Measurement of Dilational Modulus of an Adsorbed BSA Film Using Pendant Bubble Tensiometry: From a Clean Interface to Saturation
Abstract
:1. Introduction
2. Materials and Methods
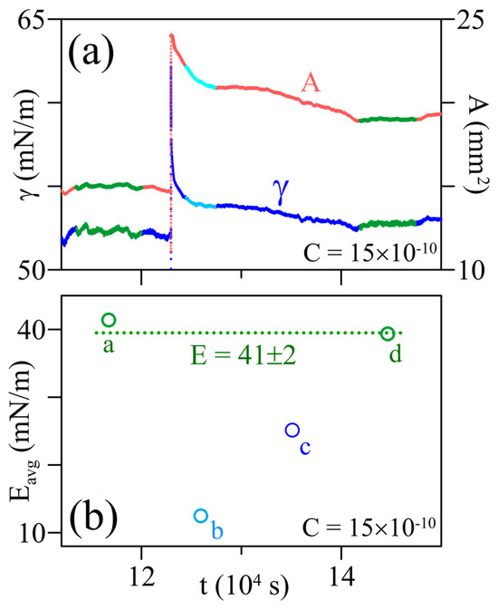
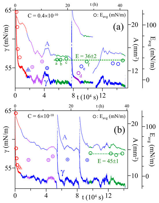
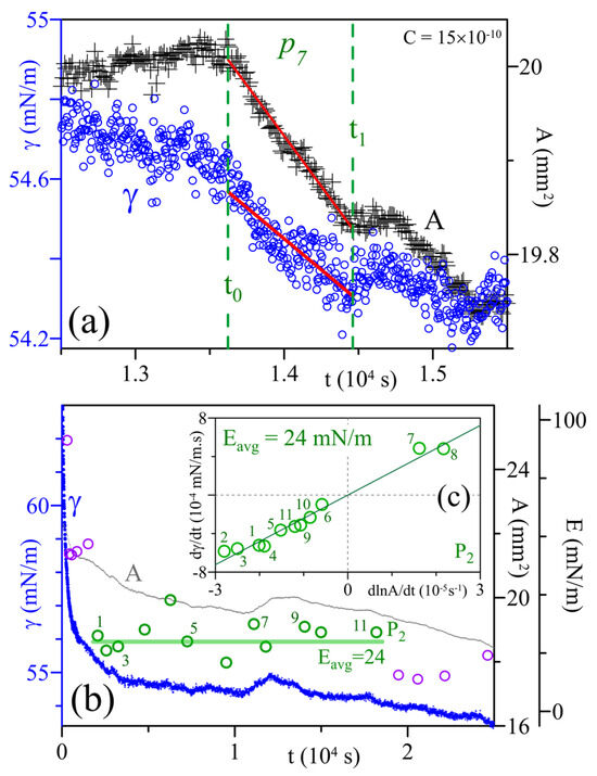
3. Results
4. Discussion
5. Conclusions
Supplementary Materials
Author Contributions
Funding
Data Availability Statement
Acknowledgments
Conflicts of Interest
References
- Ashoorirad, M.; Fallah, A.; Saviz, M. Measuring and assessment of impedance spectrum of collagen thin films in the presence of deionized water. J. Mol. Liq. 2020, 320, 114488. [Google Scholar] [CrossRef]
- Gebauer, M.; Skerra, A. Engineered Protein Scaffolds as Next-Generation Therapeutics. Annu. Rev. Pharmacol. Toxicol. 2020, 60, 391–415. [Google Scholar] [CrossRef] [PubMed]
- Ferreira, R.R.; Souza, A.G.; Rosa, D.S. Essential oil-loaded nanocapsules and their application on PBAT biodegradable films. J. Mol. Liq. 2021, 337, 116488. [Google Scholar] [CrossRef]
- Calva-Estrada, S.J.; Jiménez-Fernández, M.; Lugo-Cervantes, E. Protein-Based Films: Advances in the Development of Bio-materials Applicable to Food Packaging. Food Eng. Rev. 2019, 11, 78–92. [Google Scholar] [CrossRef]
- Galani, E.; Ly, I.; Laurichesse, E.; Schmitt, V.; Xenakis, A.; Chatzidaki, M.D. Pea and Soy Protein Stabilized Emulsions: Formula-tion, Structure, and Stability Studies. Colloids Interfaces 2023, 7, 30. [Google Scholar] [CrossRef]
- Jaganathan, M.; Selvaraju, C.; Dhathathreyan, A. pH induced reorganization of protein-protein interface in liposome encap-sulated Ferritin at air/fluid and fluid/solid interfaces. J. Mol. Liq. 2020, 312, 113422. [Google Scholar] [CrossRef]
- Zottig, X.; Côté-Cyr, M.; Arpin, D.; Archambault, D.; Bourgault, S. Protein Supramolecular Structures: From Self-Assembly to Nanovaccine Design. Nanomaterials 2020, 10, 1008. [Google Scholar] [CrossRef]
- Chen, B.; Wang, H.; Zhang, H.; He, Z.; Zhang, S.; Liu, T.; Zhou, Y. A novel hydrogen peroxide sensor based on hemoglobin im-mobilized PAn–SiO2/DTAB composite film. J. Mol. Liq. 2012, 171, 23–28. [Google Scholar] [CrossRef]
- Quijano-Rubio, A.; Yeh, H.W.; Park, J.; Lee, H.; Langan, R.A.; Boyken, S.E.; Lajoie, M.J.; Cao, L.; Chow, C.M.; Miranda, M.C.; et al. De novo design of modular and tunable protein biosensors. Nature 2021, 591, 482–487. [Google Scholar] [CrossRef]
- Chen, Y.; Nai, X.; Li, M.; Kong, J.; Hao, S.; Yan, H.; Liu, M.; Zhang, Q.; Liu, J. A comprehensive research on Lactone Sophorolipid (LSL) and Soy Protein Isolate (SPI) interacting mixture. J. Mol. Liq. 2021, 339, 117239. [Google Scholar] [CrossRef]
- Wagoner, T.; Vardhanabhuti, B.; Foegeding, E.A. Designing Whey Protein—Polysaccharide Particles for Colloidal Stability. Annu. Rev. Food Sci. Technol. 2016, 7, 93–116. [Google Scholar] [CrossRef] [PubMed]
- Sarigiannidou, K.; Odelli, D.; Jessen, F.; Mohammadifar, M.A.; Ajalloueian, F.; Vall-Llosera, M.; de Carvalho, A.F.; Casanova, F. Interfacial Properties of Pea Protein Hydrolysate: The Effect of Ionic Strength. Colloids Interfaces 2022, 6, 76. [Google Scholar] [CrossRef]
- Bhowal, A.C.; Kundu, S. Time dependent gold nanoclusters and nanocrystals formation on BSA at solid-water and air-solid interfaces. J. Mol. Liq. 2016, 224, 89–94. [Google Scholar] [CrossRef]
- Atkinson, P.J.; Dickinson, E.; Horne, D.S.; Richardson, R.M. Neutron reflectivity of adsorbed β-casein and β-lactoglobulin at the air/water interface. J. Chem. Soc. Faraday Trans. 1995, 91, 2847–2854. [Google Scholar] [CrossRef]
- Dickinson, E. Adsorbed protein layers at fluid interfaces: Interactions, structure and surface rheology. Colloids Surf. B Biointerfaces 1999, 15, 161–176. [Google Scholar] [CrossRef]
- Renault, A.; Pezennec, S.; Gauthier, F.; Vié, V.; Desbat, B. Surface Rheological Properties of Native and S-Ovalbumin Are Cor-related with the Development of an Intermolecular β-Sheet Network at the Air-Water Interface. Langmuir 2002, 18, 6887–6895. [Google Scholar] [CrossRef]
- Postel, C.; Abillon, O.; Desbat, B. Structure and denaturation of adsorbed lysozyme at the air-water interface. J. Colloid Interface Sci. 2003, 266, 74–81. [Google Scholar] [CrossRef]
- Martin, A.H.; Stuart, M.A.C.; Bos, M.A.; van Vliet, T. Correlation between Mechanical Behavior of Protein Films at the Air/Water Interface and Intrinsic Stability of Protein Molecules. Langmuir 2005, 21, 4083–4089. [Google Scholar] [CrossRef]
- Mitropoulos, V.; Mütze, A.; Fischer, P. Mechanical properties of protein adsorption layers at the air/water and oil/water inter-face: A comparison in light of the thermodynamical stability of proteins. Adv. Colloid Interface Sci. 2014, 206, 195–206. [Google Scholar] [CrossRef]
- Strazdaite, S.; Navakauskas, E.; Kirschner, J.; Sneideris, T.; Niaura, G. Structure Determination of Hen Egg-White Lysozyme Aggregates Adsorbed to Lipid/Water and Air/Water Interfaces. Langmuir 2020, 36, 4766–4775. [Google Scholar] [CrossRef]
- Ravera, F.; Dziza, K.; Santini, E.; Cristofolini, L.; Liggieri, L. Emulsification and emulsion stability: The role of the interfacial properties. Adv. Colloid Interface Sci. 2021, 288, 102344. [Google Scholar] [CrossRef] [PubMed]
- Sun, H.Q.; Zhang, L.; Li, Z.Q.; Zhang, L.; Luo, L.; Zhao, S. Interfacial dilational rheology related to enhance oil recovery. Soft Matter 2011, 7, 7601. [Google Scholar] [CrossRef]
- Lin, S.; McKeigue, K.; Maldarelli, C. Diffusion-controlled surfactant adsorption studied by pendant drop digitization. AIChE J. 1990, 36, 1785–1795. [Google Scholar] [CrossRef]
- Hussain, S.; Le, T.T.Y.; Tsay, R.-Y.; Lin, S.-Y. Solubility determination of surface-active components from dynamic surface tension data. J. Ind. Eng. Chem. 2020, 92, 297–302. [Google Scholar] [CrossRef]
- Lin, S.Y.; Hwang, H.F. Measurement of Low Interfacial Tension by Pendant Drop Digitization. Langmuir 1994, 10, 4703–4709. [Google Scholar] [CrossRef]
- Tseng, W.C.; Tsay, R.Y.; Le, T.T.Y.; Hussain, S.; Noskov, B.A.; Akentiev, A.; Yeh, H.H.; Lin, S.Y. Evaluation of the dilational modulus of protein films by pendant bubble tensiometry. J. Mol. Liq. 2022, 349, 118113. [Google Scholar] [CrossRef]
- Beverung, C.; Radke, C.J.; Blanch, H.W. Protein adsorption at the oil/water interface: Characterization of adsorption kinetics by dynamic interfacial tension measurements. Biophys. Chem. 1999, 81, 59–80. [Google Scholar] [CrossRef] [PubMed]
- Lucassen, J. Dynamic dilational properties of composite surfaces. Colloids Surfaces 1992, 65, 139–149. [Google Scholar] [CrossRef]
- Walstra, P. Physical Chemistry of Foods; CRC Press: Boca Raton, FL, USA, 2002. [Google Scholar]
- Roberts, S.A.; Kellaway, I.W.; Taylor, K.M.G.; Warburton, B.; Peters, K. Combined Surface Pressure−Interfacial Shear Rheology Study of the Effect of pH on the Adsorption of Proteins at the Air-Water Interface. Langmuir 2005, 21, 7342–7348. [Google Scholar] [CrossRef]
- Wang, H.Y. Influence of Oleic Acid and Electrolyte on the Interfacial Dilational Properties of Surfactant/Polymer Systems at the Decane-Water Interface. J. Dispers. Sci. Technol. 2010, 31, 1658–1666. [Google Scholar] [CrossRef]
- Hunter, J.R.; Kilpatrick, P.K.; Carbonell, R.G. Lysozyme adsorption at the air/water interface. J. Colloid Interface Sci. 1990, 137, 462–482. [Google Scholar] [CrossRef]
- Cornec, M.; Narsimhan, G. Adsorption and Exchange of β-Lactoglobulin onto Spread Monoglyceride Monolayers at the Air-Water Interface. Langmuir 2000, 16, 1216–1225. [Google Scholar] [CrossRef]
- Hunter, J.R.; Kilpatrick, P.K.; Carbonell, R.G. β-casein adsorption at the air/water interface. J. Colloid Interface Sci. 1991, 142, 429–447. [Google Scholar] [CrossRef]
- Poirier, A.; Banc, A.; Stocco, A.; In, M.; Ramos, L. Multistep building of a soft plant protein film at the air-water interface. J. Colloid Interface Sci. 2018, 526, 337–346. [Google Scholar] [CrossRef] [PubMed]
- Damodaran, S.; Xu, S. The Role of Electrostatic Forces in Anomalous Adsorption Behavior of Phosvitin at the Air/Water In-terface. J. Colloid Interface Sci. 1996, 178, 426–435. [Google Scholar] [CrossRef]
- Narsimhan, G.; Uraizee, F. Kinetics of Adsorption of Globular Proteins at an Air-Water Interface. Biotechnol. Prog. 1992, 8, 187–196. [Google Scholar] [CrossRef] [PubMed]
- Le, T.T.Y.; Hussain, S.; Tsay, R.Y.; Lin, S.Y. On the adsorption kinetics of bovine serum albumin at the air-water interface. J. Mol. Liq. 2022, 353, 118813. [Google Scholar]
- Muñoz, M.G.; Monroy, F.; Ortega, F.; Rubio, R.G.; Langevin, D. Monolayers of Symmetric Triblock Copolymers at the Air-Water Interface. 2. Adsorption Kinetics. Langmuir 2000, 16, 1094–1101. [Google Scholar] [CrossRef]
- Rivillon, S.; Muñoz, M.G.; Monroy, F.; Ortega, F.; Rubio, R.G. Experimental Study of the Dynamic Properties of Monolayers of PS—PEO Block Copolymers: The Attractive Monomer Surface Case. Macromolecules 2003, 36, 4068–4077. [Google Scholar] [CrossRef]
- Llamas, S.; Mendoza, A.J.; Guzmán, E.; Ortega, F.; Rubio, R.G. Salt effects on the air/solution interfacial properties of PEO-containing copolymers: Equilibrium, adsorption kinetics and surface rheological behavior. J Colloid Interface Sci. 2013, 400, 49–58. [Google Scholar] [CrossRef]
- Benjamins, J.; Lucassen-Reynders, E.H. Surface dilational rheology of proteins adsorbed at air/water and oil/water interfaces. In Proteins at Liquid Interfaces; Mobius, D., Miller, R., Eds.; Elsevier: Amsterdam, The Netherlands, 1998; pp. 341–384. [Google Scholar]
- Pereira, L.G.C.; Théodoly, O.; Blanch, H.W.; Radke, C.J. Dilatational Rheology of BSA Conformers at the Air/Water Interface. Langmuir 2003, 19, 2349–2356. [Google Scholar] [CrossRef]
- Berthold, A.; Schubert, H.; Brandes, N.; Kroh, L.; Miller, R. Behaviour of BSA and of BSA-derivatives at the air/water interface. Colloids Surf. A Physicochem. Eng. Asp. 2007, 301, 16–22. [Google Scholar] [CrossRef]
- Noskov, B.A.; Mikhailovskaya, A.A.; Lin, S.-Y.; Loglio, G.; Miller, R. Bovine Serum Albumin Unfolding at the Air/Water Interface as Studied by Dilational Surface Rheology. Langmuir 2010, 26, 17225–17231. [Google Scholar] [CrossRef] [PubMed]
- Yang, J.; Yu, K.; Tsuji, T.; Jha, R.; Zuo, Y.Y. Determining the surface dilational rheology of surfactant and protein films with a droplet waveform generator. J. Colloid Interface Sci. 2018, 537, 547–553. [Google Scholar] [CrossRef] [PubMed]
- Milyaeva, O.Y. Dynamic Surface Properties of Solutions of Bovine Serum Albumin Complexes with Silica Nanoparticles. Colloid J. 2020, 82, 538–545. [Google Scholar] [CrossRef]
- Pittia, P.; Wilde, P.J.; Husband, F.A.; Clark, D.C. Functional and Structural Properties of ?-lactoglobulin as Affected by High Pressure Treatment. J. Food Sci. 1996, 61, 1123–1128. [Google Scholar] [CrossRef]
- Wüstneck, R.; Moser, B.; Muschiolik, G. Interfacial dilational behaviour of adsorbed β-lactoglobulin layers at the different fluid interfaces. Colloids Surfaces B: Biointerfaces 1999, 15, 263–273. [Google Scholar] [CrossRef]
- Noskov, B.A.; Grigoriev, D.O.; Latnikova, A.V.; Lin, S.-Y.; Loglio, G.; Miller, R. Impact of Globule Unfolding on Dilational Viscoelasticity of β-Lactoglobulin Adsorption Layers. J. Phys. Chem. B 2009, 113, 13398–13404. [Google Scholar] [CrossRef]
- Ulaganathan, V.; Retzlaff, I.; Won, J.Y.; Gochev, G.; Gunes, D.Z.; Gehin-Delval, C.; Leser, M.; Noskov, B.A.; Miller, R. β-Lactoglobulin adsorption layers at the water/air surface: 2. Dilational rheology: Effect of pH and ionic strength. Colloids Surf. A Physicochem. Eng. Asp. 2017, 521, 167–176. [Google Scholar] [CrossRef]
- Wierenga, P.A.; Meinders, M.B.J.; Egmond, M.R.; Voragen, A.G.J.; de Jongh, H.H.J. Quantitative Description of the Relation between Protein Net Charge and Protein Adsorption to Air−Water Interfaces. J. Phys. Chem. B 2005, 109, 16946–16952. [Google Scholar] [CrossRef]
- Xiong, W.; Li, J.; Li, B.; Wang, L. Physicochemical properties and interfacial dilatational rheological behavior at air-water interface of high intensity ultrasound modified ovalbumin: Effect of ionic strength. Food Hydrocoll. 2019, 97, 105210. [Google Scholar] [CrossRef]
- Delahaije, R.J.; Lech, F.J.; Wierenga, P.A. Investigating the effect of temperature on the formation and stabilization of ovalbumin foams. Food Hydrocoll. 2019, 91, 263–274. [Google Scholar] [CrossRef]
- Delahaije, R.J.; Gruppen, H.; Giuseppin, M.L.; Wierenga, P.A. Quantitative description of the parameters affecting the adsorption behaviour of globular proteins. Colloids Surf. B Biointerfaces 2014, 123, 199–206. [Google Scholar] [CrossRef] [PubMed]
- Milyaeva, O.Y.; Campbell, R.A.; Lin, S.-Y.; Loglio, G.; Miller, R.; Tihonov, M.M.; Varga, I.; Volkova, A.V.; Noskov, B.A. Synergetic effect of sodium polystyrene sulfonate and guanidine hydrochloride on the surface properties of lysozyme solutions. RSC Adv. 2014, 5, 7413–7422. [Google Scholar] [CrossRef]
- Tihonov, M.; Milyaeva, O.; Noskov, B. Dynamic surface properties of lysozyme solutions. Impact of urea and guanidine hydrochloride. Colloids Surf. B Biointerfaces 2015, 129, 114–120. [Google Scholar] [CrossRef] [PubMed]
- Bénarouche, A.; Habchi, J.; Cagna, A.; Maniti, O.; Girard-Egrot, A.; Cavalier, J.F.; Longhi, S.; Carrière, F. Interfacial properties of NTAIL, an intrinsically disordered protein. Biophys. J. 2017, 113, 2723–2735. [Google Scholar] [CrossRef]
- Miller, R.; Fainerman, V.; Makievski, A.; Krägel, J.; Grigoriev, D.; Kazakov, V.; Sinyachenko, O. Dynamics of protein and mixed protein/surfactant adsorption layers at the water/fluid interface. Adv. Colloid Interface Sci. 2000, 86, 39–82. [Google Scholar] [CrossRef]
- Fainerman, V.B.; Kovalchuk, V.I.; Aksenenko, E.V.; Zinkovych, I.I.; Makievski, A.V.; Nikolenko, M.V.; Miller, R. Dilational Viscoelasticity of Proteins Solutions in Dynamic Conditions. Langmuir 2018, 34, 6678–6686. [Google Scholar] [CrossRef]
- Kovalchuk, V.I.; Aksenenko, E.V.; Trukhin, D.V.; Makievski, A.V.; Fainerman, V.B.; Miller, R. Effect of Amplitude on the Surface Dilational Visco-Elasticity of Protein Solutions. Colloids Interfaces 2018, 2, 57. [Google Scholar] [CrossRef]






Disclaimer/Publisher’s Note: The statements, opinions and data contained in all publications are solely those of the individual author(s) and contributor(s) and not of MDPI and/or the editor(s). MDPI and/or the editor(s) disclaim responsibility for any injury to people or property resulting from any ideas, methods, instructions or products referred to in the content. |
© 2023 by the authors. Licensee MDPI, Basel, Switzerland. This article is an open access article distributed under the terms and conditions of the Creative Commons Attribution (CC BY) license (https://creativecommons.org/licenses/by/4.0/).
Share and Cite
Hussain, S.; Rivas, J.E.M.; Tseng, W.-C.; Tsay, R.-Y.; Noskov, B.; Loglio, G.; Lin, S.-Y. Measurement of Dilational Modulus of an Adsorbed BSA Film Using Pendant Bubble Tensiometry: From a Clean Interface to Saturation. Colloids Interfaces 2024, 8, 4. https://doi.org/10.3390/colloids8010004
Hussain S, Rivas JEM, Tseng W-C, Tsay R-Y, Noskov B, Loglio G, Lin S-Y. Measurement of Dilational Modulus of an Adsorbed BSA Film Using Pendant Bubble Tensiometry: From a Clean Interface to Saturation. Colloids and Interfaces. 2024; 8(1):4. https://doi.org/10.3390/colloids8010004
Chicago/Turabian StyleHussain, Siam, Johann Eduardo Maradiaga Rivas, Wen-Chi Tseng, Ruey-Yug Tsay, Boris Noskov, Giuseppe Loglio, and Shi-Yow Lin. 2024. "Measurement of Dilational Modulus of an Adsorbed BSA Film Using Pendant Bubble Tensiometry: From a Clean Interface to Saturation" Colloids and Interfaces 8, no. 1: 4. https://doi.org/10.3390/colloids8010004
APA StyleHussain, S., Rivas, J. E. M., Tseng, W.-C., Tsay, R.-Y., Noskov, B., Loglio, G., & Lin, S.-Y. (2024). Measurement of Dilational Modulus of an Adsorbed BSA Film Using Pendant Bubble Tensiometry: From a Clean Interface to Saturation. Colloids and Interfaces, 8(1), 4. https://doi.org/10.3390/colloids8010004

