Improved DeepSORT Algorithm Based on Multi-Feature Fusion
Abstract
:1. Introduction
2. Analysis of Related Algorithms
2.1. Pedestrian Multi-Objective Tracking Algorithm
2.2. Feature Pyramid Network
2.3. Residual Network Structure
3. Generalized Intersection over Union (GIOU)
4. The Improved Feature Extraction Network
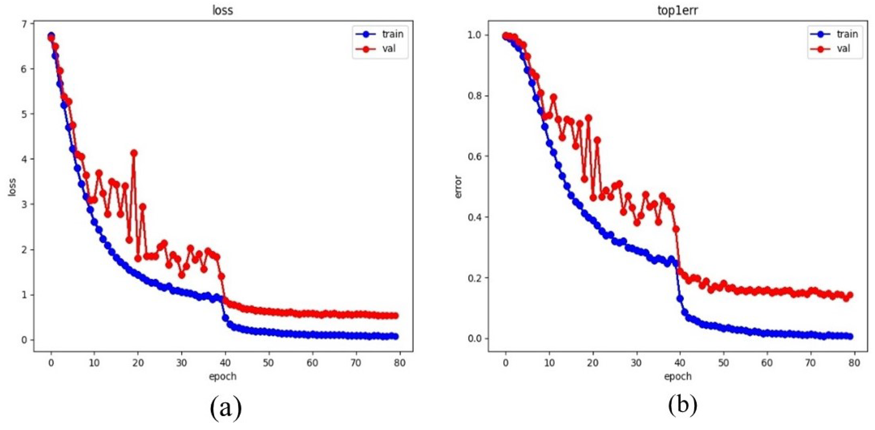
5. Experimental Results and Analysis
6. Conclusions
Author Contributions
Funding
Institutional Review Board Statement
Informed Consent Statement
Data Availability Statement
Conflicts of Interest
References
- Gong, X.; Le, Z.; Wu, Y.; Wang, H. Real-Time Multiobject Tracking Based on Multiway Concurrency. Sensors 2021, 21, 685. [Google Scholar] [CrossRef] [PubMed]
- Tathe, S.V.; Narote, A.S.; Narote, S.P. Face Recognition and Tracking in Videos. Adv. Sci. Technol. Eng. Syst. J. 2017, 2, 1238–1244. [Google Scholar] [CrossRef] [Green Version]
- Luo, W.; Xing, J.; Milan, A.; Zhang, X.; Liu, W.; Kim, T.K. Multiple object tracking: A literature review. Artif. Intell. Int. J. 2021, 1293, 103448. [Google Scholar] [CrossRef]
- Alex, K.; Ilya, S.; Geoffrey, E. ImageNet Classification with Deep Convolutional Neural Networks. Commun. ACM 2017, 60, 84–90. [Google Scholar]
- Bewley, A.; Zongyuan, G.; Ramos, F.; Upcroft, B. Simple online and realtime tracking. In Proceedings of the International Conference on Image Processing, Phoenix, AZ, USA, 25–28 September 2016; pp. 3464–3468. [Google Scholar]
- Ren, S.; He, K.; Girshick, R.; Sun, J. Faster R-CNN: Towards Real-Time Object Detection with Region Proposal Networks. IEEE Trans. Pattern Anal. Mach. Intell. 2017, 39, 1137–1149. [Google Scholar] [CrossRef] [PubMed] [Green Version]
- Wojke, N.; Bewley, A.; Paulus, D. Simple Online and Realtime Tracking with a Deep Association Metric. In Proceedings of the 2017 IEEE International Conference on Image Processing (ICIP), Beijing, China, 17–20 September 2017; pp. 3645–3649. [Google Scholar]
- Yu, F.; Li, W.; Li, Q.; Liu, Y.; Shi, X.; Yan, J. POI: Multiple object tracking with high performance detection and appearance feature. In Proceedings of the European Conference on Computer Vision, Amsterdam, The Netherlands, 11–14 October 2016; pp. 36–42. [Google Scholar]
- Chen, J.; Jin, M.; Wang, W.; Lu, Y. Traffic flow detection based on yolov3 and deepsort. J. Metrol. 2021, 42, 718–723. [Google Scholar]
- Jun, L.; Yaoru, W.; Guokang, F.; Zeng, Z. Real-time detection tracking and recognition algorithm based on multi-target faces. Multimedia Tools Appl. 2021, 80, 17223–17238. [Google Scholar]
- Gai, Y.; He, W.; Zhou, Z. Pedestrian Target Tracking Based on DeepSORT with YOLOv5. In Proceedings of the 2021 2nd International Conference on Computer Engineering and Intelligent Control, ICCEIC 2021, Chongqing, China, 12–14 November 2021; pp. 1–5. [Google Scholar]
- Shao, X.; Wang, Q.; Yang, W.; Chen, Y.; Xie, Y.; Shen, Y.; Wang, Z. Multi-Scale Feature Pyramid Network: A Heavily Occluded Pedestrian Detection Network Based on ResNet. Sensors 2021, 21, 1820. [Google Scholar] [CrossRef] [PubMed]
- Pereira, R.; Carvalho, G.; Garrote, L.; Nunes, U.J. SORT and Deep-SORT Based Multi-Object Tracking for Mobile Robotics: Evaluation with New Data Association Metrics. Appl. Sci. 2022, 12, 1319. [Google Scholar] [CrossRef]
- Maesschalck, R.D.; Jouan-Rimbaud, D.; Massart, D.L. Tutorial. The Mahalanobis distance. Chemometr. Intell. Lab. Syst. 2000, 50, 1–18. [Google Scholar] [CrossRef]
- Ben, W.; Shuhan, C.; Jian, W.; Hu, X. Residual feature pyramid networks for salient object detection. Vis. Comput. 2020, 36, 1897–1908. [Google Scholar]
- Kuang, Q. Face Image Feature Extraction based on Deep Learning Algorithm. J. Phys. 2021, 1852, 032040. [Google Scholar] [CrossRef]
- Yu, C.; Qiong, C.; Huang, Q.; Chen, G.; Fu, X. An Image Defog Network Based on Multi-scale Feature Extraction and Weighting. In Proceedings of the 2021 4th International Conference on Artificial Intelligence and Big Data (ICAIBD), Chengdu, China, 8–31 May 2021; pp. 423–427. [Google Scholar]
- He, K.; Zhang, X.; Ren, S.; Sun, J. Deep Residual Learning for Image Recognition. In Proceedings of the 2016 IEEE Conference on Computer Vision and Pattern Recognition (CVPR), Las Vegas, NV, USA, 27–30 June 2016; pp. 770–778. [Google Scholar]











| Algorithm | FP↓ | FN↓ | IDS↓ | % MOTA↑ | % MOTP↑ |
|---|---|---|---|---|---|
| SORT | 7318 | 32,615 | 1423 | 33.4 | 72.1 |
| DeepSORT | 12,852 | 36,747 | 781 | 61.4 | 81.7 |
| Our | 11,746 | 28,461 | 659 | 63.7 | 81.5 |
| Our-1 | 11,343 | 27,874 | 627 | 63.9 | 81.0 |
Publisher’s Note: MDPI stays neutral with regard to jurisdictional claims in published maps and institutional affiliations. |
© 2022 by the authors. Licensee MDPI, Basel, Switzerland. This article is an open access article distributed under the terms and conditions of the Creative Commons Attribution (CC BY) license (https://creativecommons.org/licenses/by/4.0/).
Share and Cite
Liu, H.; Pei, Y.; Bei, Q.; Deng, L. Improved DeepSORT Algorithm Based on Multi-Feature Fusion. Appl. Syst. Innov. 2022, 5, 55. https://doi.org/10.3390/asi5030055
Liu H, Pei Y, Bei Q, Deng L. Improved DeepSORT Algorithm Based on Multi-Feature Fusion. Applied System Innovation. 2022; 5(3):55. https://doi.org/10.3390/asi5030055
Chicago/Turabian StyleLiu, Haiying, Yuncheng Pei, Qiancheng Bei, and Lixia Deng. 2022. "Improved DeepSORT Algorithm Based on Multi-Feature Fusion" Applied System Innovation 5, no. 3: 55. https://doi.org/10.3390/asi5030055
APA StyleLiu, H., Pei, Y., Bei, Q., & Deng, L. (2022). Improved DeepSORT Algorithm Based on Multi-Feature Fusion. Applied System Innovation, 5(3), 55. https://doi.org/10.3390/asi5030055
