The Effect of the Structure of Aromatic Diamine on High-Performance Epoxy Resins
Abstract
1. Introduction
2. Experiment
2.1. Materials
2.2. Preparation of Cured Resin Systems
2.3. Characterization and Measurements
3. Results and Discussion
3.1. Processability of AFG-90MH-Diamine Systems
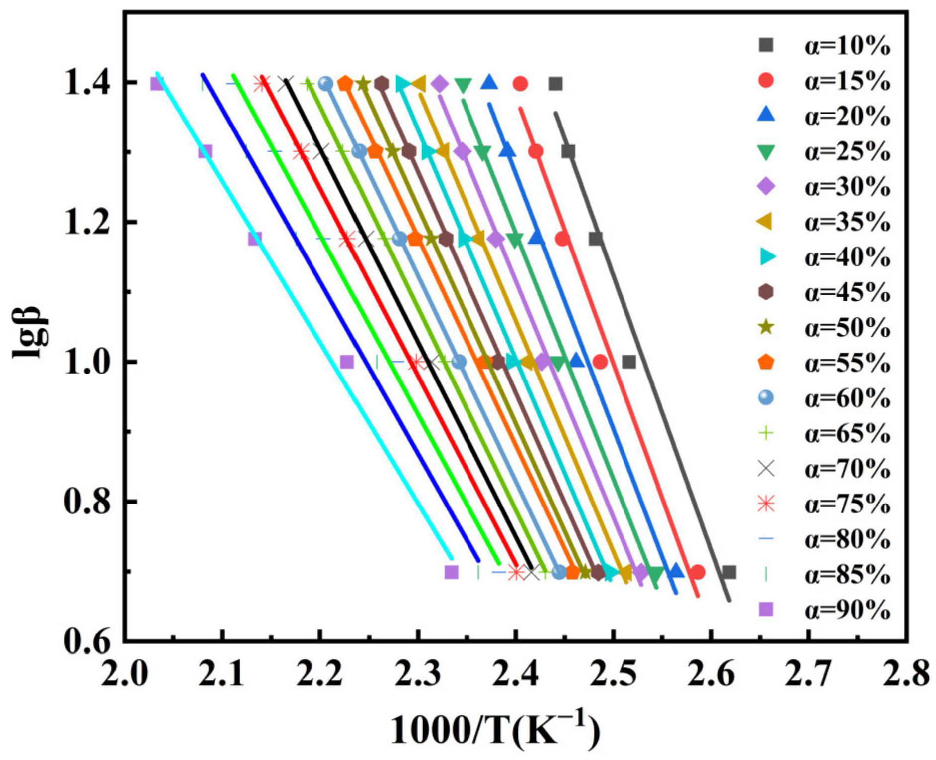
3.2. Curing Reaction Kinetics of AFG-90MH-Diamine Systems
3.3. Mechanical Properties of the Cured AFG-90MH-Diamine Systems
3.4. Thermal Properties of the Cured AFG-90MH-Diamine Systems
4. Conclusions
Supplementary Materials
Author Contributions
Funding
Data Availability Statement
Conflicts of Interest
References
- Naffakh, M.; Dumon, M.; Gérard, J.F. Study of a reactive epoxy-amine resin enabling in situ dissolution of thermoplastic films during resin transfer moulding for toughening composites. Compos. Sci. Technol. 2006, 66, 1376–1384. [Google Scholar] [CrossRef]
- Naffakh, M.; Dumon, M.; Gérard, J.F. Modeling the chemorheological behavior of epoxy/liquid aromatic diamine for resin transfer molding applications. J. Appl. Polym. Sci. 2006, 102, 4228–4237. [Google Scholar] [CrossRef]
- Lee, C.L.; Wei, K.H. Curing kinetics and viscosity change of a two-part epoxy resin during mold filling in resin-transfer molding process. J. Appl. Polym. Sci. 2000, 77, 2139–2148. [Google Scholar] [CrossRef]
- Zhao, Y.; He, Y.; Yang, K.; Wang, X.; Bai, J.; Du, B. Improving the surface insulating performance of epoxy resin/Al2O3 composite materials by extending chain of liquid epoxy resin with Me-THPA. High Volt. 2020, 5, 472–481. [Google Scholar] [CrossRef]
- Zhang, T.; Chao, X.; Liang, J.; Wang, B.; Sun, M. Enhanced mechanical properties of epoxy composites reinforced with silane-modified Al2O3 nanoparticles: An experimental study. J. Compos. Sci. 2025, 9, 252. [Google Scholar] [CrossRef]
- Zhang, X.; Liu, M.; Chen, Y.; He, J.; Wang, X.; Xie, J.; Li, Z.; Chen, Z.; Fu, Y.; Xiong, C.; et al. Epoxy resin/hollow glass microspheres composite materials with low dielectric constant and excellent mechanical performance. J. Appl. Polym. Sci. 2022, 139, e52787. [Google Scholar] [CrossRef]
- Bekeshev, A.; Mostovoy, A.; Shcherbakov, A.; Tastanova, L.; Akhmetova, M.; Apendina, A.; Orynbassar, R.; Lopukhova, M. The influence of pristine and aminoacetic acid-treated aluminum nitride on the structure, curing processes, and properties of epoxy nanocomposites. J. Compos. Sci. 2023, 7, 482. [Google Scholar] [CrossRef]
- Liu, W.; Wang, C.; Feng, Y.; Chen, Y.; Wan, L.; Huang, F.; Liu, Z.; Qian, J.; Liu, W. Novel reactive polyhedral oligomeric silsesquioxane-reinforced and toughened epoxy resins for advanced composites. Polymers 2024, 16, 1877. [Google Scholar] [CrossRef]
- Capricho, J.C.; Fox, B.; Hameed, N. Multifunctionality in epoxy resins. Polym. Rev. 2020, 60, 1–41. [Google Scholar] [CrossRef]
- Jin, F.L.; Li, X.; Park, S.J. Synthesis and application of epoxy resins: A review. J. Ind. Eng. Chem. 2015, 29, 1–11. [Google Scholar] [CrossRef]
- Zhao, Y.; Xu, R.; Xiao, Y.; Wang, H.; Zhang, W.; Zhang, G. Mechanical performances of phenolic modified epoxy resins at room and high temperatures. Coatings 2022, 12, 643. [Google Scholar] [CrossRef]
- Zhang, Z.; Dai, X.; Li, L.; Zhou, S.; Xue, W.; Liu, Y.; Liu, H. Current status of research on the modification of thermal properties of epoxy resin-based syntactic roam insulation materials. Polymers 2021, 13, 3185. [Google Scholar] [CrossRef]
- Sukanto, H.; Raharjo, W.W.; Ariawan, D.; Triyono, J.; Kaavesina, M. Epoxy resins thermosetting for mechanical engineering. Open Eng. 2021, 11, 797–814. [Google Scholar] [CrossRef]
- Islam, A.M.; Lim, H.; You, N.H.; Ahn, S.; Goh, M.; Hahn, J.R.; Yeo, H.; Jang, S.G. Enhanced thermal conductivity of liquid crystalline epoxy resin using controlled linear polymerization. Acs Macro. Lett. 2018, 7, 1180–1185. [Google Scholar] [CrossRef] [PubMed]
- Olamilekan, A.I.; Yeo, H. Curing behavior of 4,4′-diglycidyloxybiphenyl with p-phenylene diamine derivatives. Macromol. Res. 2020, 28, 960–967. [Google Scholar] [CrossRef]
- Lu, M.; Liu, Y.; Du, X.; Zhang, S.; Chen, G.; Zhang, Q.; Yao, S.; Liang, L.; Lu, M. Cure kinetics and properties of high performance cycloaliphatic epoxy resins cured with anhydride. Ind. Eng. Chem. Res. 2019, 58, 6907–6918. [Google Scholar] [CrossRef]
- Huang, J.; Guo, W.; Wang, X.; Song, L.; Hu, Y. Intrinsically flame retardant cardanol-based epoxy monomer for high-performance thermosets. Polym. Degrad. Stabil. 2021, 186, 109519. [Google Scholar] [CrossRef]
- Liu, W.B.; Qiu, Q.H.; Wang, J.; Huo, Z.C.; Sun, H. Curing kinetics and properties of epoxy resin-fluorenyl diamine systems. Polymer 2008, 49, 4399–4405. [Google Scholar] [CrossRef]
- Ferdosian, F.; Yuan, Z.S.; Anderson, M.; Xu, C.B. Sustainable lignin-based epoxy resins cured with aromatic and aliphatic amine curing agents: Curing kinetics and thermal properties. Thermochim. Acta. 2015, 618, 48–55. [Google Scholar] [CrossRef]
- Yu, S.Y.; Kim, H.J.; Jeon, S.Y.; Lim, C.S.; Seo, B.K. Synthesis of polyfunctional amines as curing agents and its effect on mechanical property of epoxy polymers. J. Appl. Polym. Sci. 2023, 140, e53806. [Google Scholar] [CrossRef]
- Xiong, X.H.; Ren, R.; Liu, S.Y.; Lu, S.W.; Chen, P. The curing kinetics and thermal properties of epoxy resins cured by aromatic diamine with hetero-cyclic side chain structure. Thermochim. Acta. 2014, 595, 22–27. [Google Scholar] [CrossRef]
- Ghaemy, M.; Barghamadi, M.; Behmadi, H. Cure kinetics of epoxy resin and aromatic diamines. J. Appl. Polym. Sci. 2004, 94, 1049–1056. [Google Scholar] [CrossRef]
- Okabe, T.; Oya, Y.; Tanabe, K.; Kikugawa, G.; Yoshioka, K. Molecular dynamics simulation of crosslinked epoxy resins: Curing and mechanical properties. Eur. Polym. J. 2016, 80, 78–88. [Google Scholar] [CrossRef]
- Luo, X.; Yu, X.; Ma, Y.; Naito, K.; Zhang, Q. Preparation and cure kinetics of epoxy with nanodiamond modified with liquid crystalline epoxy. Thermochim. Acta. 2018, 663, 1–8. [Google Scholar] [CrossRef]
- Ma, S.; Chen, P.; Xu, J.; Xiong, X. Molecular dynamics simulations of key physical properties and microstructure of epoxy resin cured with different curing agents. J. Mater. Sci. 2022, 57, 1123–1133. [Google Scholar] [CrossRef]
- Voto, G.; Sequeira, L.; Skordos, A.A. Formulation based predictive cure kinetics modelling of epoxy resins. Polymer 2021, 236, 124304. [Google Scholar] [CrossRef]
- GB/T 2567-2008; Test Methods for Properties of Resin Casting Boby. Standardization Administration of China: Beijing, China, 2008.
- GB/T 1040.2-2006; Plastics—Determination of tensile properties—Part 2: Test conditions for moulding and extrusion plastics. Standardization Administration of China: Beijing, China, 2006.
- Zhang, Y.; Vyazovkin, S. Effect of substituents in aromatic amines on the activation energy of epoxy-amine reaction. J. Phys. Chem. B. 2007, 111, 7098–7104. [Google Scholar] [CrossRef]
- Zong, L.; Liu, C.; Guo, Y.; Wang, J.; Jian, X. Thermally stable phthalonitrile resins based on multiple oligo (aryl ether)s with phenyl-s-triazine moieties in backbones. Rsc Adv. 2015, 5, 77027–77036. [Google Scholar] [CrossRef]
- Chen, H.; Xin, H.; Lu, J.; Tang, J.; Yuan, Q.; Huang, F. Synthesis and properties of poly(dimethylsilylene-ethynylene-phenoxyphenoxyphenylene-ethynylene). High Perform. Polym. 2017, 29, 595–601. [Google Scholar] [CrossRef]
- Li, C.; Luo, J.; Ma, M.; Tang, J.; Yuan, Q.; Huang, F. Synthesis and properties of sulfur-contained poly(silylene arylacetylene)s. J. Polym. Sci. Pol. Chem. 2019, 57, 2324–2332. [Google Scholar] [CrossRef]
- Cai, R.; Zhao, J.; Lv, N.; Fu, A.; Yin, C.; Song, C.; Chao, M. Curing and molecular dynamics simulation of MXene/phenolic epoxy composites with different amine curing agent systems. Nanomaterials 2022, 12, 2249. [Google Scholar] [CrossRef] [PubMed]
- Sheng, Q.; Chen, Q.; Gu, W.; Wang, R.; Gu, X.; Liu, J.; Sun, T.; Chen, Y.; Sun, J.; Zhang, S. The study of curing behavior and thermo-mechanical properties of epoxy adhesives with different anhydrides. Polymer 2024, 307, 127342. [Google Scholar] [CrossRef]
- Li, J.; Gong, C.; Tang, J.; Yuan, Q.; Liu, Z.; Huang, F. Effect of substituted positions of acetylene groups on the benzene ring on properties of poly(silane arylether arylacetylene)s. Polym. J. 2023, 55, 1307–1315. [Google Scholar] [CrossRef]
- Li, J.; Gong, C.; Lv, S.; Huang, F. Effects of side alkoxy groups on the arylacetylene unit on properties of poly (silylene arylacetylene)s. Eur. Polym. J. 2021, 160, 110774. [Google Scholar] [CrossRef]
- Bu, X.; Zhou, Y.; Li, C.; Huang, F. Octakis(ethynyldimethylsiloxy) silsesquioxane: Synthesis and application in poly(silicane arylacetylene) resin. J. Appl. Polym. Sci. 2016, 133, 44158. [Google Scholar] [CrossRef]
- Yu, S.; Li, X.; Zou, M.; Guo, X.; Ma, H.; Wang, S. Effect of the aromatic amine curing agent structure on properties of epoxy resin-based syntactic foams. ACS Omega 2020, 5, 23268–23275. [Google Scholar] [CrossRef]
- San-José, N.; Gómez-Valdemoro, A.; García, F.C.; Serna, F.; García, J.M. Aromatic polyamides with pendant urea moieties. J. Polym. Sci. Pol. Chem. 2007, 45, 4026–4036. [Google Scholar] [CrossRef]
- Ma, Y.; Liu, Y.; Yu, T.; Lai, W.; Ge, Z.; Jiang, Z. Pendant chains are not just decorations: Investigation of structure-property relationships of azido oxetane polymers. Propell. Explos. Pyrot. 2018, 43, 170–176. [Google Scholar] [CrossRef]
- Ma, Y.; Liu, Y.; Yu, T.; Lai, W.; Ge, Z.; Jiang, Z. Structure-property relationship of nitramino oxetane polymers: A computational study on the effect of pendant chains. Rsc Adv. 2019, 9, 3120–3127. [Google Scholar] [CrossRef]
- Cristea, M.; Ibanescu, S.; Cascaval, C.N.; Rosu, D. Dynamic mechanical analysis of polyurethane-epoxy interpenetrating polymer networks. High Perform. Polym. 2009, 21, 608–623. [Google Scholar] [CrossRef]
- Saiev, S.; Bonnaud, L.; Zúñiga, C.; Dubois, P.; Beljonne, D.; Ronda, J.C.; Cadiz, V.; Lazzaroni, R. Positive effect of functional side groups on the structure and properties of benzoxazine networks and nanocomposites. Polym. Chem. 2019, 10, 5251–5264. [Google Scholar] [CrossRef]
- Mehta, N.; Kumar, A. Critical analysis of endo-thermal effect in the glass transition process in chalcogenide glasses. J. Non-Cryst. Solids. 2012, 358, 2783–2787. [Google Scholar] [CrossRef]
- Xia, W.; Keten, S. Coupled effects of substrate adhesion and intermolecular forces on polymer thin film glass-transition behavior. Langmuir 2013, 29, 12730–12736. [Google Scholar] [CrossRef]
- Yin, Y.; Song, J.; Zhao, G.; Ding, Q. Improving the high temperature tribology of polyimide by molecular structure design and grafting POSS. Polym. Advan. Technol. 2022, 33, 886–896. [Google Scholar] [CrossRef]









| Samples | Ti 1 (°C) | Tp 2 (°C) | Tf 3 (°C) | ΔH 4 (J/g) |
|---|---|---|---|---|
| AFG-90MH-MDA | 90 | 149 | 203 | 427 |
| AFG-90MH-MOEA | 114 | 186 | 244 | 504 |
| AFG-90MH-MOCA | 154 | 224 | 268 | 570 |
| AFG-90MH-MCDEA | 175 | 272 | 295 | 498 |
| Samples | Apparent Activation Energies Ea (kJ/mol) | |
|---|---|---|
| Kissinger Mothed | FWO Mothed | |
| AFG-90MH-MDA | 56.43 | 56.45 |
| AFG-90MH-MOEA | 57.44 | 61.27 |
| AFG-90MH-MOCA | 84.42 | 72.57 |
| AFG-90MH-MCDEA | 84.86 | 75.32 |
| Samples | Tg (°C) | Td5 (°C) |
|---|---|---|
| AFG-90MH-MDA-C | 213 | 358 |
| AFG-90MH-MOEA-C | 172 | 317 |
| AFG-90MH-MOCA-C | 190 | 361 |
| AFG-90MH-MCDEA-C | 183 | 341 |
Disclaimer/Publisher’s Note: The statements, opinions and data contained in all publications are solely those of the individual author(s) and contributor(s) and not of MDPI and/or the editor(s). MDPI and/or the editor(s) disclaim responsibility for any injury to people or property resulting from any ideas, methods, instructions or products referred to in the content. |
© 2025 by the authors. Licensee MDPI, Basel, Switzerland. This article is an open access article distributed under the terms and conditions of the Creative Commons Attribution (CC BY) license (https://creativecommons.org/licenses/by/4.0/).
Share and Cite
Zhou, Y.; Liu, W.; Feng, Y.; Shi, P.; Wan, L.; Hao, X.; Huang, F.; Qian, J.; Liu, Z. The Effect of the Structure of Aromatic Diamine on High-Performance Epoxy Resins. J. Compos. Sci. 2025, 9, 416. https://doi.org/10.3390/jcs9080416
Zhou Y, Liu W, Feng Y, Shi P, Wan L, Hao X, Huang F, Qian J, Liu Z. The Effect of the Structure of Aromatic Diamine on High-Performance Epoxy Resins. Journal of Composites Science. 2025; 9(8):416. https://doi.org/10.3390/jcs9080416
Chicago/Turabian StyleZhou, Yan, Weibo Liu, Yu Feng, Pengfei Shi, Liqiang Wan, Xufeng Hao, Farong Huang, Jianhua Qian, and Zuozhen Liu. 2025. "The Effect of the Structure of Aromatic Diamine on High-Performance Epoxy Resins" Journal of Composites Science 9, no. 8: 416. https://doi.org/10.3390/jcs9080416
APA StyleZhou, Y., Liu, W., Feng, Y., Shi, P., Wan, L., Hao, X., Huang, F., Qian, J., & Liu, Z. (2025). The Effect of the Structure of Aromatic Diamine on High-Performance Epoxy Resins. Journal of Composites Science, 9(8), 416. https://doi.org/10.3390/jcs9080416

