The Effects of Viscosity and Capillarity on Nonequilibrium Distribution of Gas Bubbles in Swelling Liquid–Gas Solution
Abstract
1. Introduction
2. Materials and Methods
2.1. Concentration of Gas around a Single Growing Bubble
2.2. Excluded Volume for a Single Growing Overcritical Bubble
2.3. Total Excluded Volume and Distribution of Overcritical Gas Bubbles in Radii
2.4. Swelling of Solution
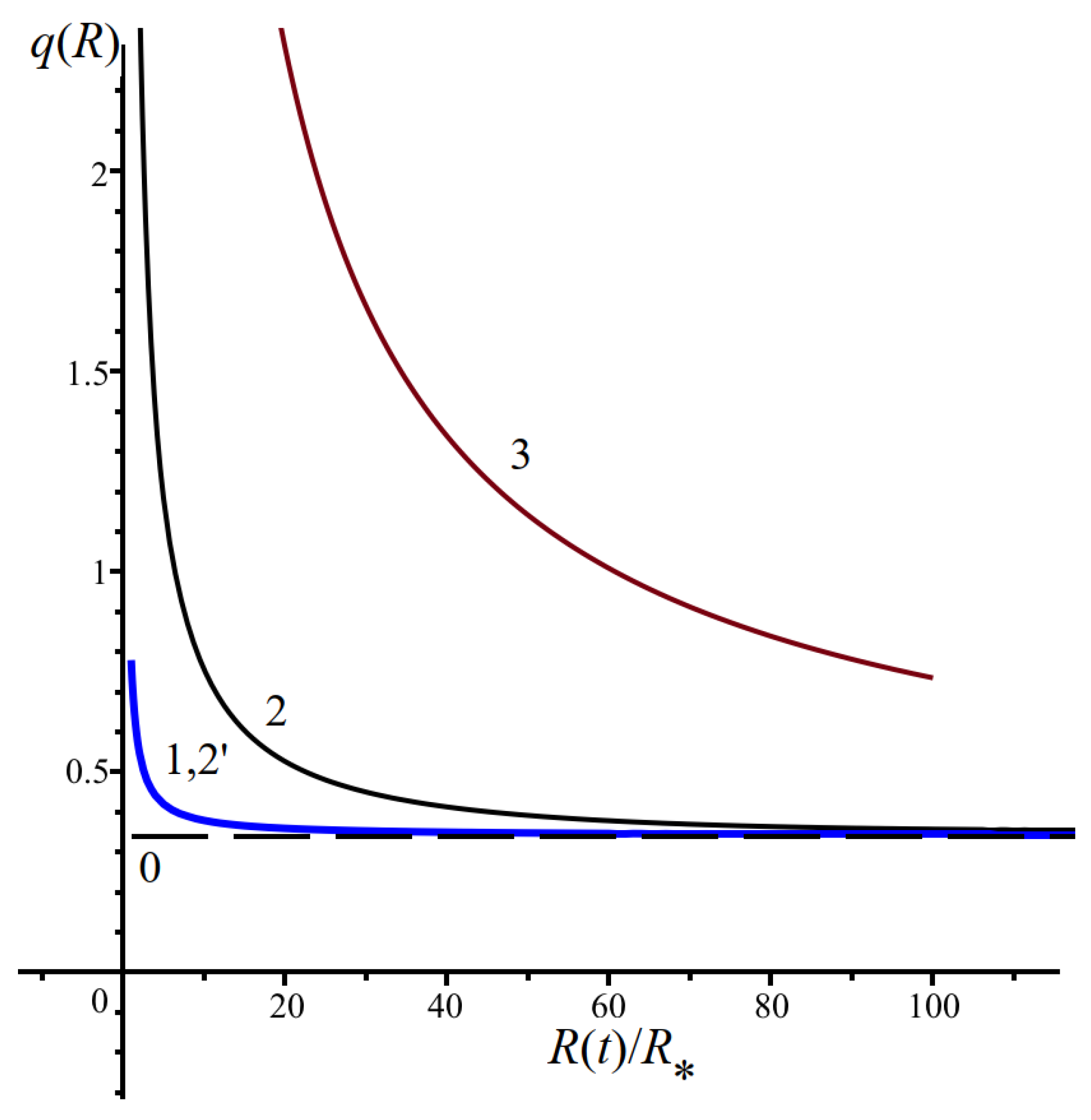
3. Results and Discussion
4. Conclusions
Author Contributions
Funding
Institutional Review Board Statement
Informed Consent Statement
Data Availability Statement
Conflicts of Interest
References
- Slezov, V.V. Kinetics of First-Order Phase Transitions; Wiley-VCH: Berlin, Germany, 2009; ISBN 97835274077505. [Google Scholar]
- Weaire, D.; Hutzler, S. The Physics of Foams; Oxford University Press: Oxford, UK, 2001; ISBN 9780198510970. [Google Scholar]
- Drenckhan, W.; Saint-Jalmes, A. The Science of Foaming. Adv. Colloid Interface Sci. 2015, 222, 228–259. [Google Scholar] [CrossRef]
- Briceño-Ahumada, Z.; Mikhailovskaya, A.; Staton, J.A. The Role of Continuous Phase Rheology on the Stabilization of Edible Foams: A Review Featured. Phys. Fluids 2022, 34, 031302. [Google Scholar] [CrossRef]
- Liger-Belair, G.; Parmentier, M.; Jeandet, P. Modeling the Kinetics of Bubble Nucleation in Champagne and Carbonated Beverages. J. Phys. Chem. B 2006, 110, 21145–21151. [Google Scholar] [CrossRef]
- Lee, J.-W.; Kim, S.; Lee, S.; Hwang, W. Exponential Promotion and Suppression of Bubble Nucleation in Carbonated Liquid by Modification of Surface Wettability. Appl. Surf. Sci. 2020, 512, 145709. [Google Scholar] [CrossRef]
- Vann, R.D.; Butler, F.K.; Mitchell, S.J.; Moon, R.E. Decompression illness. Lancet 2011, 377, 153–164. [Google Scholar] [CrossRef] [PubMed]
- Papadopoulou, V.; Tang, M.X.; Balestra, C.; Eckersley, R.J.; Karapantsios, T.D. Circulatory Bubble Dynamics: From Physical to Biological Aspects. Adv. Colloid Interface Sci. 2014, 206, 239–249. [Google Scholar] [CrossRef] [PubMed]
- Papadopoulou, V.; Eckersley, R.J.; Balestra, C.; Karapantsios, T.D.; Tang, M. A Critical Review of Physiological Bubble Formation in Hyperbaric Decompression. Adv. Colloid Interface Sci. 2013, 191–192, 22–30. [Google Scholar] [CrossRef]
- Ramesh, N.S. Fundamentals of Bubble Nucleation and Growth in Polymers. In Polymeric Foams: Mechanisms and Materials; Lee, S.T., Ramesh, N.S., Eds.; CRC Press: Boca Raton, FL, USA, 2004. [Google Scholar]
- Liu, P.S.; Chen, G.F. Porous Materials: Processing and Applications; Elsevier: Amsterdam, The Netherlands, 2014. [Google Scholar]
- Gao, X.; Chen, Y.; Xu, Z.; Zhao, L.; Hu, D. Supercritical CO2 Foaming of Thermoplastic Polyurethane Composite: Simultaneous Simulation of Cell Nucleation and Growth Coupling in Situ Visualization. Ind. Eng. Chem. Res. 2022, 61, 13474–13487. [Google Scholar] [CrossRef]
- Shea, T. Bubble nucleation in magmas: A Dominantly Heterogeneous Process? J. Volcanol. Geotherm. Res. 2017, 343, 155–170. [Google Scholar] [CrossRef]
- Gardner, J.E. Surface tension and bubble nucleation in phonolite magmas. Geochim. Cosmochim. Acta 2012, 76, 93–102. [Google Scholar] [CrossRef]
- Gardner, J.E.; Wadsworth, F.B.; Carley, T.L.; Llewellin, E.W.; Kusumaatmaja, H.; Sahagian, D. Bubble Formation in Magma. Annu. Rev. Earth Planet. Sci. 2023, 51, 131–154. [Google Scholar] [CrossRef]
- Chernov, A.A.; Pil’nik, A.A.; Davydov, M.N. Peculiarities of Gas Bubble Growth in Magmatic Melt under the Condition of Rapid Decompression. J. Phys. Conf. Ser. 2019, 1382, 012107. [Google Scholar] [CrossRef]
- Kuchma, A.E.; Kuni, F.M.; Shchekin, A.K. Nucleation Stage with Nonsteady Growth of Supercritical Gas Bubbles in a Strongly Supersaturated Liquid Solution and the Effect of Excluded Volume. Phys. Rev. E 2009, 80, 061125. [Google Scholar] [CrossRef]
- Kuchma, A.E.; Kuni, F.M.; Shchekin, A.K. Excluded Volume Effect at the Stage of Nucleation of Supercritical Gas Bubbles in a Highly Supersaturated Liquid Solution. Vestn. S.-Peterb. Gos. Univ. Ser. 2009, 4, 320–330. (In Russian) [Google Scholar]
- Kuchma, A.E.; Shchekin, A.K.; Bulgakov, M.Y. The Theory of Degassing and Swelling of a Supersaturated-by-Gas Solution. Physica A 2017, 468, 228–237. [Google Scholar] [CrossRef]
- Kuchma, A.E.; Shchekin, A.K.; Martyukova, D.S.; Savin, A.V. Dynamics of Ensemble of Gas Bubbles with Account of the Laplace Pressure on the Nucleation Stage at Degassing in Gas-Liqiud Mixture. Fluid Phase Equilibria 2018, 455, 63–69. [Google Scholar] [CrossRef]
- Kuchma, A.E.; Shchekin, A.K.; Martyukova, D.S. Nucleation Stage of Multicomponent Bubbles of Gases Dissolved in a Decompressed Liquid. J. Chem. Phys. 2018, 148, 234103. [Google Scholar] [CrossRef]
- Shchekin, A.K.; Kuchma, A.E. The Kinetic Theory for the Stage of Homogeneous Nucleation of Multicomponent Droplets and Bubbles: New Results. Colloid J. 2020, 82, 217–244. [Google Scholar] [CrossRef]
- Zener, C. Theory of Growth of Spherical Precipitates from Solid Solution. J. Appl. Phys. 1949, 20, 950–953. [Google Scholar] [CrossRef]
- Scriven, L.E. On the Dynamics of Phase Growth. Chem. Eng. Sci. 1959, 10, 1–13. [Google Scholar] [CrossRef]
- Grinin, A.P.; Kuni, F.M.; Gor, G.Y. The Rate of Nonsteady Gas Bubble Growth in Liquid Supersaturated with Gas. J. Mol. Liquids 2009, 148, 32–34. [Google Scholar] [CrossRef]
- Chernov, A.A.; Pil’nik, A.A.; Davydov, M.N.; Ermanyuk, E.V.; Pakhomov, M.A. Gas Nucleus Growth in High-Viscosity Liquid under Strongly Non-Equilibrium Conditions. Int. J. Heat Mass Transf. 2018, 123, 1101–1108. [Google Scholar] [CrossRef]
- Davydov, M.N.; Chernov, A.A.; Pil’nik, A.A. Dynamics of a Gas Bubble During Fluid Decompression at a Constant Rate. J. Phys. Conf. Ser. 2020, 1675, 012030. [Google Scholar] [CrossRef]
- Kuchma, A.E.; Shchekin, A.K. Concentration Profiles around and Chemical Composition within Growing Multicomponent Bubble in Presence of Curvature and Viscous Effects. Pure Appl. Chem. 2020, 92, 1123–1133. [Google Scholar] [CrossRef]
- Kuchma, A.E.; Shchekin, A.K. Regularities of Non-Stationary Diffusion Growth of Overcritical Gas Bubbles and Kinetics of Bubble Distribution in Presence of Capillary and Viscous Forces. J. Chem. Phys. 2021, 154, 144101. [Google Scholar] [CrossRef]
- Shchekin, A.K.; Kuchma, A.E.; Aksenova, E.V. Effects of Viscous and Capillary Forces on the Growth Rates of Gas Bubbles in Supersaturated Liquid–Gas Solutions. Phys. A 2023, 609, 128303. [Google Scholar] [CrossRef]
- Kuchma, A.E.; Shchekin, A.K. Strict Limitations of the Approximation of Mean-Field Supersaturation in Kinetics of Nucleation and Wide Possibilities of the Excluded Volume Approach. Russ. J. Gen. Chem. 2022, 92, 641–649. [Google Scholar] [CrossRef]
- Chernov, A.A.; Davydov, M.N.; Pil’nik, A.A. Growth dynamics of a gas bubble in a high-viscosity gas-saturated liquid during its decompression at a finite velocity. Teplofiz. Aeromechanica 2023, 30, 163–172. (In Russian) [Google Scholar]







Disclaimer/Publisher’s Note: The statements, opinions and data contained in all publications are solely those of the individual author(s) and contributor(s) and not of MDPI and/or the editor(s). MDPI and/or the editor(s) disclaim responsibility for any injury to people or property resulting from any ideas, methods, instructions or products referred to in the content. |
© 2023 by the authors. Licensee MDPI, Basel, Switzerland. This article is an open access article distributed under the terms and conditions of the Creative Commons Attribution (CC BY) license (https://creativecommons.org/licenses/by/4.0/).
Share and Cite
Shchekin, A.K.; Kuchma, A.E.; Aksenova, E.V. The Effects of Viscosity and Capillarity on Nonequilibrium Distribution of Gas Bubbles in Swelling Liquid–Gas Solution. Colloids Interfaces 2023, 7, 39. https://doi.org/10.3390/colloids7020039
Shchekin AK, Kuchma AE, Aksenova EV. The Effects of Viscosity and Capillarity on Nonequilibrium Distribution of Gas Bubbles in Swelling Liquid–Gas Solution. Colloids and Interfaces. 2023; 7(2):39. https://doi.org/10.3390/colloids7020039
Chicago/Turabian StyleShchekin, Alexander K., Anatoly E. Kuchma, and Elena V. Aksenova. 2023. "The Effects of Viscosity and Capillarity on Nonequilibrium Distribution of Gas Bubbles in Swelling Liquid–Gas Solution" Colloids and Interfaces 7, no. 2: 39. https://doi.org/10.3390/colloids7020039
APA StyleShchekin, A. K., Kuchma, A. E., & Aksenova, E. V. (2023). The Effects of Viscosity and Capillarity on Nonequilibrium Distribution of Gas Bubbles in Swelling Liquid–Gas Solution. Colloids and Interfaces, 7(2), 39. https://doi.org/10.3390/colloids7020039

