which are the most time efficient could give an accuracy of about 72.2%. This could also be used for preliminary structural design provided that a sufficient safety factor is used. The linear regression model resulted in the formula shown in Equation (9).
The predicted values are plotted against the actual tangential force for the testing set of the data; the residuals are also plotted in density distribution format, shown in Figure 9.
Figure 9.
Random Forest Regressor results for tangential force: (a) the actual vs. predicted values, and (b) residuals distribution.
Since the accuracy is slightly lower compared to the accuracy of predicting Cp and normal force values, the number of points where the predicted value is far from the actual one has increased. However, this is not the general case. The overall performance of the model is satisfactory for accurate predictions, where the accuracy of prediction is 98.4%. The residuals are normally distributed, so the predictions of tangential force can be obtained by cross-validating the training set. Simply repeating the predictions many times and taking the most biased value will result in the most accurate prediction.
3.4. Rotor Torque
Finally, the models are trained to predict the rotor torque. This value, together with the rotational speed of the rotor, gives the output power production. If the rotor’s tip/speed ratio is fixed at a certain value, then the rotor’s rotational speed is linearly correlated with the wind velocity which is considered as a feature in all models.
In Table 5, the results of all the ML models used are shown after fitting each model using the 70% training set and predicting the remaining 30% based only on the input features, leaving the actual output to test the model accuracy.
Table 5.
Machine learning models results for the prediction of rotor torque.
Again, the Random Forest Regressor comes out on top of the different models in predicting the rotor torque. With an accuracy of 98.6%, the model can successfully anticipate the value of torque induced on the rotor, which is later used to calculate the rotor power. Decision Trees come in second place with a difference of only 0.3% less accuracy. However, the training time is significantly lower, which means lower computational cost, especially for extremely large datasets. Both models could be used for predicting the rotor torque depending on the desired goal, whether to decrease the computational cost or increase the accuracy of predictions.
It is also notable that Neural Networks give a satisfactory accuracy of 67.6%. Further investigations on deep learning algorithms with hyperparameter tuning by changing the number of layers or activation functions could lead to better results.
For the linear models, while the accuracy of predictions is around 64.4%, this accuracy is insufficient for power predictions for a wind turbine despite its extremely low training time. It will give misleading results in the preliminary design stages. So, as a compromise between computational cost and accuracy, a Decision Tree Regressor is the optimal solution.
In Figure 10, the Random Forest Regression results for the predicted results are plotted against the actual torque and the density distribution of the residuals.
Figure 10.
Random Forest Regressor results for rotor torque: (a) the actual vs. predicted values, and (b) residuals distribution.
Almost all the predicted values lie on the 45° line, indicating the high accuracy of predictions. The maximum error is not significant compared to the mean value of the rotor torque. The residuals also follow a normal distribution, which is a measure of the model quality. As mentioned earlier, further investigations into deep learning models could give higher accuracy and fewer prediction errors. However, it is anticipated that the computational cost will be significantly larger.
Overall, the different prediction models could give very satisfactory results. The accuracy of predictions for all four desired outputs, based solely on a few design parameters and a single operational condition (wind velocity at the hub), is impressive. The output models can be used for the preliminary design of wind turbines from the aerodynamic and structural aspects. This could save much time instead of performing CFD analyses or excessive simulations on a wind turbine simulation tool.
4. Conclusions
In this work, machine learning-based models were used to predict the power and load outputs of a micro-scale wind turbine based on the blade’s design parameters and inflow wind velocity. Data have been collected from extensive simulations on the QBlade wind turbine simulation tool, performing parametric analyses by changing different design parameters one at a time.
The collected dataset has been processed and cleaned, and the feature selection process led to the choice of the input parameters for all models. The dataset is then split into training and testing sets for further modeling by machine learning algorithms.
It was found that ensemble models gave the best accuracy for all the desired outputs. For almost all outputs, the Random Forest and Decision Trees Regressor came in first and second places, with accuracies of over 98% in prediction. Adaptive and gradient boosting models gave satisfactory results as well.
Other models, like the linear regression model, could give sufficient results for preliminary predictions of normal and tangential forces on the blade. However, it should be used with caution since the accuracy is not high and could lead to inaccurate results that underestimate or overestimate the aerodynamic loads. The formulae for calculating the normal and tangential loads based on a first-order equation in the input features were given. The linear regression model was insufficient for power-related outputs, namely power coefficient and rotor torque. Hence, they are not recommended.
Neural networks in their preliminary modeling could give sufficient results in predicting the blade and rotor loads, which encourages further investigations using hyperparameter tuning by changing the number of layers and the activation functions.
The highest accuracy among all models was the Random Forest Regressor which could predict the power coefficient, tangential force, and rotor torque with accuracies of 99.9%, 98.4%, and 98.6%, respectively. While for normal force, the Decision Tree Regressor was of the highest accuracy with a value of 98.4%.
The outcomes of this work could be further used to provide a preliminary design of a micro-scale wind turbine while optimizing the desired outputs. It could also be used to create a data-based wind turbine calculations tool to ease the wind turbine design process. Further investigations could include different output measures, different design parameters or operational conditions, or refine the already used parameters for better inclusion of all cases. The result of this work is limited to micro-scale turbines. For large utility-scale turbines, the data should be trained for such sizes and working conditions.
Author Contributions
Conceptualization, A.I.; methodology, A.E. and A.I.; simulations, R.M., S.O., H.A., M.N. and N.M.; validation, R.M., S.O., H.A., M.N. and N.M.; data acquisition: R.M., S.O, H.A., M.N. and N.M.; data analysis, All authors; writing—original draft preparation, R.M., S.O., H.A., M.N. and N.M.; writing—review and editing, A.E. and A.I.; visualization, A.I.; supervision, A.I. All authors have read and agreed to the published version of the manuscript.
Funding
This research received no external funding.
Institutional Review Board Statement
Not applicable.
Informed Consent Statement
Not applicable.
Data Availability Statement
Raw preprocessed data are available upon reasonable request from the corresponding author because the research is still ongoing on the dataset.
Conflicts of Interest
The authors declare no conflicts of interest.
References
- Shaheen, M.A.M.; Hasanien, H.M.; Mekhamer, S.F.; Talaat, H.E.A. Walrus optimizer-based optimal fractional order PID control for performance enhancement of offshore wind farms. Sci. Rep. 2024, 14, 17636. [Google Scholar] [CrossRef] [PubMed]
- GWEC. Global Wind Report; GWEC: Brussels, Belgium, 2024. [Google Scholar]
- CCastelino, R.V.; Kumar, P.; Kashyap, Y.; Karthikeyan, A.; Sharma, K.M.; Karmakar, D.; Kosmopoulos, P. Exploring the Potential of Kite-Based Wind Power Generation: An Emulation-Based Approach. Energies 2023, 16, 5213. [Google Scholar] [CrossRef]
- Gambier, A. Actuators for Large Wind Energy Systems—A Tutorial-Focused Survey. Actuators 2024, 13, 416. [Google Scholar] [CrossRef]
- Zhang, Y.; Li, D.; Liu, H. Optimization of Connection Parameters of Self-Adaptive Modular Floating Wind Farms. J. Mar. Sci. Eng. 2024, 12, 1840. [Google Scholar] [CrossRef]
- Moscoloni, C.; Zarra, F.; Novo, R.; Giglio, E.; Vargiu, A.; Mutani, G.; Bracco, G.; Mattiazzo, G. Wind Turbines and Rooftop Photovoltaic Technical Potential Assessment: Application to Sicilian Minor Islands. Energies 2022, 15, 5548. [Google Scholar] [CrossRef]
- Marinescu, C. Design Consideration Regarding a Residential Renewable-Based Microgrid with EV Charging Station Capabilities. Energies 2021, 14, 5085. [Google Scholar] [CrossRef]
- Office of Energy Efficiency and Renewable Energy. Wind Exchange; Office of Energy Efficiency and Renewable Energy: 2024. Available online: https://windexchange.energy.gov/small-wind-guidebook (accessed on 14 October 2024).
- Bian, S.; Zhang, Y.; Cai, X.; Lin, S.; Wang, Y.; Guo, X. CFD simulation of the aerodynamic performance of co-axial multi-rotor wind turbines using the actuator line method. Ocean Eng. 2024, 311, 118933. [Google Scholar] [CrossRef]
- Liang, T.; Hu, C. Numerical simulation of wind turbine wake characteristics by flux reconstruction method. Renew. Energy 2024, 234, 121092. [Google Scholar] [CrossRef]
- DNV. Bladed—Wind Turbine Design and Analysis Software. DNV, 10 2024. Available online: https://www.dnv.com/software/services/bladed/ (accessed on 14 October 2024).
- Larsen, T.J.; Hansen, A.M. How 2 HAWC2, the User’s Manual; Technical University of Denmark: Roskilde, Denmark, 2023. [Google Scholar]
- National Renewable Energy Laboratory. OpenFAST Documentation; NREL: Golden, CO, USA, 2024. [Google Scholar]
- Marten, D. QBlade: A Modern Tool for the Aeroelastic Simulation of Wind Turbines; Technical University of Berlin: Berlin, Germany, 2020. [Google Scholar]
- Ismaiel, A. Rotor Dynamics of AWT-27 Two-Bladed Wind Turbine Under Turbulence Effect. Int. Rev. Mech. Eng. 2022, 16, 373. [Google Scholar] [CrossRef]
- Jawalageri, S.; Bhattacharya, S.; Jalilvand, S.; Malekjafarian, A. A Comparative Study on Load Assessment Methods for Offshore Wind Turbines Using a Simplified Method and OpenFAST Simulations. Energies 2024, 17, 2189. [Google Scholar] [CrossRef]
- Szczerba, Z.; Szczerba, P.; Szczerba, K.; Szumski, M.; Pytel, K. Wind Tunnel Experimental Study on the Efficiency of Vertical-Axis Wind Turbines via Analysis of Blade Pitch Angle Influence. Energies 2023, 16, 4903. [Google Scholar] [CrossRef]
- Huish, C.; Shakya, P.; Seibi, A.C.; Arias, D.; Shekaramiz, M.; Masoum, M.A.S. Comparison of applied loads on horizontal axis wind turbine blades using an open-source software Qblade and CFD solver ANSYS-FLUENT. Wind. Eng. 2024, 1–15. [Google Scholar] [CrossRef]
- Deghoum, K.; Gherbi, M.T.; Sultan, H.S.; Al-Tamimi, A.N.J.; Abed, A.M.; Abdullah, O.I.; Mechakra, H.; Boukhari, A. Optimization of Small Horizontal Axis Wind Turbines Based on Aerodynamic, Steady-State, and Dynamic Analyses. Appl. Syst. Innov. 2023, 6, 33. [Google Scholar] [CrossRef]
- Altmimi, A.I.; Alaskari, M.; Abdullah, O.I.; Alhamadani, A.; Sherza, J.S. Design and Optimization of Vertical Axis Wind Turbines Using QBlade. Appl. Syst. Innov. 2021, 4, 74. [Google Scholar] [CrossRef]
- Van, T.D.; Huu, D.N.; Le Quang, S. Consideration of various configurations of SG6043-based rotor applied in small capacity horizontal axis wind turbine. Int. J. Renew. Energy Dev. 2024, 13, 396–404. [Google Scholar]
- Rushdi, M.A.; Yoshida, S.; Watanabe, K.; Ohya, Y.; Ismaiel, A. Deep Learning Approaches for Power Prediction in Wind–Solar Tower Systems. Energies 2024, 17, 3630. [Google Scholar] [CrossRef]
- Patel, H.; Baz, A.; Patel, S.K. Design and analysis of a machine learning-optimized multi-layered absorber for renewable energy applications. Measurement 2025, 239, 115413. [Google Scholar] [CrossRef]
- Joshua, S.R.; Yeon, A.N.; Park, S.; Kwon, K. A Hybrid Machine Learning Approach: Analyzing Energy Potential and Designing Solar Fault Detection for an AIoT-Based Solar–Hydrogen System in a University Setting. Appl. Sci. 2024, 14, 8573. [Google Scholar] [CrossRef]
- Thakfan, A.; Salamah, Y.B. Artificial-Intelligence-Based Detection of Defects and Faults in Photovoltaic Systems: A Survey. Energies 2024, 17, 4807. [Google Scholar] [CrossRef]
- Blfgeh, A.; Alkhudhayr, H. A Machine Learning-Based Sustainable Energy Management of Wind Farms Using Bayesian Recurrent Neural Network. Sustainability 2024, 16, 8426. [Google Scholar] [CrossRef]
- Deisenroth, M.P.; Faisal, A.A.; Ong, C.S. Mathematics for Machine Learning; Cambridge University Press: Cambridge, UK, 2019. [Google Scholar]
Disclaimer/Publisher’s Note: The statements, opinions and data contained in all publications are solely those of the individual author(s) and contributor(s) and not of MDPI and/or the editor(s). MDPI and/or the editor(s) disclaim responsibility for any injury to people or property resulting from any ideas, methods, instructions or products referred to in the content. |
© 2024 by the authors. Published by MDPI on behalf of the International Institute of Knowledge Innovation and Invention. Licensee MDPI, Basel, Switzerland. This article is an open access article distributed under the terms and conditions of the Creative Commons Attribution (CC BY) license (https://creativecommons.org/licenses/by/4.0/).









