Fire Along the Street of the Dead: New Comprehensive Archaeomagnetic Survey in Teotihuacan (Central Mesoamerica)
Abstract
1. Introduction
2. Sampling Details and Experimental Procedures
3. Main Results and Discussion
4. Concluding Remarks
- Continuous thermomagnetic curves of saturation magnetization versus temperature were measured for two specimens from each sampled structure. The primary thermoremanent carriers are nearly pure magnetite or Ti-poor titanomagnetites, as indicated by Curie points between 550 °C and 570 °C. In samples from the Square of the Moon, both magnetite and Ti-rich titanomagnetites appear to coexist.
- Magnetic domain structures are dominated by pseudo-single-domain grains. Minor contributions from antiferromagnetic hematite may be present, though they appear to have a negligible influence on the remanent magnetization.
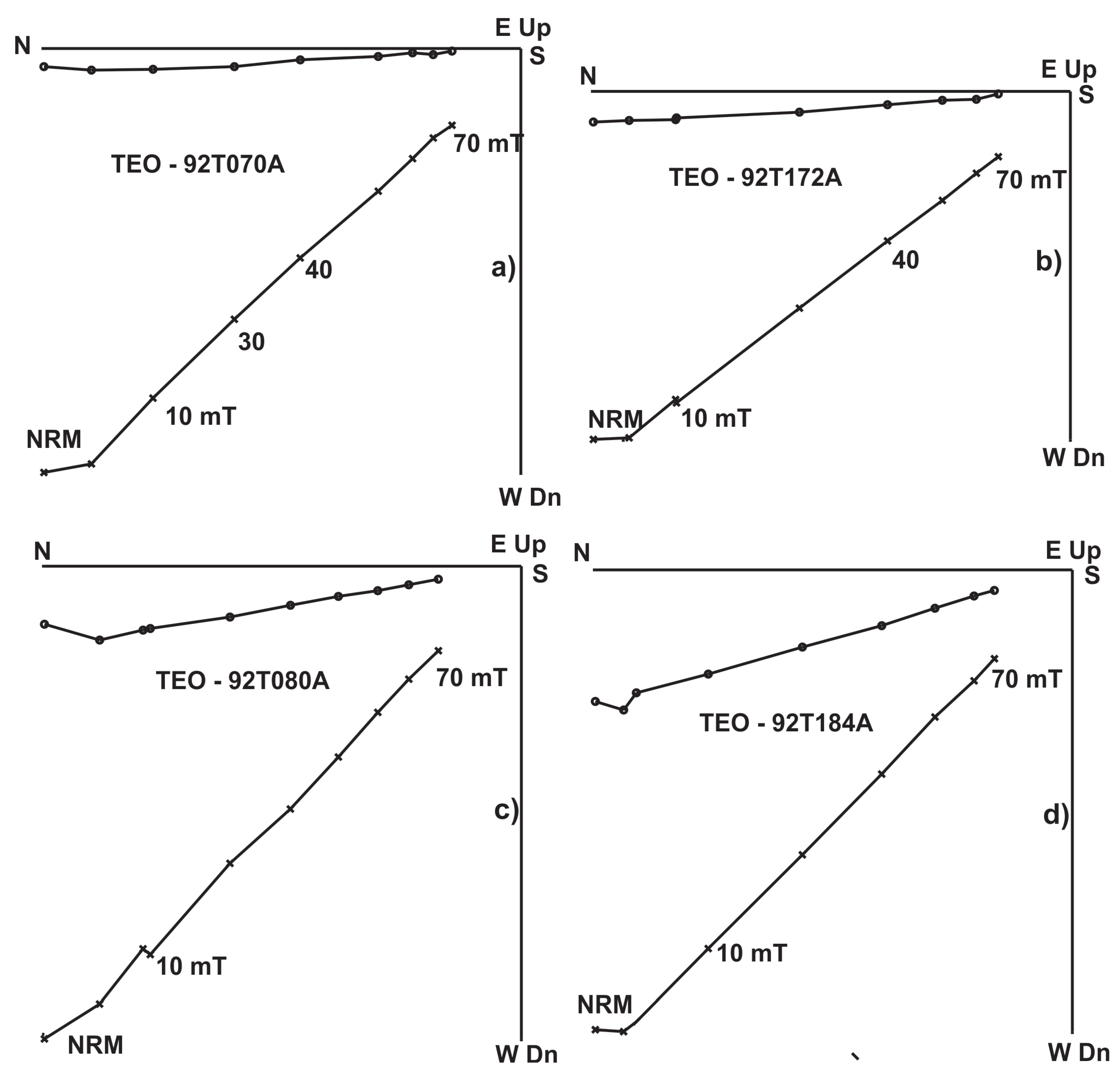
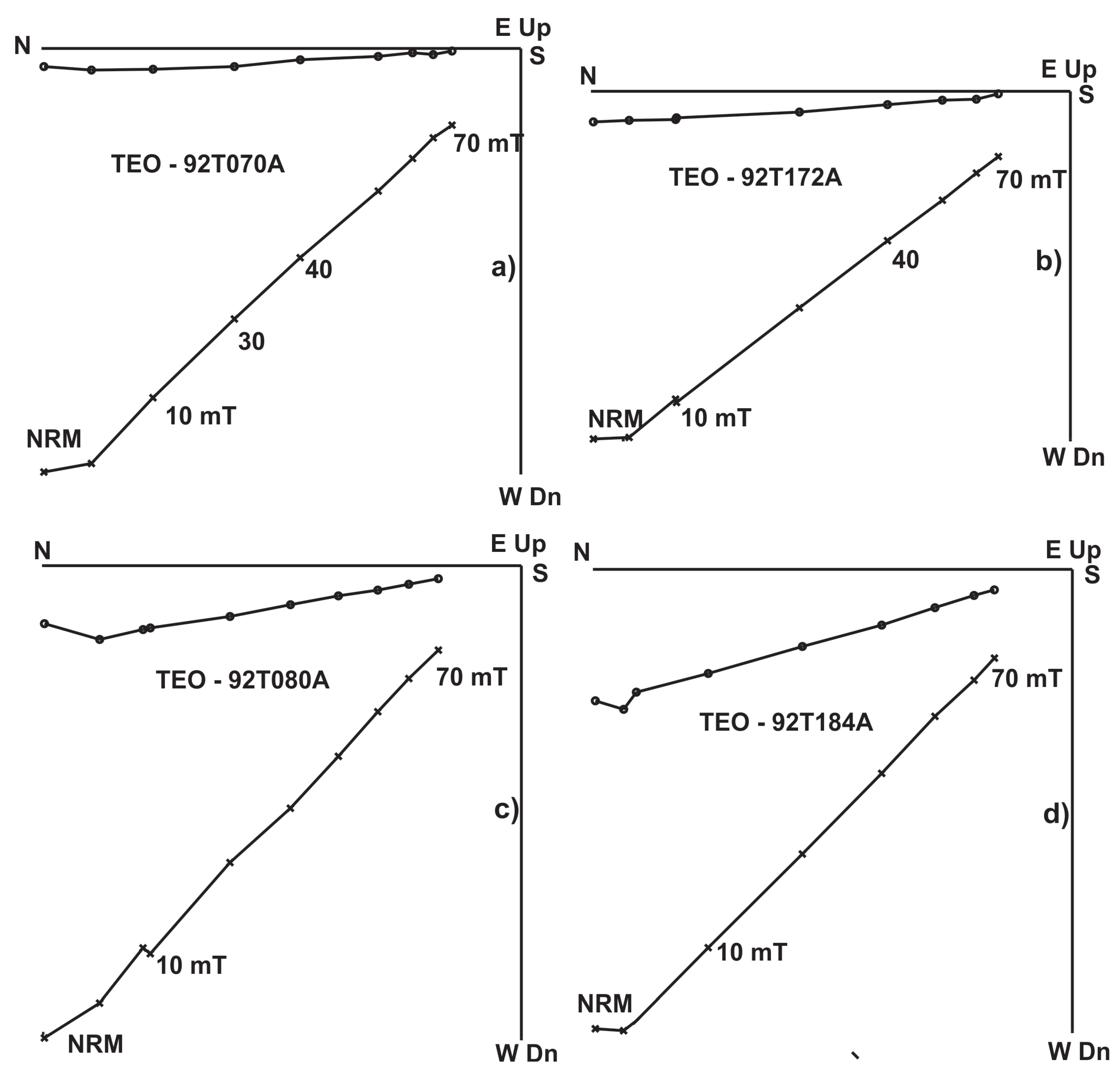
- Alternating field demagnetization proved highly effective in isolating primary, characteristic remanent magnetization (ChRM). Of 74 demagnetized specimens, 60 yielded well-defined directions. Site-mean paleodirections are well-grouped, with α95 values ranging from 1.7° to 3.6°.
- Of the 64 samples subjected to paleointensity analysis, 34 produced acceptable absolute archaeointensity determinations based on widely accepted quality criteria. Rejected samples exhibited concave-up behavior or evidence of two-slope segments in Arai–Nagata plots. Accepted site/structure mean absolute intensities ranged from 52.5 ± 5.4 µT to 39.4 ± 3.4 µT.
- Following a review of archaeological and environmental data, the time interval 1–800 AD was selected for archaeomagnetic dating. Both a global geomagnetic model (SHAWQ.2k) and two regional secular variation reference curves were employed.
- Although some discrepancies between global and local reference models were observed—and dual age solutions were occasionally encountered—most of the archaeomagnetic age intervals fall between ~400 and 500 AD. This timeframe corresponds to the Xolalpan phase, predating the traditionally recognized Metepec phase (550–650 AD) when the “Great Fire” likely occurred.
- These new results, which challenge the prevailing interpretations and previously published archaeomagnetic studies, highlight the need for a revised and more nuanced chronological framework for Teotihuacan’s collapse as well as the possible existence of urban renewal cycles that included the intentional burning of structures as part of ritual processes.
Author Contributions
Funding
Data Availability Statement
Conflicts of Interest
References
- González-Jácome, A. Mesoamérica: Un Desarrollo Teórico. Dimens. Antropol. 2000, 19, 121–152. [Google Scholar]
- Kirchhoff, P. Mesoamérica: Sus límites geográficos, composición étnica y caracteres culturales. Tlatoani 1960, 20. [Google Scholar]
- Cowgill, G.L. An update on Teotihuacan. Antiquity 2008, 82, 962–975. [Google Scholar] [CrossRef]
- Cowgill, G.L. Ancient Teotihuacan: Early Urbanism in Central Mexico; Cambridge University Press: Cambridge, UK, 2015. [Google Scholar]
- Rattray, E.C. La cerámica de Teotihuacan: Relaciones externas y cronología. An. De Antropol. 2011, 16. [Google Scholar] [CrossRef]
- Manzanilla, L. Teotihuacán; Opúsculos; El Colegio Nacional, Ciudad de México: Cuauhtémoc, México, 2017. [Google Scholar]
- Ortega Cabrera, V.; Vergara Esteban, E.; del Castillo Gómez, E. La historia tras el nombre de Teotihuacan: Aproximaciones históricas y observaciones solares. Cuicuilco Rev. De Cienc. Antropol. 2021, 28, 271–294. [Google Scholar]
- López Luján, L. La Recuperación Mexica del Pasado Teotihuacano; INAH-Asociación de Amigos del Templo Mayor-García Valadés Editores: Cuauhtemoc, México, 1989. [Google Scholar]
- Manzanilla, L. El proceso de abandono de Teotihuacán y su re-ocupación por grupos epiclásicos. Trace 2003, 43, 70–76. [Google Scholar]
- Manzanilla, L. The abandonment of Teotihuacan. In The Archaeology of Settlement Abandonment in Middle America: Foundations of Archaeological Inquiry; Inomata, T., Webb, R., Eds.; University of Utah Press: Salt Lake City, UT, USA, 2003; pp. 91–101. [Google Scholar]
- Goguitchaichvili, A. Refining the absolute chronology of Teotihuacan (Mesoamerica): New archaeomagnetic datings of fire footprints. J. Archaeol. Sci. Rep. 2022, 42, 103363. [Google Scholar] [CrossRef]
- Armillas, P. Teotihuacan, Tula y los Toltecas: Las culturas postarcaicas y pre-aztecas del centro de México: Excavaciones y estudios. Run. III 1950, 3, 37–70. [Google Scholar]
- Bernal, I. Teotihuacán. Descubrimientos y Reconstrucciones; INAH: Cuauhtemoc, México, 1963. [Google Scholar]
- Millon, R. Urbanization at Teotihuacán, Mexico. Volume One: The Teotihuacán Map. Part One: Text; University of Texas Press: Austin, TX, USA, 1973. [Google Scholar]
- Millon, R. The last years of Teotihuacan dominance. In The Collapse of Ancient States and Civilizations; Yoffee, N., Cowgill, G.L., Eds.; University of Arizona Press: Tucson, AZ, USA, 1988. [Google Scholar]
- Moragas Segura, A. Teotihuacan. Bachelor’s Thesis, Universidad Autónoma del Estado de Hidalgo, Pachuca, México, 2013. [Google Scholar]
- Morton, S.G.; Peuramaki-Brown, M.M.; Dawson, P.C.; Seibert, J.D. Civic and household community relationships at Teotihuacan, Mexico: A space syntax approach. Camb. Archaeol. J. 2012, 22, 387–400. [Google Scholar] [CrossRef]
- Thellier, E.; Thellier, O. Sur l’intensité du champ magnétique terrestre dans le passé historique et géologique. Ann. De Géophysique 1959, 15, 285–376. [Google Scholar]
- Coe, R.S. Paleo-intensities of the Earth’s magnetic field determined from Tertiary and Quaternary rocks. J. Geophys. Res. 1967, 72, 3247–3262. [Google Scholar] [CrossRef]
- Coe, R.S.; Grommé, C.S.; Mankinen, E.A. Geomagnetic paleointensities from radiocarbon dated lava flows on Hawaii and the question of the Pacific nondipole low. J. Geophys. Res. 1978, 83, 1740–1756. [Google Scholar] [CrossRef]
- Pérez-Rodríguez, N.; Morales, J.; Goguitchaichvili, A. A comprehensive paleomagnetic study from the last Plinian eruptions of Popocatepetl volcano: Absolute chronology of lavas and estimation of emplacement temperatures of PDCs. Earth Planets Space 2019, 71, 80. [Google Scholar] [CrossRef]
- Chauvin, A.; Garcia, Y.; Lanos, P.; Laubenheimer, F. Paleointensity of the geomagnetic field recovered on archaeomagnetic sites from France. Phys. Earth Planet. Inter. 2000, 120, 111–136. [Google Scholar] [CrossRef]
- Leonhardt, R.; Heunem, C.; Krása, D. Analyzing absolute paleointensity determinations: Acceptance criteria and the software Thellier Tool4.0. Geochem. Geophys. Geosyst. 2004, 5, 12. [Google Scholar] [CrossRef]
- Day, R.; Fuller, M.; Schmidt, V. Hysteresis properties of titanomagnetites—Grain-size and compositional dependence. Phys. Earth Planet. Inter. 1977, 13, 260–267. [Google Scholar] [CrossRef]
- Paterson, G. The effects of anisotropic and non-linear thermoremanent magnetizations on thellier-type paleointensity data. Geophys. J. Int. 2013, 193, 694–710. [Google Scholar] [CrossRef]
- Nagata, T.; Kobayashi, K.; Schwarz, E. Archeomagnetic intensity studies of South and Central America. J. Geomagn. Geoelectr. 1965, 17, 399–405. [Google Scholar] [CrossRef]
- Cowgill, G.L. State and society at Teotihuacan, Mexico. Annu. Rev. Anthropol. 1997, 26, 129–161. [Google Scholar]
- Cowgill, G.L. The urban organization of Teotihuacan, Mexico. In Settlement and Society: Essays Dedicated to Robert McCormick Adams; Stone, E., Ed.; Cotsen Institute of Archaeology and Oriental Institute: Los Angeles, CA, USA; Chicago, IL, USA, 2007; pp. 261–295. [Google Scholar]
- Ortega Cabrera, V. La Presencia Oaxaqueña en Teotihuacán Durante el Clásico. Doctoral Thesis, FFyL UNAM, Coyoacán, México, 2014. [Google Scholar]
- Manzanilla, L.; López, C.; Freter, A.C. Dating results from excavation in quarry tunnels behind the Pyramid of the Sun at Teotihuacan. Anc. Mesoam. 1996, 7, 245–266. [Google Scholar] [CrossRef]
- Manzanilla, L. El palacio de Xalla. In El Palacio de Xalla en Teotihuacán: Primer Acercamiento; Manzanilla, L., Ed.; Universidad Nacional Autónoma de México: México City, México, 2019; pp. 41–66. [Google Scholar]
- Manzanilla, L.; López-Luján, L. Exploraciones en un posible palacio de Teotihuacán: El Proyecto Xalla (2000–2001). Mex. XII 2001, 3, 58–61. [Google Scholar]
- Manzanilla, L. Nuevos datos sobre la cronología de Teotihuacán. In Cronología y Periodización de Mesoamérica y el Norte de México; Daneels, A., Ed.; Universidad Nacional Autónoma de México: México City, México, 2009; pp. 21–52. [Google Scholar]
- Lorenzo, J.L. Materiales para la arqueología de Teotihuacán; INAH: México City, México, 1968. [Google Scholar]
- Lachniet, M.S.; Asmerom, Y.; Polyak, V.J.; Bernal, J.P.; Piperno, D.R. A 2400 yr Mesoamerican rainfall reconstruction links climate and cultural change. Geology 2012, 40, 259–262. [Google Scholar] [CrossRef]
- Armillas, P. Exploraciones recientes en Teotihuacán, México. In Pedro Armillas: Vida y obra; Rojas Rabiela, T., Ed.; Centro de Investigaciones y Estudios Superiores en Antropología Social–INAH: México City, México, 1944; Volume I, pp. 77–98. [Google Scholar]
- Sugiyama, S. Human Sacrifice, Militarism, and Rulership: The Symbolism of the Feathered Serpent Pyramid at Teotihuacan, Mexico; Cambridge University Press: Cambridge, UK, 2005. [Google Scholar]
- Sugiyama, S.; López-Luján, L. Sacrificios de consagración en la Pirámide de la Luna; Instituto Nacional de Antropología e Historia: México City, México, 2006. [Google Scholar]
- Acosta, J.R. El Palacio del Quetzalpapalotl; Memorias; INAH: México City, México, 1964; No. 10. [Google Scholar]
- Campuzano, S.A.; Osete, M.L.; Pavón-Carrasco, F.J. Emergence and evolution of the South Atlantic Anomaly revealed by the new paleomagnetic reconstruction SHAWQ2k. Earth Planet. Sci. Lett. 2019, 512, 17–26. [Google Scholar] [CrossRef]
- Pavón-Carrasco, F.J.; Rodríguez-González, J.; Osete, M.L.; Torta, J.M. A MATLAB tool for archaeomagnetic dating. J. Archaeol. Sci. 2011, 38, 408–419. [Google Scholar] [CrossRef]
- Pavón-Carrasco, F.J.; Osete, M.L.; Torta, J.M.; De Santis, A. A geomagnetic field model for the Holocene based on archaeomagnetic and lava flow data. Earth Planet. Sci. Lett. 2014, 388, 98–109. [Google Scholar] [CrossRef]
- Serrano, M.; Pavón-Carrasco, F.J.; Campuzano, S.A.; Osete, M.L. ArchaeoPyDating: A new user-friendly release for archaeomagnetic dating. Archaeometry 2024, 66, 1424–1437. [Google Scholar] [CrossRef]
- Mahgoub, A.; Juárez-Arriaga, E.; Böhnel, H.; Manzanilla, L.; Cyphers, A. Refined 3600 years palaeointensity curve for Mexico. Phys. Earth Planet. Inter. 2019, 296, 106328. [Google Scholar] [CrossRef]
- García-Ruíz, R.; Goguitchaichvili, A.; Pavón-Carrasco, F.J.; Soler-Arechalde, A.; Pérez-Rodríguez, N.; Osete, M.L.; Kravchinsky, V.A. Fluctuations of magnetic inclination and declination in Mexico during the last three millennia. Quat. Geochronol. 2022, 71, 101309. [Google Scholar] [CrossRef]
- Liritzis, I. Cracking the code of earth’s magnetic mysteries: Ancient secrets unveiled by byzantine bricks reconfirmed by Mesopotamian ceramics. Proc. Eur. Acad. Sci. Arts 2024. [Google Scholar] [CrossRef]
- Wolfman, D. Mesoamerican chronology and archaeomagnetic dating, AD 1–1200. In Archaeomagnetic Dating; Eghmy, J.L., Sternberg, R.S., Eds.; University of Arizona Press: Tucson, AZ, USA, 1990; pp. 199–210. [Google Scholar]
- Hueda, Y.; Soler-Arechalde, A.M.; Urrutia-Fucugauchi, J.; Barba, L.; Manzanilla, L.; Rebolledo, M.; Goguitchaichvili, A. Archaeomagnetic studies in central México: Dating of Mesoamerican lime-plasters. Phys. Earth Planet. Inter. 2004, 147, 269–283. [Google Scholar] [CrossRef]
- Rodríguez-Ceja, M. Análisis y Fechamientos Arqueomagnético de estucos de zonas habitacionales de Teotihuacán (Xalla) y Templo Mayor. Bachelor Thesis, Facultad de Ciencias, UNAM, México City, México, 2003. [Google Scholar]
- Soler-Arechalde, A.M.; Sánchez, F.; Rodríguez, M.; Caballero-Miranda, C.; Goguitchaichvili, A.; Urrutia-Fucugauchi, J.; Manzanilla, L.; Tarling, D.H. Archaeomagnetic investigation of oriented pre-Columbian lime-plasters from Teotihuacan, Mesoamerica. Earth Planets Space 2006, 58, 1433–1439. [Google Scholar] [CrossRef]
- Soler-Arechalde, A.M.; Caballero-Miranda, C.; Urrutia-Fucugauchi, J.; Osete-López, M.L.; López-Delgado, V.; Goguitchaichvili, A.; Barrera-Huerta, A. An updated catalog of pre-Hispanic archaeomagnetic data for north and central Mesoamerica: Implications for the regional paleosecular variation reference curve. Boletín De La Soc. Geológica Mex. 2019, 71, 497–518. [Google Scholar] [CrossRef]
- Terán-Guerrero, A.G.; Soler-Arechalde, A.M.; Goguitchaichvili, A.; Urrutia-Fucugauchi, J. Dataciones arqueomagnéticas en la Ciudadela de Teotihuacán, Sierra de las Navajas y Xalasco. Arqueol. Iberoam. 2016, 29, 15–20. [Google Scholar]










| Archaeomagnetic directions | |||||
| Structure | n/N | Dec [°] | Inc [°] | α95 [°] | K |
| Square of the Moon 1 | 9/12 | −18.9 | 45 | 2.8 | 335.69 |
| Square of the Moon 2 | 10/12 | −1.8 | 33.5 | 2 | 580.07 |
| The Room of the Columns | 11/12 | −6.9 | 37.9 | 2.9 | 247.05 |
| Northeast San Juan River | 8/12 | 1.7 | 41.7 | 3.4 | 270.37 |
| Superimposed Buildings | 20/24 | −10.5 | 44.9 | 1.7 | 363.8 |
| West Square | 12/12 | −0.9 | 44.6 | 3.6 | 150.27 |
| Absolute paleointensities | |||||
| Structure | n/N | Intensity (μT) | |||
| Square of the Moon 1 | 5/11 | 39.4 | ± | 3.4 | |
| Square of the Moon 2 | 5/12 | 48.1 | ± | 2.0 | |
| The Room of the Columns | 5/11 | 49.3 | ± | 3.6 | |
| Norteast San Juan River | 5/11 | 42.9 | ± | 2.1 | |
| Superimposed Buildings | 5/17 | 47.5 | ± | 6.2 | |
| West Square | 9/12 | 52.5 | ± | 7.5 | |
| Square of the Moon—1 (Plaza de la Luna) | ||||||||||||
| Sample | Tmin-Tmax [°C] | N | f | g | q | MAD | α (alpha) | δ(CK) | δ(pal) | δ(t*) | δ(TR) | B ± σB [μT] |
| 92T001A | 150–400 | 6 | 0.65 | 0.76 | 10.9 | 2.3 | 3.5 | 5.2 | 4.7 | 3.1 | 1.7 | 39.8 ± 1.8 |
| 92T003A | 150–560 | 11 | 0.66 | 0.86 | 11.7 | 1.5 | 1.5 | 5 | 17.8 | 2.8 | 2 | 39.6 ± 1.9 |
| 92T005A | 150–540 | 10 | 0.47 | 0.87 | 13.8 | 7.2 | 25.4 | 1.7 | 6.8 | 0.7 | 1.3 | 35.1 ± 0.9 |
| 95T061A | 150–540 | 10 | 0.58 | 0.86 | 24.6 | 1.4 | 0.8 | 4.1 | 2.7 | 0.3 | 2.9 | 44.5 ± 1.1 |
| 95T063A | 250–500 | 7 | 0.72 | 0.87 | 15.4 | 1.7 | 1.2 | 1.3 | 0.3 | 1.2 | 5.1 | 38. 8 ± 1.4 |
| Mean | 39.4 ± 3.4 | |||||||||||
| Square of the Moon—2 (Plaza de la Luna) | ||||||||||||
| Sample | Tmin-Tmax [°C] | N | f | g | q | MAD | α (alpha) | δ(CK) | δ(pal) | δ(t*) | δ(TR) | B ± σB [μT] |
| 92T008A | 200–500 | 8 | 0.71 | 0.77 | 20.2 | 2.4 | 1.9 | 1.1 | 0.5 | 5.2 | 5.9 | 49.7 ± 1.8 |
| 92T011A | 250–515 | 8 | 0.72 | 0.84 | 11.2 | 2.4 | 1.7 | 1.9 | 2.2 | 3.8 | 4.6 | 45.3 ± 2.2 |
| 95T068A | 200–475 | 7 | 0.59 | 0.78 | 6.8 | 4.3 | 4.4 | 0.5 | 1.3 | 0.3 | 0.8 | 49.9 ± 3.2 |
| 95T069A | 250–540 | 9 | 0.82 | 0.84 | 21.4 | 2.8 | 1.8 | 3.5 | 5.1 | 1.4 | 1.8 | 46.8 ± 1.2 |
| 95T070A | 150–560 | 12 | 0.91 | 0.85 | 28.6 | 3.1 | 1.3 | 11.5 | 6.3 | 0.8 | 3.8 | 48.6 ± 1.4 |
| Mean | 48.1 ± 2.0 | |||||||||||
| The Room of the Columns | ||||||||||||
| Sample | Tmin-Tmax [°C] | N | f | g | q | MAD | α (alpha) | δ(CK) | δ(pal) | δ(t*) | δ(TR) | B ± σB [μT] |
| 92T014A | 150–500 | 8 | 0.75 | 0.86 | 15.1 | 2.4 | 2.6 | 5.9 | 8.3 | 2.6 | 1.2 | 51.5 ± 1.8 |
| 92T015A | 150–500 | 8 | 0.78 | 0.84 | 13.8 | 2.1 | 0.6 | 6.8 | 9.1 | 2.2 | 3 | 44.6 ± 2.2 |
| 92T016A | 200–515 | 8 | 0.71 | 0.85 | 27.4 | 12.8 | 14.5 | 53.1 | 12.9 | 1.5 | 2.6 | 54.1 ± 1.3 |
| 92T017A | 150–515 | 9 | 0.83 | 0.86 | 22.3 | 3.7 | 4.3 | 5.4 | 4.9 | 1.5 | 2.6 | 47.7 ± 1.5 |
| 95T073A | 150–475 | 8 | 0.82 | 0.81 | 22.1 | 2.8 | 1.8 | 3.9 | 1.2 | 0.6 | 0.6 | 48.4 ± 1.5 |
| Mean | 49.3 ± 3.6 | |||||||||||
| Superimposed Buildings | ||||||||||||
| Sample | Tmin-Tmax [°C] | N | f | g | q | MAD | α (alpha) | δ(CK) | δ(pal) | δ(t*) | δ(TR) | B ± σB [μT] |
| 92S020A | 150–560 | 12 | 0.75 | 0.88 | 11.6 | 1.2 | 1.3 | 4.4 | 4.4 | 2.4 | 1.4 | 48.5 ± 2.7 |
| 92S023A | 150–515 | 10 | 0.68 | 0.86 | 17.4 | 4.4 | 6.1 | 3.3 | 4.9 | 3.1 | 3 | 36.8 ± 1.1 |
| 92S024A | 150–560 | 12 | 0.87 | 0.85 | 45.1 | 1.5 | 0.9 | 1.6 | 2.3 | 1.3 | 2.5 | 49.1 ± 0.8 |
| 95S076A | 150–475 | 7 | 0.54 | 0.76 | 7.7 | 2.8 | 5 | 5.9 | 4.6 | 1.7 | 2.1 | 50.8 ± 2.8 |
| 95S079A | 300–560 | 8 | 0.81 | 0.83 | 20.7 | 1.5 | 0.5 | 6.8 | 0.9 | 3.3 | 4.1 | 52.5 ± 1.7 |
| Mean | 47.5 ± 6.2 | |||||||||||
| Northeast San Juan River Complex | ||||||||||||
| Sample | Tmin-Tmax [°C] | N | f | g | q | MAD | α (alpha) | δ(CK) | δ(pal) | δ(t*) | δ(TR) | B ± σB [μT] |
| 92T032M | 200–515 | 9 | 0.86 | 0.85 | 31.9 | 1.7 | 1.2 | 5.4 | 15.1 | 1.4 | 1.1 | 44.6 ± 0.9 |
| 92T033M | 200–515 | 9 | 0.73 | 0.79 | 24.2 | 2.6 | 2.5 | 4.8 | 11.4 | 0.9 | 1.8 | 45.5 ± 1.2 |
| 92T034M | 200–515 | 9 | 0.71 | 0.76 | 16.4 | 2.8 | 2.9 | 3.6 | 0.3 | 3.8 | 2.7 | 42.3 ± 1.3 |
| 92T035M | 200–515 | 9 | 0.84 | 0.85 | 27.9 | 3.5 | 4 | 6.6 | 9.7 | 3.4 | 2.5 | 42.0 ± 1.1 |
| 92T036M | 200–540 | 10 | 0.74 | 0.78 | 11.9 | 3.1 | 4.7 | 6.4 | 1.5 | 5.7 | 4.3 | 40.3± 1.6 |
| Mean | 42.9 ± 2.1 | |||||||||||
| West Square | ||||||||||||
| Sample | Tmin-Tmax [°C] | N | f | g | q | MAD | A (alpha) | δ(CK) | δ(pal) | δ(t*) | δ(TR) | B ± σB [μT] |
| 92T037A | 200–540 | 10 | 0.79 | 0.86 | 29.2 | 1.6 | 1.1 | 3 | 1.2 | 0.4 | 0.3 | 39.5 ± 0.9 |
| 92T038A | 200–560 | 11 | 0.68 | 0.88 | 21.8 | 1.9 | 0.5 | 2.8 | 6.1 | 2.1 | 1.1 | 64.2± 1.8 |
| 92T039A | 300–560 | 10 | 0.72 | 0.86 | 14.6 | 3.2 | 0.5 | 1.3 | 0.7 | 3.8 | 1.4 | 58.8 ± 2.7 |
| 92T040A | 200–540 | 10 | 0.72 | 0.86 | 14.7 | 1.9 | 0.1 | 9.4 | 20 | 0.9 | 1.8 | 47.1 ± 2.0 |
| 92T041A | 250–560 | 10 | 0.77 | 0.86 | 39.4 | 2.5 | 0.9 | 2.1 | 4 | 1.9 | 1.5 | 58.3 ± 1.5 |
| 92T042A | 150–540 | 10 | 0.76 | 0.85 | 38.2 | 1.8 | 0.5 | 3.4 | 3.7 | 4.4 | 1.1 | 50.2 ± 0.9 |
| 95T087A | 300–560 | 9 | 0.68 | 0.86 | 12.6 | 1.8 | 0.8 | 10.3 | 3 | 8.9 | 5.7 | 53.2 ± 2.4 |
| 95T088A | 300–560 | 10 | 0.75 | 0.86 | 27.1 | 1.5 | 0.7 | 8.7 | 4.2 | 2.7 | 1.8 | 54.7 ± 1.3 |
| 95T090A | 250–500 | 7 | 0.62 | 0.82 | 6.9 | 8.6 | 13.9 | 8.7 | 0.4 | 4.3 | 3.5 | 46.1 ± 2.9 |
| Mean | 52.5 ± 7.5 | |||||||||||
| STRUCTURE | SHAWQ2K | MG_2019 | GR_2022 |
|---|---|---|---|
| SQUARE OF THE MOON 1 | 428–474 * | 437–485 | 269–339 |
| SQUARE OF THE MOON 2 | 309–439 574–713 | 26–185 | 356–526 |
| THE ROOM OF THE COLUMNS | 295–379 402–467 | 321–412 | 332–535 |
| NORTEAST SAN JUAN RIVER | 401–574 | 79–104 397–487 | 286–425 |
| SUPERIMPOSED BUILDINGS | 414–484 | 421–483 | 274–391 |
| WEST SQUARE | 196–314 | 21–109 | 28 BC–98 BC |
Disclaimer/Publisher’s Note: The statements, opinions and data contained in all publications are solely those of the individual author(s) and contributor(s) and not of MDPI and/or the editor(s). MDPI and/or the editor(s) disclaim responsibility for any injury to people or property resulting from any ideas, methods, instructions or products referred to in the content. |
© 2025 by the authors. Licensee MDPI, Basel, Switzerland. This article is an open access article distributed under the terms and conditions of the Creative Commons Attribution (CC BY) license (https://creativecommons.org/licenses/by/4.0/).
Share and Cite
Romero, K.A.; Goguitchaichvili, A.; Kravchinsky, V.; Torres, G.; Ortega, V.; Archer, J.; Cejudo, R.; Bautista, F.; García Pimentel, A.; Ruiz, R.G.; et al. Fire Along the Street of the Dead: New Comprehensive Archaeomagnetic Survey in Teotihuacan (Central Mesoamerica). Quaternary 2025, 8, 63. https://doi.org/10.3390/quat8040063
Romero KA, Goguitchaichvili A, Kravchinsky V, Torres G, Ortega V, Archer J, Cejudo R, Bautista F, García Pimentel A, Ruiz RG, et al. Fire Along the Street of the Dead: New Comprehensive Archaeomagnetic Survey in Teotihuacan (Central Mesoamerica). Quaternary. 2025; 8(4):63. https://doi.org/10.3390/quat8040063
Chicago/Turabian StyleRomero, Karen Arreola, Avto Goguitchaichvili, Vadim Kravchinsky, Gloria Torres, Verónica Ortega, Jorge Archer, Rubén Cejudo, Francisco Bautista, Alejandra García Pimentel, Rafael García Ruiz, and et al. 2025. "Fire Along the Street of the Dead: New Comprehensive Archaeomagnetic Survey in Teotihuacan (Central Mesoamerica)" Quaternary 8, no. 4: 63. https://doi.org/10.3390/quat8040063
APA StyleRomero, K. A., Goguitchaichvili, A., Kravchinsky, V., Torres, G., Ortega, V., Archer, J., Cejudo, R., Bautista, F., García Pimentel, A., Ruiz, R. G., & Morales, J. (2025). Fire Along the Street of the Dead: New Comprehensive Archaeomagnetic Survey in Teotihuacan (Central Mesoamerica). Quaternary, 8(4), 63. https://doi.org/10.3390/quat8040063

