Defining the Effect of a Polymeric Compatibilizer on the Properties of Random Polypropylene/Glass Fibre Composites
Abstract
1. Introduction
2. Materials and Methods
2.1. Materials
2.2. Composite Specimen Preparation and Characterization
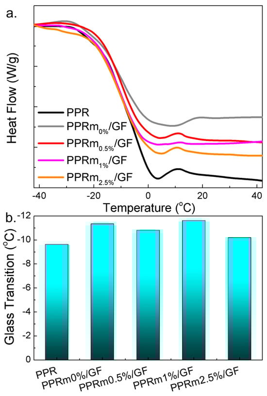
3. Results and Discussion
4. Conclusions
Author Contributions
Funding
Data Availability Statement
Conflicts of Interest
References
- Sathishkumar, T.P.; Satheeshkumar, S.; Naveen, J. Glass fiber-reinforced polymer composites—A review. J. Ren. Plast. Comp. 2014, 33, 1258–1275. [Google Scholar] [CrossRef]
- Zaman, I.; Manshoor, B.; Khalid, A.; Araby, S. From clay to graphene for polymer nanocomposites—A survey. J. Polym. Res. 2014, 21, 429. [Google Scholar] [CrossRef]
- Hagnell, M.K.; Åkermo, M. The economic and mechanical potential of closed loop material usage and recycling of fibre reinforced composite materials. J. Clean. Prod. 2019, 223, 957–968. [Google Scholar] [CrossRef]
- Thomason, J.L. Glass fibre sizing: A review. Compos. Part A 2019, 127, 105619. [Google Scholar] [CrossRef]
- Etcheverry, M.; Barbosa, S.E. Glass fiber reinforced polypropylene mechanical properties enhancement by adhesion improvements. Materials 2012, 5, 1084–1113. [Google Scholar] [CrossRef] [PubMed]
- Kim, H.I.; Han, W.; Choi, W.K.; Park, S.J.; An, K.H.; Kim, B.J. Effects of maleic anhydride content on mechanical properties of carbon fibers-reinforced maleic anhydride-grafted-poly-propylene matrix composites. Carbon Lett. 2016, 20, 39. [Google Scholar] [CrossRef]
- Zheng, A.; Wang, H.; Zhu, X.; Masuda, S. Studies on the interface of glass fiber-reinforced polypropylene composite. Comp. Interfaces 2002, 9, 319–333. [Google Scholar] [CrossRef]
- Rijsdijk, H.A.; Contant, M.; Peijs, A.A.J.M. Continuous-glass-fibre-reinforced polypropylene composites: I. influence of maleic-anhydride-modified polypropylene on mechanical properties. Comp. Sci. Technol. 1993, 48, 161–172. [Google Scholar] [CrossRef]
- Ismail, H.; Nordin, R.; Ahmad, Z.; Rashid, A. Processability and miscibility of linear low-density polyethylene/poly (vinyl alcohol) blends: In situ compatibilization with maleic acid. Iran. Polym. J. 2010, 19, 297–308. [Google Scholar]
- Van der Wall, A.; Nijhof, R.; Gaymans, R.J. Polypropylene-ruber blends: 2. The effect of the rubber content on the deformation and impact behavior. Polymer 1999, 40, 6031–6044. [Google Scholar] [CrossRef]
- Pereira, J.R.D.; Bemardes, G.P.; Silva, J.A.P.; Bönmann, V.C.; Calcagno, C.I.W.; Santana, R.M.C. Structure-property correlation of an impact-modified random polypropylene copolymer. J. Elastom. Pastics. 2020, 53, 450–468. [Google Scholar] [CrossRef]
- Ou, C.F. The crystallization characteristics of polypropylene and low ethylene content polypropylene copolymer with copolyesters. Eur. Pol. J. 2002, 38, 467–473. [Google Scholar] [CrossRef]
- Li, Y.; He, S.; He, H.; Yu, P.; Wang, D. Study on low temperature toughness and crystallization behavior of polypropylene random copolymer. J. Polym. Eng. 2017, 37, 715–727. [Google Scholar] [CrossRef]
- Delli, E.; Giliopoulos, D.; Bikiaris, D.N.; Chrissafis, K. Fibre length and loading impact on the properties of glass fibre reinforced polypropylene random composites. Comp. Struct. 2021, 263, 113678. [Google Scholar] [CrossRef]
- Kim, H.S.; Lee, B.H.; Choi, S.W.; Kim, S.; Kim, H.J. The effect of types of maleic anhydride-grafted polypropylene (MAPP) on the interfacial adhesion properties of bio-flour-filled polypropylene composites. Compos. Part A 2007, 38, 1473–1482. [Google Scholar] [CrossRef]
- Hassan, A.; Rahman, N.A.; Yahya, R. Extrusion and injection-molding of glassfiber/MAPP/polypropylene: Effect of coupling agent on DSC, DMA, and mechanical properties. J. Reinf. Plast. Compos. 2012, 30, 1223–1232. [Google Scholar] [CrossRef]
- Wang, Y.; Shi, Y.; Shao, W.; Ren, Y.; Dong, W.; Zhang, F.; Liu, L.Z. Crystallization, structures, and properties of different polyolefins with similar grafting degree of maleic anhydride. Polymers 2020, 12, 675. [Google Scholar] [CrossRef] [PubMed]
- Curtzwiler, G.; Early, M.; Gottschalk, D.; Konecki, C.; Peterson, R.; Wand, S. The world of surface coatings is centered around the: Glass transition temperature, but which one? Part 1. JCT Coat. Technol. 2004, 11, 28. [Google Scholar]
- Lopez-Manchado, M.A.; Biagiotti, J.; Kenny, J.M. Comparative Study of the Effects of Different Fibers on the Processing and Properties of Polypropylene Matrix Composites. J. Therm. Comp. Mater. 2002, 15, 337–353. [Google Scholar] [CrossRef]
- Nimmagadda, P.B.R.; Sofronist, P. On the calculation of the matrix-reinforcement interface diffusion coefficient in diffusional relaxation of composite materials at high temperatures. Acta Mater. 1996, 44, 2711–2716. [Google Scholar] [CrossRef]
- Amash, A.; Zugenmaier, P. Thermal and dynamic mechanical investigations on fiber-reinforced polypropylene composites. J. Appl. Polym. Sci. 1997, 63, 1143–1154. [Google Scholar] [CrossRef]
- Renaut, N.; Duquesne, S.; Zanardi, S.; Bardollet, P.; Steil, C.; Delobel, R. Fire retardancy, thermomechanical and thermal properties of PP/PC blends. J. Macromol. Sci. Part A Pure Appl. Chem. 2005, 42, 977–991. [Google Scholar] [CrossRef]
- Zhai, Z.; Liu, Z.; Feng, L.; Liu, S. Interfacial adhesion of glass fibre reinforced polypropylene–maleic anhydride modified polypropylene copolymer composites. J. Reinf. Plast. Compos. 2014, 33, 785–793. [Google Scholar] [CrossRef]
- Osoka, E.A.; Onukwuli, O.D. A modified Halpin-Tsai model for estimating the modulus of natural fiber reinforced composites. Int. J. Eng. Sci. Invent. 2018, 7, 63–70. [Google Scholar]
- Hara, S.; Watanabe, S.; Takahashi, K.; Shimizu, S.; Ikake, H. Preparation of crystallites for oriented poly(lactic acid) films using a casting method under a magnetic field. Polymers 2018, 10, 1083. [Google Scholar] [CrossRef]
- Van den Oever, M.; Peijs, T. Continuous-glass-fibre-reinforced polypropylene composites: II. Influence of maleic-anhydride modified polypropylene on fatigue behavior. Compos. Part A 1998, 29A, 227–239. [Google Scholar] [CrossRef]
- Tröltzsch, J.; Stiller, J.; Hase, K.; Roth, I.; Helbig, F.; Kroll, L. Effect of maleic anhydride modification on the mechanical properties of a highly filled glass fibre reinforced, low-viscosity polypropylene for injection moulding. J. Mater. Sci. Res. 2016, 5, 111–120. [Google Scholar]
- Schoßig, M.; Zankel, A.; Bierögel, C.; Pölt, P.; Grellmann, W. ESEM investigations for assessment of damage kinetics of short glass fibre reinforced thermoplastics—Results of in situ tensile tests coupled with coustic emission analysis. Comp. Sci. Technol. 2011, 71, 257–265. [Google Scholar] [CrossRef]
- Brylka, B.; Schemmann, M.; Wood, J.; Böhlke, T. DMA based characterization of stiffness reduction in long fiber reinforced polypropylene. Polym. Test. 2018, 66, 296–302. [Google Scholar] [CrossRef]





| Sample | Crystallinity, Ic (%) |
|---|---|
| PPR | 62.1 |
| PP-g-MA | 59.2 |
| PPRm0%/GF | 55.5 |
| PPRm0.5%/GF | 54.7 |
| PPRm1%/GF | 52.9 |
| PPRm2.5%/GF | 53.1 |
| Sample | Tm (°C) | Tc (°C) | ΔHm (J/g) | ΔHc (J/g) |
|---|---|---|---|---|
| PPR | 145.7 | 97.1 | 61.7 | 65.0 |
| PPRm0%/GF | 147.2 | 101.6 | 52.9 | 55.2 |
| PPRm0.5%/GF | 146.9 | 100.3 | 53.3 | 57.2 |
| PPRm1%/GF | 146.7 | 100.6 | 52.7 | 56.0 |
| PPRm2.5%/GF | 146.6 | 100.8 | 51.1 | 55.5 |
| Sample | Young Modulus (MPa) | Reinforcing Parameter, ζ | Yield Strength (MPa) | Elongation at Break (%) |
|---|---|---|---|---|
| PPR | 194 ± 16 | - | 17 ± 3 | 761 ± 89 |
| PPRm0%/GF | 481 ± 39 | 42 | 23 ± 1 | 627 ± 43 |
| PPRm0.5%/GF | 496 ± 49 | 44 | 23 ± 2 | 604 ± 45 |
| PPRm1%/GF | 508 ± 35 | 58 | 26 ± 4 | 600 ± 39 |
| PPRm2.5%/GF | 532 ± 54 | 50 | 24 ± 2 | 578 ± 32 |
Disclaimer/Publisher’s Note: The statements, opinions and data contained in all publications are solely those of the individual author(s) and contributor(s) and not of MDPI and/or the editor(s). MDPI and/or the editor(s) disclaim responsibility for any injury to people or property resulting from any ideas, methods, instructions or products referred to in the content. |
© 2024 by the authors. Licensee MDPI, Basel, Switzerland. This article is an open access article distributed under the terms and conditions of the Creative Commons Attribution (CC BY) license (https://creativecommons.org/licenses/by/4.0/).
Share and Cite
Delli, E.; Gkiliopoulos, D.; Vouvoudi, E.; Bikiaris, D.; Chrissafis, K. Defining the Effect of a Polymeric Compatibilizer on the Properties of Random Polypropylene/Glass Fibre Composites. J. Compos. Sci. 2024, 8, 44. https://doi.org/10.3390/jcs8020044
Delli E, Gkiliopoulos D, Vouvoudi E, Bikiaris D, Chrissafis K. Defining the Effect of a Polymeric Compatibilizer on the Properties of Random Polypropylene/Glass Fibre Composites. Journal of Composites Science. 2024; 8(2):44. https://doi.org/10.3390/jcs8020044
Chicago/Turabian StyleDelli, Evangelia, Dimitrios Gkiliopoulos, Evangelia Vouvoudi, Dimitrios Bikiaris, and Konstantinos Chrissafis. 2024. "Defining the Effect of a Polymeric Compatibilizer on the Properties of Random Polypropylene/Glass Fibre Composites" Journal of Composites Science 8, no. 2: 44. https://doi.org/10.3390/jcs8020044
APA StyleDelli, E., Gkiliopoulos, D., Vouvoudi, E., Bikiaris, D., & Chrissafis, K. (2024). Defining the Effect of a Polymeric Compatibilizer on the Properties of Random Polypropylene/Glass Fibre Composites. Journal of Composites Science, 8(2), 44. https://doi.org/10.3390/jcs8020044

