Miniature Ultrasound Transducer Incorporating Sm-PMN-PT 1-3 Composite
Abstract
1. Introduction
2. Materials and Methods
2.1. Preparation and Characterizations
2.2. Design and Fabrication of 1-3 Composites
2.3. Fabrication and Evaluation of Transducer
3. Results and Discussion
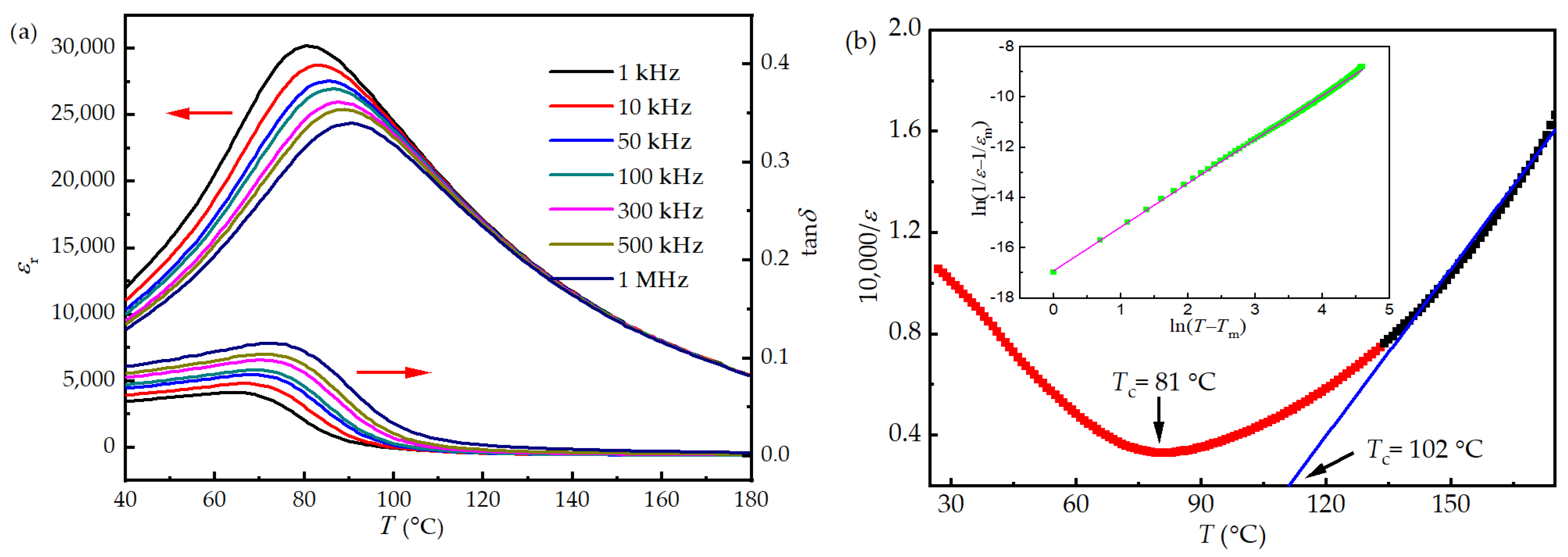
3.1. Ceramic Properties
3.2. Composite Properties
3.3. Simulation and Measurement of Transducer
4. Conclusions
Author Contributions
Funding
Data Availability Statement
Conflicts of Interest
References
- Chen, Y.; Lam, K.H.; Zhou, D.; Cheng, W.; Dai, J.; Luo, H.; Chan, H. High-frequency PIN-PMN-PT single crystal ultrasonic transducer for imaging applications. Appl. Phys. A 2012, 108, 987–991. [Google Scholar] [CrossRef]
- Wells, P.N.; Liang, H.-D. Medical ultrasound: Imaging of soft tissue strain and elasticity. J. R. Soc. Interface 2011, 8, 1521–1549. [Google Scholar] [CrossRef]
- Chan, V.; Perlas, A. Basics of ultrasound imaging. In Atlas of Ultrasound-Guided Procedures in Interventional Pain Management; Springer: New York, NY, USA, 2011; pp. 13–19. [Google Scholar]
- Haertling, G.H. Ferroelectric ceramics: History and technology. J. Am. Ceram. Soc. 1999, 82, 797–818. [Google Scholar] [CrossRef]
- Lu, X.M.; Proulx, T. Single Crystals vs. PZT Ceramics for Medical Ultrasound Applications. In Proceedings of the IEEE Ultrasonics Symposium, Rotterdam, The Netherlands, 18–21 September 2005; pp. 227–230. [Google Scholar]
- Edwards, G.; Chan, H.; Batten, A.; Lam, K.H.; Luo, H.; Scott, D. PMN-PT single-crystal transducer for non-destructive evaluation. Sens. Actuator A Phys. 2006, 132, 434–440. [Google Scholar] [CrossRef]
- Gururaja, T.; Schulze, W.A.; Cross, L.E.; Newnham, R.E.; Auld, B.A.; Wang, Y.J. Piezoelectric composite materials for ultrasonic transducer applications. Part I: Resonant modes of vibration of PZT rod-polymer composites. IEEE Trans. Sonics Ultrason 1985, 32, 481–498. [Google Scholar] [CrossRef]
- Newnham, R.E.; Skinner, D.P.; Cross, L.E. Connectivity and piezoelectric-pyroelectric composites. Mater. Res. Bull. 1978, 13, 525–536. [Google Scholar] [CrossRef]
- Smith, W.A.; Auld, B.A. Modeling 1-3 composite piezoelectrics: Thickness-mode oscillations. IEEE Trans. Ultrason Ferroelectr. Freq. Control 1991, 38, 40–47. [Google Scholar] [CrossRef]
- Ritter, T.; Geng, X.; Shung, K.K.; Lopath, P.D.; Park, S.-E.; Shrout, T.R. Single crystal PZN/PT-polymer composites for ultrasound transducer applications. IEEE Trans. Ultrason Ferroelectr. Freq. Control 2000, 47, 792–800. [Google Scholar] [CrossRef]
- Klicker, K.; Biggers, J.; Newnham, R. Composites of PZT and epoxy for hydrostatic transducer applications. J. Am. Ceram. Soc. 1981, 64, 5–9. [Google Scholar] [CrossRef]
- Chan, H.L.-W.; Li, K.; Choy, C.-L. Piezoelectric ceramic fibre/epoxy 1-3 composites for high-frequency ultrasonic transducer applications. Mater Scs. Eng. B 2003, 99, 29–35. [Google Scholar] [CrossRef]
- Wang, D.Y.; Li, K.; Chan, H.L.W. High frequency 1-3 composite transducer fabricated using sol–gel derived lead-free BNBT fibers. Sens. Actuator A Phys. 2004, 114, 1–6. [Google Scholar] [CrossRef]
- Chen, Y.; Mei, K.; Wong, C.-M.; Lin, D.; Chan, H.L.W.; Dai, J. Ultrasonic Transducer Fabricated Using Lead-Free BFO-BTO+Mn Piezoelectric 1-3 Composite. Actuators 2015, 4, 127–134. [Google Scholar] [CrossRef]
- Zheng, T.; Zhang, Y.; Ke, Q.; Wu, H.; Heng, L.W.; Xiao, D.; Zhu, J.; Pennycook, S.J.; Yao, K.; Wu, J. High-performance potassium sodium niobate piezoceramics for ultrasonic transducer. Nano Energy 2020, 70, 104559. [Google Scholar] [CrossRef]
- Ke, Q.; Liew, W.H.; Tao, H.; Wu, J.; Yao, K. KNNS-BNZH lead-free 1–3 piezoelectric composite for ultrasonic and photoacoustic imaging. IEEE Trans. Ultrason Ferroelectr. Freq. Control 2019, 66, 1395–1401. [Google Scholar] [CrossRef]
- Yan, P.; Qin, Y.; Xu, Z.; Han, F.; Wang, Y.; Wen, Z.; Zhang, Y.; Zhang, S. Highly transparent Eu-doped 0.72 PMN-0.28 PT ceramics with excellent piezoelectricity. Acs Appl. Mater Inter. 2021, 13, 54210–54216. [Google Scholar] [CrossRef]
- Li, C.; Xu, B.; Lin, D.; Zhang, S.; Bellaiche, L.; Shrout, T.R.; Li, F. Atomic-scale origin of ultrahigh piezoelectricity in samarium-doped PMN-PT ceramics. Phys. Rev. B 2020, 101, 140102. [Google Scholar] [CrossRef]
- Bao, G.-C.; Shi, D.-L.; Zhang, J.-M.; Yang, F.; Yang, G.; Li, K.; Fang, B.-J.; Lam, K.-H. Samarium-doped lead magnesium niobate-lead titanate ceramics fabricated by sintering the mixture of two different crystalline phases. Materials 2023, 16, 6781. [Google Scholar] [CrossRef]
- Savakus, H.; Klicker, K.; Newnham, R. PZT-epoxy piezoelectric transducers: A simplified fabrication procedure. Mater. Res. Bull. 1981, 16, 677–680. [Google Scholar] [CrossRef]
- Jiang, L.; Chen, R.; Xing, J.; Lu, G.; Li, R.; Jiang, Y.; Kirk Shung, K.; Zhu, J.; Zhou, Q. Fabrication of a (K,Na)NbO3-based lead-free 1–3 piezocomposite for high-sensitivity ultrasonic transducers application. J. Appl. Phys. 2019, 125, 214501. [Google Scholar] [CrossRef]
- Wong, C.; Chan, S.; Liu, R.; Zhang, J.; Wu, W.; Liang, Z.; Yau, H.; Wang, D.; Li, S.; Lam, K. 20-MHz phased array ultrasound transducer for in vivo ultrasound imaging of small animals. Ultrasonics 2022, 126, 106821. [Google Scholar] [CrossRef]
- Cannata, J.M.; Ritter, T.A.; Chen, W.-H.; Silverman, R.H.; Shung, K.K. Design of efficient, broadband single-element (20–80 MHz) ultrasonic transducers for medical imaging applications. IEEE Trans. Ultrason Ferroelectr. Freq. Control 2003, 50, 1548–1557. [Google Scholar] [CrossRef]
- Fan, D.; Niu, H.; Liu, K.; Sun, X.; Wang, H.; Shi, K.; Mo, W.; Jian, Z.; Wen, L.; Shen, M. Nb and Mn co-modified Na0.5Bi4.5Ti4O15 bismuth-layered ceramics for high-frequency transducer applications. Micromachines 2022, 13, 1246. [Google Scholar] [CrossRef]
- Chiu, C.T.; Kang, B.J.; Eliahoo, P.; Abraham, T.; Shung, K.K. Fabrication and characterization of a 20-MHz microlinear phased-array transducer for intervention guidance. IEEE Trans. Ultrason Ferroelectr. Freq. Control 2017, 64, 1261–1268. [Google Scholar] [CrossRef]
- Guo, Q.; Hou, L.; Li, F.; Xia, F.; Wang, P.; Hao, H.; Sun, H.; Liu, H.; Zhang, S. Investigation of dielectric and piezoelectric properties in aliovalent Eu3+-modified Pb(Mg1/3Nb2/3)O3-PbTiO3 ceramics. J. Am. Ceram. Soc. 2019, 102, 7428–7435. [Google Scholar] [CrossRef]
- Li, F.; Lin, D.; Chen, Z.; Cheng, Z.; Wang, J.; Li, C.; Xu, Z.; Huang, Q.; Liao, X.; Chen, L.-Q. Ultrahigh piezoelectricity in ferroelectric ceramics by design. Nat. Mater. 2018, 17, 349–354. [Google Scholar] [CrossRef] [PubMed]
- Yang, Y.; Sun, E.; Xu, Z.; Zheng, H.; Yang, B.; Zhang, R.; Cao, W. Elimination of pyrochlore phase in high-concentration Sm3+-doped PMN-PT piezoelectric ceramics by excessive MgO. J. Am. Ceram. Soc. 2022, 105, 4180–4190. [Google Scholar] [CrossRef]
- M’Peko, J.-C.; Peixoto, A.G.; Jiménez, E.; Gaggero-Sager, L.M. Electrical properties of Nb-doped PZT 65/35 ceramics: Influence of Nb and excess PbO. J. Electroceramics 2005, 15, 167–176. [Google Scholar] [CrossRef]
- Uchino, K.; Nomura, S. Critical exponents of the dielectric constants in diffused-phase-transition crystals. Ferroelectrics 1982, 44, 55–61. [Google Scholar] [CrossRef]
- Fang, Z.; Tian, X.; Zheng, F.; Jiang, X.; Ye, W.; Qin, Y.; Wang, X.; Zhang, Y. Enhanced piezoelectric properties of Sm3+-modified PMN-PT ceramics and their application in energy harvesting. Ceram. Int. 2022, 48, 7550–7556. [Google Scholar] [CrossRef]
- Zhang, Q. Ultrasonic Transducers for Acoustic Vortex Tweezing Application. Ph.D. Thesis, Hong Kong Polytechnic University, Hong Kong, China, 2020. [Google Scholar]
- Shen, Z.Y.; Li, J.F.; Chen, R.; Zhou, Q.; Shung, K.K. Microscale 1–3-type(Na,K)NbO3-based Pb-free piezocomposites for high-frequency ultrasonic transducer applications. J. Am. Ceram. Soc. 2011, 94, 1346–1349. [Google Scholar] [CrossRef] [PubMed]
- Li, Z.; Shao, W.; Zhu, X.; Lv, J.; Han, Z.; Cui, Y. Parylene coating for 13 MHz 1-3 composite transducer performance enhancement. Appl. Acoust. 2021, 174, 107696. [Google Scholar] [CrossRef]
- Jiang, L.; Chen, H.; Zeng, Y.; Tan, Z.; Wu, J.; Xing, J.; Zhu, J. Potassium sodium niobate-based lead-free high-frequency ultrasonic transducers for multifunctional acoustic tweezers. Acs Appl. Mater. Inter. 2022, 14, 30979–30990. [Google Scholar] [CrossRef] [PubMed]
- Jadidian, B.; Hagh, N.M.; Winder, A.A.; Safari, A. 25 MHz ultrasonic transducers with lead-free piezoceramic, 1–3 PZT fiber-epoxy composite, and PVDF polymer active elements. IEEE Trans. Ultrason. Ferroelectr. Freq. Control 2009, 56, 368–378. [Google Scholar] [CrossRef] [PubMed]
- Sun, P.; Zhou, Q.; Zhu, B.; Wu, D.; Hu, C.; Cannata, J.M.; Tian, J.; Han, P.; Wang, G.; Shung, K.K. Design and fabrication of PIN-PMN-PT single-crystal high-frequency ultrasound transducers. IEEE Trans. Ultrason. Ferroelectr. Freq. Control 2009, 56, 2760–2763. [Google Scholar] [PubMed]
- Zhang, Q.; Pang, X.; Zhang, Z.; Su, M.; Hong, J.; Zheng, H.; Qiu, W.; Lam, K.H. Miniature transducer using PNN-PZT-based ceramic for intravascular ultrasound. IEEE Trans. Ultrason. Ferroelectr. Freq. Control 2019, 66, 1102–1109. [Google Scholar] [CrossRef] [PubMed]
- Liu, J.-B.; Miller, L.S.; Bagley, D.H.; Goldberg, B.B. Endoluminal sonography of the genitourinary and gastrointestinal tracts. J. Ultrasound Med. 2002, 21, 323–337. [Google Scholar] [CrossRef]
- Lei, Z.; Xu, G.; Liu, J.; Liu, Y.; Ji, X. Micromachining of high-quality PMN-PT/epoxy 1-3 composite for high-frequency (>30 MHz) ultrasonic transducer applications. IEEE Trans. Ultrason. Ferroelectr. Freq. Control 2023, 70, 1563–1573. [Google Scholar] [CrossRef]












| d33 (pC/N) | kt | ε33/ε0 | ρ (kg/m3) | c (m/s) | Z (MRayl) |
|---|---|---|---|---|---|
| 1025 | 0.51 | 12,006 | 7.9 | 4100 | 32.4 |
| Material | d33 | ε33/ε0 | kt | ϕ (%) |
|---|---|---|---|---|
| PZT-5H 1-3 composite [32] | 390 | 557 | 0.68 | 60 |
| Mn-doped BFO-BTO 1-3 composite [13] | 45 | / | 0.46 | 60 |
| NKLKT 1-3 composite [33] | 140 | / | / | 25 |
| Fe-KNN-based 1-3 composite [21] | 340 | 513 | 0.59 | 62 |
| KNNS-BNZH 1-3 composite [15] | 350 | / | 0.70 | 61 |
| Sm-PMN-PT 1-3 composite (This work) | 650 | 2350 | 0.67 | 60 |
| Material | t (μm) | A (mm) | Z (MRayl) | Usage |
|---|---|---|---|---|
| Sm-PMN-PT Composite | 96 | 0.84 × 0.84 | 19.4 | Piezoelectric layer |
| E-solder 3022 | 500 | 0.84 × 0.84 | 5.6 | Backing layer |
| Parylene | 30 | N/A | 2.7 | Matching layer |
| Transducer Material | fc (MHz) | BW (%) | A (mm2) | keff | Electrical Impedance (Ω) |
|---|---|---|---|---|---|
| PZT-5H 1-3 composite [32] | 13.5 | / | 3.5 × 3.5 | 0.56 | ~50 |
| PZT-5H 1-3 composite [34] | 13.0 | 59 | 3.0 × 1.5 | / | / |
| Fe-KNN 1-3 composite [21] | 16.0 | 83 | Ø 2.7 | 0.55 | ~50 |
| KNN 1-3 composite [35] | 23.0 | 75 | Ø 2.5 | 0.50 | ~50 |
| Sm-PMN-PT 1-3 composite (This work) | 12.4 | 70 | 0.84 × 0.84 | 0.66 | ~50 |
| Transducer Material | Matching Layer | IL (dB) |
|---|---|---|
| PZT 1-3 composite [36] | Silver epoxy | −34.0 |
| BNT 1-3 composite [13] | N/A | −34.8 |
| BTO 1-3 composite [13] | Al2O3/epoxy | −33.5 |
| KNN 1-3 composite [33] | 1st: Silver epoxy & 2nd: Polymer | −25.1 |
| KNNS-BNZH 1-3 composite [15] | Epoxy | −30.0 |
| Sm-PMN-PT 1-3 composite (This work) | Parylene | −20.5 |
Disclaimer/Publisher’s Note: The statements, opinions and data contained in all publications are solely those of the individual author(s) and contributor(s) and not of MDPI and/or the editor(s). MDPI and/or the editor(s) disclaim responsibility for any injury to people or property resulting from any ideas, methods, instructions or products referred to in the content. |
© 2024 by the authors. Licensee MDPI, Basel, Switzerland. This article is an open access article distributed under the terms and conditions of the Creative Commons Attribution (CC BY) license (https://creativecommons.org/licenses/by/4.0/).
Share and Cite
Zhang, J.-M.; Bao, G.-C.; Gao, W.; Lin, R.-Q.; Yang, F.; Lam, K.-H. Miniature Ultrasound Transducer Incorporating Sm-PMN-PT 1-3 Composite. J. Compos. Sci. 2024, 8, 80. https://doi.org/10.3390/jcs8030080
Zhang J-M, Bao G-C, Gao W, Lin R-Q, Yang F, Lam K-H. Miniature Ultrasound Transducer Incorporating Sm-PMN-PT 1-3 Composite. Journal of Composites Science. 2024; 8(3):80. https://doi.org/10.3390/jcs8030080
Chicago/Turabian StyleZhang, Jia-Ming, Guo-Cui Bao, Wen Gao, Ri-Qiang Lin, Fan Yang, and Kwok-Ho Lam. 2024. "Miniature Ultrasound Transducer Incorporating Sm-PMN-PT 1-3 Composite" Journal of Composites Science 8, no. 3: 80. https://doi.org/10.3390/jcs8030080
APA StyleZhang, J.-M., Bao, G.-C., Gao, W., Lin, R.-Q., Yang, F., & Lam, K.-H. (2024). Miniature Ultrasound Transducer Incorporating Sm-PMN-PT 1-3 Composite. Journal of Composites Science, 8(3), 80. https://doi.org/10.3390/jcs8030080

