Synthesis of Molybdenum Blue Dispersions Using Ascorbic Acid as Reducing Agent
Abstract
1. Introduction
2. Materials and Methods
3. Results
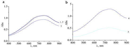
3.1. Synthesis of Molybdenum Blue without HCL
3.2. Synthesis of Molybdenum Blue Using HCL
3.3. Properties of Molybdenum Blue Nanoparticles
4. Discussion
5. Conclusions
Author Contributions
Funding
Conflicts of Interest
References
- Liu, T.; Diemann, E.; Müller, A. Hydrophilic inorganic macro-ions in solution: Unprecedented self-assembly emerging from historical “blue waters”. J. Chem. Educ. 2007, 84, 526–532. [Google Scholar] [CrossRef]
- Muller, A.; Serain, C. Soluble molybdenum blues—“Des pudels kern”. Acc. Chem. Res. 2000, 33, 2–10. [Google Scholar] [CrossRef]
- Botar, B.; Ellern, A.; Kögerler, P. Mapping the formation areas of giant molybdenum blue clusters: A spectroscopic study. Dalton Trans. 2012, 41, 8951–8959. [Google Scholar] [CrossRef] [PubMed]
- Arvas, M.B.; Gorduk, O.; Gencten, M.; Sahin, Y. Preparation of a novel electrochemical sensor for phosphate detection based on molybdenum blue modified poly (vinyl chloride) coated pencil graphite electrode. Anal. Methods 2019, 11, 3874–3881. [Google Scholar] [CrossRef]
- Okazaki, T.; Wang, W.; Kuramitz, H.; Hata, N.; Taguchi, S. Molybdenum blue spectrophotometry for trace arsenic in ground water using a soluble membrane filter and calcium carbonate column. Anal. Sci. 2013, 29, 67–72. [Google Scholar] [CrossRef] [PubMed]
- Long, D.L.; Burkholder, E.; Cronin, L. Polyoxometalate clusters, nanostructures and materials: From self-assembly to designer materials and devices. Chem. Soc. Rev. 2007, 36, 105–121. [Google Scholar] [CrossRef] [PubMed]
- Noro, S.; Tsunashima, R.; Kamiya, Y.; Uemura, K.; Kita, H.; Cronin, L.; Akutagawa, T.; Nakamura, T. Adsorption and catalytic properties of the inner nanospace of a gigantic ring-shaped polyoxometalate cluster. Angew. Chem. Int. Ed. 2009, 48, 8703–8706. [Google Scholar] [CrossRef]
- Vit, Z.; Gulkova, D.; Novak, M. Preparation of alumina supported Mo catalysts from molybdenum blue precursor. React. Kinet. Catal. Lett. 1995, 55, 221–226. [Google Scholar] [CrossRef]
- Liu, X.; Conte, M.; Weng, W. Molybdenum blue nano-rings: An effective catalyst for the partial oxidation of cyclohexane. Catal. Sci. Technol. 2014, 5, 217–227. [Google Scholar] [CrossRef]
- Gavrilova, N.N.; Nazarov, V.V.; Skudin, V.V. Synthesis of membrane catalysts based on Mo2C. Kinet. Catal. 2015, 56, 670–680. [Google Scholar] [CrossRef]
- Müller, A.; Krickemeyer, E.; Bögge, H.; Schmidtmann, M.; Roy, S.; Berkle, A. Changeable pore sizes allowing effective and specific recognition by a molybdenum-oxide based “Nanosponge”: En route to sphere-surface and nanoporous-cluster chemistry. Angew. Chem. 2002, 114, 3756–3761. [Google Scholar] [CrossRef]
- Gilles, A.; Mihai, S.; Nasr, G.; Mahon, E.; Garai, S.; Müller, A.; Barboiu, M. Highly selective Li+ ion transport by porous molybdenum-oxide keplerate-type nanocapsules integrated in a supported liquid membrane. Isr. J. Chem. 2013, 53, 102–107. [Google Scholar] [CrossRef]
- Yang, H.-K.; Cheng, Y.-X.; Su, M.-M.; Xiao, Y.; Hu, M.B.; Wang, W.; Wang, Q. Polyoxometalate–biomolecule conjugates: A new approach to create hybrid drugs for cancer therapeutics. Bioorganic Med. Chem. Lett. 2013, 23, 1462–1466. [Google Scholar] [CrossRef] [PubMed]
- Ostroushko, A.A.; Danilova, I.G.; Gette, I.F.; Medvedeva, S.Y.; Tonkushina, M.O.; Prokofieva, A.V.; Morozova, M.V. Study of safety of molybdenum and iron-molybdenum nanocluster polyoxometalates intended for targeted delivery of drugs. J. Biomater. Nanobiotech. 2011, 2, 557–560. [Google Scholar] [CrossRef]
- Thomas, P.; Chandel, S.; Mallick, A.; Sreejith, S.S.; Ghosh, N.; Roy, S. Studying the crystallization of polyoxometalates from colloidal doftoxometalates. Cryst. Growth Des. 2018, 18, 4068–4075. [Google Scholar] [CrossRef]
- Liu, T. Hydrophilic macroionic solutions: What happens when soluble ions reach the size of nanometer scale? Langmuir 2010, 26, 9202–9213. [Google Scholar] [CrossRef]
- Roy, S. Soft-oxometalates beyond crystalline polyoxometalates: Formation, structure and properties. Cryst. Eng. Comm. 2014, 16, 4667–4676. [Google Scholar] [CrossRef]
- McCleverty, J.A.; Meyer, T.J. Comprehensive Coordination Chemistry II: From Biology to Nanotechnology; Elsevier: Amsterdam, The Netherlands, 2003. [Google Scholar]
- Liu, T. An unusually slow self-assembly of inorganic ions in dilute aqueous solution. J. Am. Chem. Soc. 2003, 125, 312–313. [Google Scholar] [CrossRef]
- Nagul, E.A.; McKelvie, I.D.; Worsfold, P.; Kolev, S.D. The molybdenum blue reaction for the determination of orthophosphate revisited: Opening the black box. Anal. Chim. Acta 2015, 890, 60–82. [Google Scholar] [CrossRef] [PubMed]
- Myachina, M.A.; Gavrilova, N.N.; Nazarov, V.V. Formation of molybdenum blue particles via the reduction of a molybdate solution with glucose. Russ. J. Phys. Chem. 2018, 92, 2237–2241. [Google Scholar] [CrossRef]
- Bazhenova, M.D.; Gavrilova, N.N.; Nazarov, V.V. Some colloidochemical properties of molybdenum blues synthesized using glucose as a reducing agent. Colloid J. 2015, 77, 1–5. [Google Scholar] [CrossRef]
- Myachina, M.A.; Gavrilova, N.N.; Nazarov, V.V. Formation of molybdenum blues particles via the reduction of molybdate solutions with hydroquinone. Colloid J. 2019, 81, 541–545. [Google Scholar] [CrossRef]
- Tytko, K.H.; Trobisch, U. Mo Molybdenum: Molybdenum Oxide Hydrates. Oxomolybdenum Species in Aqueous Solutions; Springer: Berlin/Heidelberg, Germany, 1987. [Google Scholar]
- Müller, A.; Sarkar, S.; Shah, S.Q.N.; Bögge, H.; Schmidtmann, M.; Sarkar, S.; Kögerler, P.; Hauptfleisch, B.; Trautwein, A.X.; Schünemann, V. Archimedean synthesis and magic numbers: “sizing” giant molybdenum-oxide-based molecular spheres of the keplerate type. Ang. Chem. Int. Ed. 1999, 38, 3238–3241. [Google Scholar] [CrossRef]
- Davies, M.B.; Austin, J.; Partridge, D.A. Vitamin C: Its Chemistry and Biochemistry; Royal Society of Chemistry: Letchworth, UK, 1991. [Google Scholar]
- Michiels, Y.; Puyvelde, P.; Sels, B. Barriers and Chemistry in a Bottle: Mechanisms in Today’s Oxygen Barriers for Tomorrow’s Materials. Appl. Sci. 2017, 7, 665. [Google Scholar] [CrossRef]
- Moss, R.W. Free Radical: Albert Szent-Gyorgyi and Battle over Vitamin C; Paragon House: New York, NY, USA, 1988. [Google Scholar]
- Pope, M.T.; Müller, A. Polyoxometalate chemistry: An old field with new dimensions in several disciplines. Angew. Chem. Int. Ed. 1991, 30, 34–48. [Google Scholar] [CrossRef]
- Ostroushko, A.A.; Korotayev, V.Y.; Tonkushina, M.O.; Grzhegorzhevskii, K.V.; Vazhenin, V.A.; Kutyashev, I.B.; Martynova, N.A.; Men’shikov, S.Y.; Selezneva, N.V. Electrotransport, sorption, and photochemical properties of nanocluster polyoxomolybdates with a toroidal structure. Russ. J. Phys. Chem. 2012, 86, 1268–1273. [Google Scholar] [CrossRef]
- Muller, A.; Meyer, J.; Krickmeyer, E.; Diemann, E. Molybdenum blue: A 200 year old mystery unveiled. Angew. Chem. Int. Ed. 1996, 35, 1206–1208. [Google Scholar] [CrossRef]
- Guzman, G.; Yebka, B.; Livage, J.; Julien, C. Lithium intercalation studies in hydrated molybdenum oxides. Solid State Ion. 1996, 86, 407–413. [Google Scholar] [CrossRef]
- Grzhegorzhevskii, K.V.; Zelenovsky, P.S.; Koryakova, O.V.; Ostroushko, A.A. Thermal destruction of giant polyoxometalate nanoclusters: A vibrational spectroscopy study. Inorg. Chim. Acta 2019, 489, 287–300. [Google Scholar] [CrossRef]
- Muller, A.; Maiti, R.; Schmidtmann, M.; Bögge, H.; Das, S.K.; Zhang, W. Mimicking oxide surfaces: Different types of defects and ligand coordination at well-defined positions of a molybdenum oxide-based nanoclusters. Chem. Comm. 2001, 2126–2127. [Google Scholar] [CrossRef]
- Shishido, S.; Ozeki, T. The pH dependent nuclearity variation of {Mo154−x}-type polyoxomolybdates and tectonic effect on their aggregations. J. Am. Chem. Soc. 2008, 130, 0588–10595. [Google Scholar] [CrossRef] [PubMed]
- Ostroushko, A.A.; Korotaev, V.Y.; Tonkushina, M.O.; Vazhenin, V.A.; Artemov, M.Y.; Men’shikov, S.Y.; Kutyashev, I.B. Spectroscopic studies of molybdenum polyoxometallates with the buckyball structure and polymer-containing compositions based thereon. Russ. J. Inorg. Chem. 2011, 56, 276–281. [Google Scholar] [CrossRef]
- Ziv, A.; Grego, A.; Kopilevich, S.; Zeiri, L.; Miro, P.; Bo, C.; Müller, A.; Weinstock, I.A. Flexible pores of a metal oxide-based capsule permit entry of comparatively larger organic guests. J. Am. Chem. Soc. 2009, 131, 6380–6382. [Google Scholar] [CrossRef]
- Ju, F.; VanderVelde, D.; Nikolla, E. Molybdenum-based polyoxometalates as highly active and selective catalysts for the epimerization of aldoses. ACS Catal. 2014, 4, 1358–1364. [Google Scholar] [CrossRef]
- Conte, M.; Liu, X.; Murphy, D.M.; Taylor, S.H.; Whiston, K.; Hutchings, G.J. Insights into the reaction mechanism of cyclohexane oxidation catalyzed by molybdenum blue nanorings. Catal. Lett. 2016, 146, 126–135. [Google Scholar] [CrossRef]
- Koyun, O.; Gorduk, S.; Besir Arvas, M.; Sahin, Y. Direct, one-step synthesis of molybdenum blue using an electrochemical method, and characterization studies. Synth. Metals 2017, 233, 111–118. [Google Scholar] [CrossRef]













| Band Position (cm−1) | Assignment | Reference Data |
|---|---|---|
| 3368s | ν(OH…H) | [32] |
| 1620s | δ(H2O) | [33] |
| 1406w | δ(NH4+) | [32] |
| 973s, 904w | ν(Mo=O) | [33] |
| 737s, 634m | ν(Mo-μ2O-Mo) or ν(Mo-μ3O-Mo) | [32] |
| 561s | δ(O-Mo-O) | [32] |
© 2020 by the authors. Licensee MDPI, Basel, Switzerland. This article is an open access article distributed under the terms and conditions of the Creative Commons Attribution (CC BY) license (http://creativecommons.org/licenses/by/4.0/).
Share and Cite
Gavrilova, N.; Myachina, M.; Harlamova, D.; Nazarov, V. Synthesis of Molybdenum Blue Dispersions Using Ascorbic Acid as Reducing Agent. Colloids Interfaces 2020, 4, 24. https://doi.org/10.3390/colloids4020024
Gavrilova N, Myachina M, Harlamova D, Nazarov V. Synthesis of Molybdenum Blue Dispersions Using Ascorbic Acid as Reducing Agent. Colloids and Interfaces. 2020; 4(2):24. https://doi.org/10.3390/colloids4020024
Chicago/Turabian StyleGavrilova, Natalia, Maria Myachina, Daria Harlamova, and Victor Nazarov. 2020. "Synthesis of Molybdenum Blue Dispersions Using Ascorbic Acid as Reducing Agent" Colloids and Interfaces 4, no. 2: 24. https://doi.org/10.3390/colloids4020024
APA StyleGavrilova, N., Myachina, M., Harlamova, D., & Nazarov, V. (2020). Synthesis of Molybdenum Blue Dispersions Using Ascorbic Acid as Reducing Agent. Colloids and Interfaces, 4(2), 24. https://doi.org/10.3390/colloids4020024
