Structure and Properties of Polystyrene-Co-Acrylonitrile/Graphene Oxide Nanocomposites
Abstract
1. Introduction
2. Materials and Methods
2.1. Materials
2.2. Preparation of Graphene Oxide
2.3. Preparation of SAN/GO Nanocomposites
2.4. Characterization
3. Results and Discussion
3.1. Structure
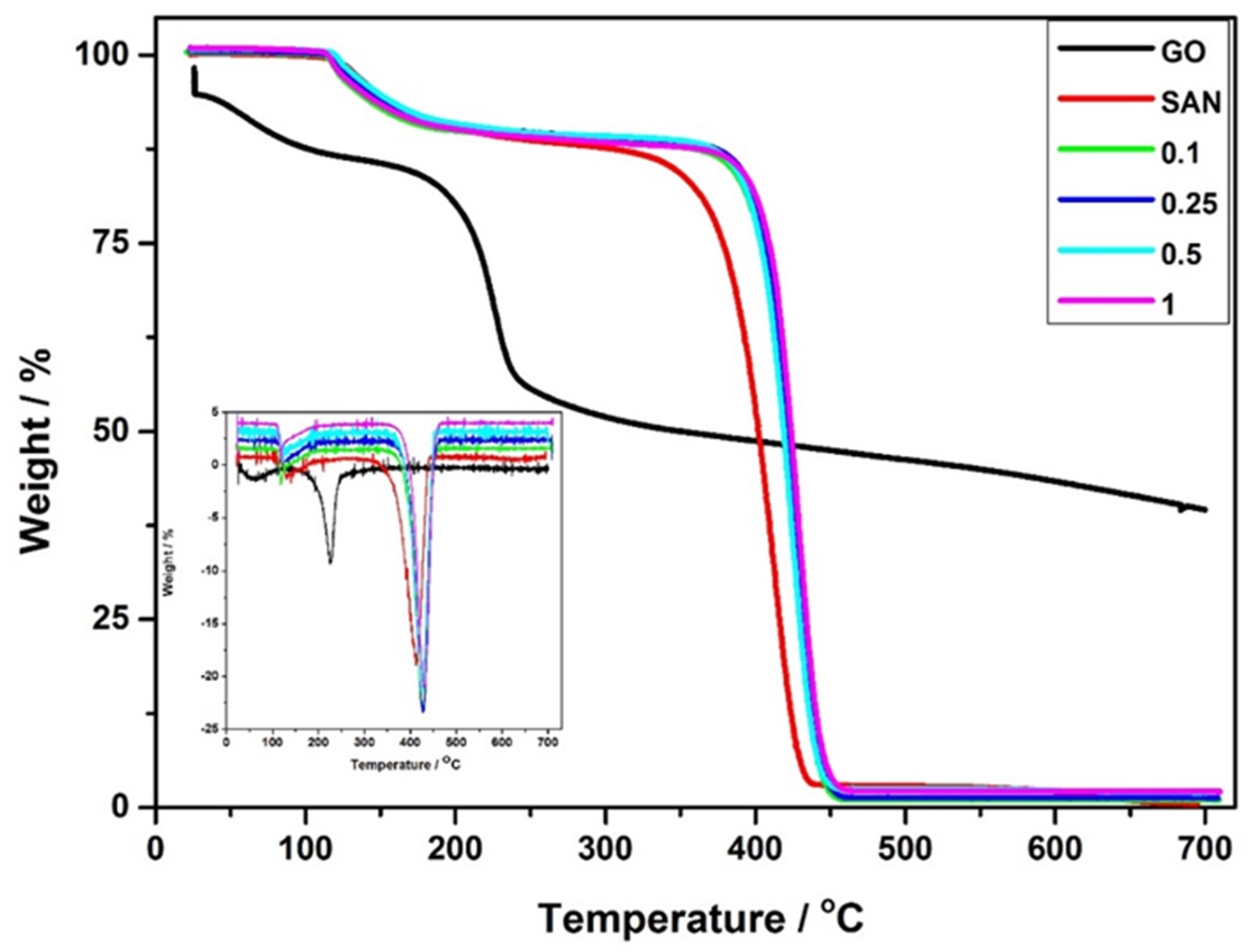
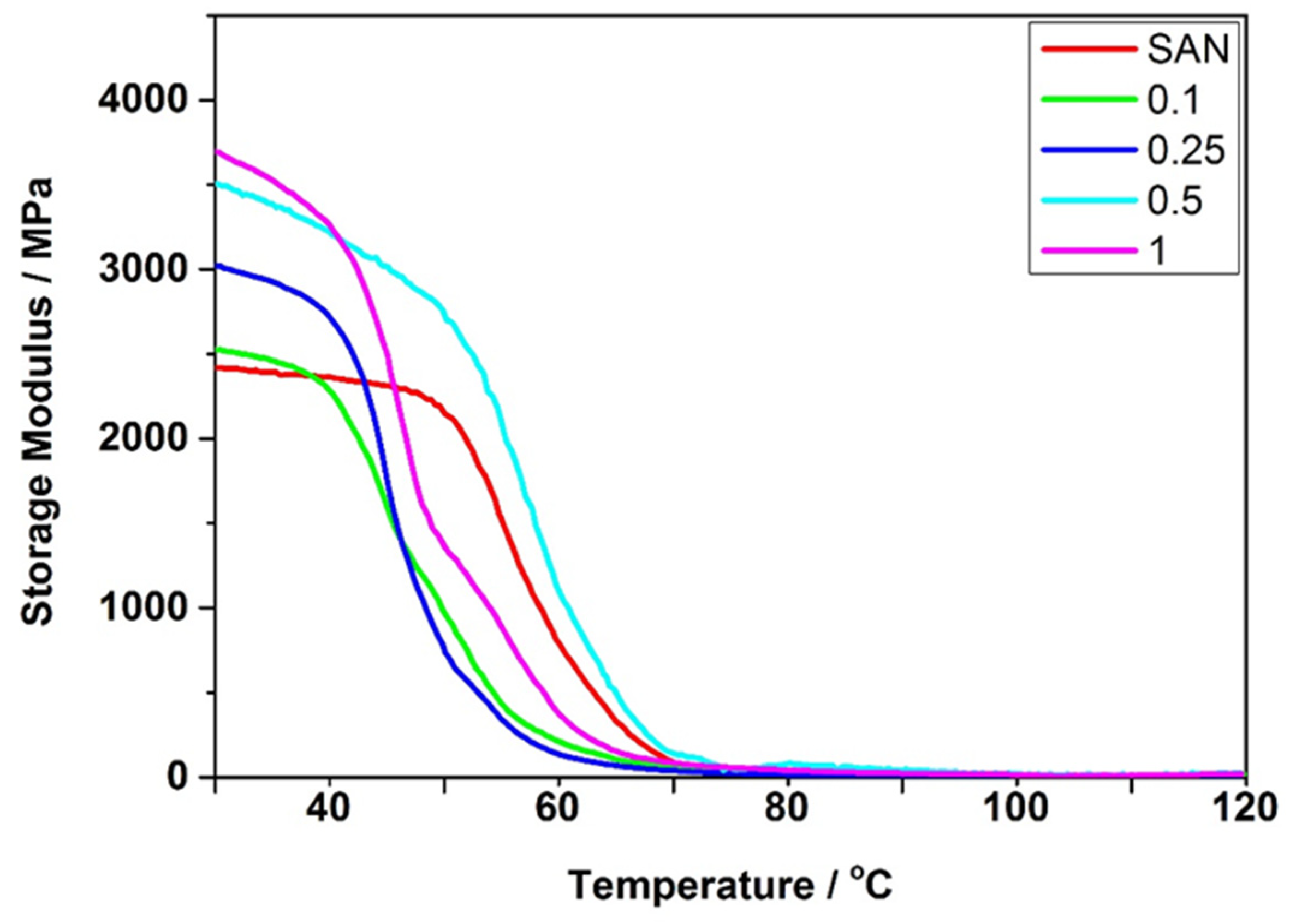
3.2. Thermo-Mechanical Properties
4. Conclusions
Author Contributions
Funding
Data Availability Statement
Acknowledgments
Conflicts of Interest
References
- Ishida, H.; Campbell, S.; Blackwell, J. General Approach to Nanocomposite Preparation. Chem. Mater. 2000, 12, 1260–1267. [Google Scholar] [CrossRef]
- Suherman, H.; Dweiri, R.; Sulong, A.B.; Zakaria, M.Y.; Mahyoedin, Y. Improvement of the Electrical-Mechanical Performance of Epoxy/Graphite Composites Based on the Effects of Particle Size and Curing Conditions. Polymers 2022, 14, 502. [Google Scholar] [CrossRef] [PubMed]
- Geim, A.K.; Novoselov, K.S. The rise of graphene. Nat. Mater. 2007, 6, 183–191. [Google Scholar] [CrossRef] [PubMed]
- Gao, C.; Zhang, S.; Wang, F.; Wen, B.; Han, C.; Ding, Y.; Yang, M. Graphene networks with low percolation threshold in ABS nanocomposites: Selective localization and electrical and rheological properties. ACS Appl. Mater. Interfaces 2014, 6, 12252–12260. [Google Scholar] [CrossRef]
- Hsia, T.; Wan, J.; Fan, B.; Thang, S.H. Bifunctional RAFT Agent Directed Preparation of Polymer/Graphene Oxide Composites. Macromol. Rapid Commun. 2021, 42, 2100460. [Google Scholar] [CrossRef]
- Tabasi, A.; Noorbakhsh, A.; Sharifi, E. Reduced graphene oxide-chitosan-aptamer interface as new platform for ultrasensitive detection of human epidermal growth factor receptor 2. Biosens. Bioelectron. 2017, 95, 117–123. [Google Scholar] [CrossRef]
- Maheshkumar, K.V.; Krishnamurthy, K.; Sathishkumar, P.; Sahoo, S.; Uddin, E.; Pal, S.K.; Rajasekar, R. Research updates on Graphene oxide based polymeric nanocomposites. Polym. Compos. 2014, 35, 2297–2310. [Google Scholar] [CrossRef]
- Wen, P.; Chen, Y.; Hu, X.; Cheng, B.; Liu, D.; Zhang, Y.; Nair, S. Polyamide thin film composite Nano filtration membrane modified with acyl chlorided graphene oxide. J. Membr. Sci. 2017, 535, 208–220. [Google Scholar] [CrossRef]
- Cao, N.; Lyu, Q.; Li, J.; Wang, Y.; Yang, B.; Szunerits, S.; Boukherroub, R. Facile synthesis of fluorinated polydopamine/chitosan/reduced graphene oxide composite aerogel for efficient oil/water separation. Chem. Eng. J. 2017, 326, 17–28. [Google Scholar] [CrossRef]
- Panwar, V.; Gill, F.S.; Rathi, V.; Tewari, V.K.; Mehra, R.M.; Park, J.; Park, S. Fabrication of conducting composite sheets using cost-effective graphite flakes and amorphous styrene acrylonitrile for enhanced thermistor, dielectric, and electromagnetic interference shielding properties. Mater. Chem. Phys. 2017, 193, 329–338. [Google Scholar] [CrossRef]
- Singh, R.; Barman, P.B.; Sharma, D. Enhanced thermal properties of highly monodispersed ZnO nanoparticle/poly(styrene-co-acrylonitrile) nanocomposite. J. Polym. Sci. B 2016, 58, 439–448. [Google Scholar] [CrossRef]
- Vu, T.; Pham, V.H.; Hur, S.H.; Chung, J.S. Effect of reduced graphene oxide functionalization by sulfanilic acid on the mechanical properties of poly(styrene-co-acrylonitrile)/reduced graphene oxide composites. Polym. Compos. 2016, 37, 44–50. [Google Scholar] [CrossRef]
- Wang, C.; Xue, T.; Dong, B.; Wang, Z.; Li, H. Polystyrene-acrylonitrile-CNTs nanocomposites preparations and tribological behavior research. Wear 2008, 265, 1923–1926. [Google Scholar] [CrossRef]
- Mainil, M.; Urbanczyk, L.; Calberg, C.; Germain, A.; Jerome, C.; Bourbigot, S.; Devaux, J.; Sclavons, M. Morphology and properties of SAN-clay nanocomposites prepared principally by water-assisted extrusion. Polym. Eng. Sci. 2010, 50, 10–21. [Google Scholar] [CrossRef]
- Marcano, D.C.; Kosynkin, D.V.; Berlin, J.M.; Sinitskii, A.; Sun, Z.; Slesarev, A.; Alemany, L.B.; Lu, W.; Tour, J.M. Improved Synthesis of Graphene Oxide. ACS Nano 2010, 4, 4806–4814. [Google Scholar] [CrossRef]
- Mohammadsalih, Z.G.; Inkson, B.J.; Chen, B. The effect of dispersion condition on the structure and properties of polystyrene/graphene oxide nanocomposites. Polym. Compos. 2021, 42, 320–328. [Google Scholar] [CrossRef]
- Wan, C.; Chen, B. Reinforcement and interface of polymer/graphene oxide nanocomposites. J. Mater. Chem. 2012, 22, 3637–3647. [Google Scholar] [CrossRef]
- Heo, C.; Moon, H.; Yoon, C.S.; Chang, J. ABS nanocomposite films based on functionalized graphene sheets. J. Appl. Polym. Sci. 2012, 124, 4663–4670. [Google Scholar] [CrossRef]
- Liu, Y.; Zhang, Y.; Duan, L.; Zhang, W.; Su, M.; Sun, Z.; He, P. Polystyrene/graphene oxide nanocomposites synthesized via Pickering polymerization. Prog. Org. Coat. 2016, 99, 23–31. [Google Scholar] [CrossRef]
- Qiu, F.; Hao, Y.; Li, X.; Wang, B.; Wang, M. Functionalized graphene sheets filled isotactic polypropylene nanocomposites. Compos. Part B 2015, 71, 175–183. [Google Scholar] [CrossRef]
- Sanchez, J.; Maties, G.; Arellano, C.; Pascual, A. Synthesis and characterization of graphene oxide derivatives via functionalization reaction with hexamethylene diisocyanate. Nanomaterials 2019, 8, 870. [Google Scholar] [CrossRef] [PubMed]
- Wang, H.; Chang, K.; Chu, H. Effect of clay on the properties of poly (styrene-co-acrylonitrile)-clay nanocomposites. Polym. Int. 2005, 54, 114–119. [Google Scholar] [CrossRef]
- Jang, B.N.; Wilkie, C.A. The effects of clay on the thermal degradation behavior of poly (styrene-co-acrylonitrile). Polymer 2005, 46, 9702–9713. [Google Scholar] [CrossRef]
- Panwar, V.; Mehra, R.M. Study of electrical and dielectric properties of styrene-acrylonitrile/graphite sheets composites. Eur. Polym. J. 2008, 44, 2367–2375. [Google Scholar] [CrossRef]
- Han, Y.; Wu, Y.; Shen, M.; Huang, X.; Zhu, J.; Zhang, X. Preparation and properties of polystyrene nanocomposites with graphite oxide and graphene as flame retardants. J. Mater. Sci. 2013, 48, 4214–4222. [Google Scholar] [CrossRef]
- Malas, A.; Das, C.K. Effect of graphene oxide on the physical, mechanical, and thermo-mechanical properties of neoprene and chlorosulfonated polyethylene vulcanizates. Compos. Part B 2015, 79, 639–648. [Google Scholar] [CrossRef]
- Mohammadsalih, Z.G.; Sadeq, N.S. Structure and properties of polystyrene graphene oxide nanocomposites. Fuller. Nanotub. Carbon Nanostruct. 2022, 30, 373–384. [Google Scholar] [CrossRef]
- Arsac, A.; Zerroukhi, A.; Ainser, A.; Carrot, C. Rheological characterization of styrene acrylonitrile copolymers. J. Appl. Polym. Sci. 2000, 77, 1316–1321. [Google Scholar] [CrossRef]
- Hamta, A.; Ashtiani, F.Z.; Karimi, M.; Moayedfard, S. Asymmetric block copolymer membrane fabrication mechanism through self-assembly and non-solvent induced phase separation (SNIPS) process. Sci. Rep. 2022, 12, 771. [Google Scholar] [CrossRef]
- Tang, Z.; Zhang, L.; Zeng, C.; Lina, T.; Guo, B. General route to graphene with liquid-like behavior by non-covalent modification. Soft Matter 2012, 8, 9214–9220. [Google Scholar] [CrossRef]
- Ko, E.B.; Lee, D.-E.; Yoon, K.-B. Electrically Conductive Nanocomposites Composed of Styrene–Acrylonitrile Copolymer and rGO via Free-Radical Polymerization. Polymers 2020, 12, 1221. [Google Scholar] [CrossRef]
- Cai, Y.; Hu, Y.; Xuan, S.; Zhang, Y.; Deng, H.; Gong, X.; Chen, Z.; Fan, W. Preparation and characterization of poly (styrene-acrylonitrile) (SAN)/clay Nanocomposites by melt intercalation. J. Mater. Sci. 2007, 42, 5524–5533. [Google Scholar] [CrossRef]
- Chu, L.; Anderson, S.K.; Harris, J.D.; Beach, M.W.; Morgan, A.B. Styrene-acrylonitrile (SAN) layered silicate nanocomposites prepared by melt compounding. Polymer 2004, 45, 4051–4061. [Google Scholar] [CrossRef]
- Jeddi, J.; Yousefzade, O.; Babaei, A.; Ghanbar, S.; Rostami, A. Morphology, microstructure and rheological properties of SAN (Styrene-acrylonitrile)/EPDM (ethylene-propylene-diene monomer) nanocomposites: Investigating the role of organoclay type and order of mixing. J. Mater. Chem. Phys. 2017, 187, 191–202. [Google Scholar] [CrossRef]






| Sample | Tg/°C | Tdonset/°C | Tdmax/°C | Char at 700 °C/wt.% | Storage Modulus at 30 °C/GPa |
|---|---|---|---|---|---|
| GO | - | 204 | 225 | 40 | - |
| SAN | 107.8 | 375 | 413 | 0.32 | 2.44 |
| SAN/GO 0.1 wt.% | 110.5 | 396 | 426 | 0.60 | 2.58 |
| SAN/GO 0.25 wt.% | 110.6 | 398 | 428 | 0.69 | 3.13 |
| SAN/GO 0.5 wt.% | 111.3 | 400 | 425 | 1.17 | 3.65 |
| SAN/GO 1.0 wt.% | 111.4 | 405 | 431 | 1.19 | 3.90 |
Disclaimer/Publisher’s Note: The statements, opinions and data contained in all publications are solely those of the individual author(s) and contributor(s) and not of MDPI and/or the editor(s). MDPI and/or the editor(s) disclaim responsibility for any injury to people or property resulting from any ideas, methods, instructions or products referred to in the content. |
© 2023 by the authors. Licensee MDPI, Basel, Switzerland. This article is an open access article distributed under the terms and conditions of the Creative Commons Attribution (CC BY) license (https://creativecommons.org/licenses/by/4.0/).
Share and Cite
Mohammadsalih, Z.G.; Inkson, B.J.; Chen, B. Structure and Properties of Polystyrene-Co-Acrylonitrile/Graphene Oxide Nanocomposites. J. Compos. Sci. 2023, 7, 225. https://doi.org/10.3390/jcs7060225
Mohammadsalih ZG, Inkson BJ, Chen B. Structure and Properties of Polystyrene-Co-Acrylonitrile/Graphene Oxide Nanocomposites. Journal of Composites Science. 2023; 7(6):225. https://doi.org/10.3390/jcs7060225
Chicago/Turabian StyleMohammadsalih, Zaid G., Beverley J. Inkson, and Biqiong Chen. 2023. "Structure and Properties of Polystyrene-Co-Acrylonitrile/Graphene Oxide Nanocomposites" Journal of Composites Science 7, no. 6: 225. https://doi.org/10.3390/jcs7060225
APA StyleMohammadsalih, Z. G., Inkson, B. J., & Chen, B. (2023). Structure and Properties of Polystyrene-Co-Acrylonitrile/Graphene Oxide Nanocomposites. Journal of Composites Science, 7(6), 225. https://doi.org/10.3390/jcs7060225

