Effect of Chemical Treatment on Thermal Properties of Jute Fiber Used in Polymer Composites
Abstract
1. Introduction
2. Experimental Procedure
2.1. Collection and Segmentation of Jute Fiber
2.2. Chemical Treatments
2.3. Evaluation of Thermal Properties
2.3.1. Thermo-Gravimetric Analysis (TGA)
2.3.2. Differential Scanning Calorimetry (DSC)
2.4. Scanning Electron Microscopy (SEM)
2.5. Fourier Transform Infrared (FTIR) Spectroscopy
3. Results and Discussions
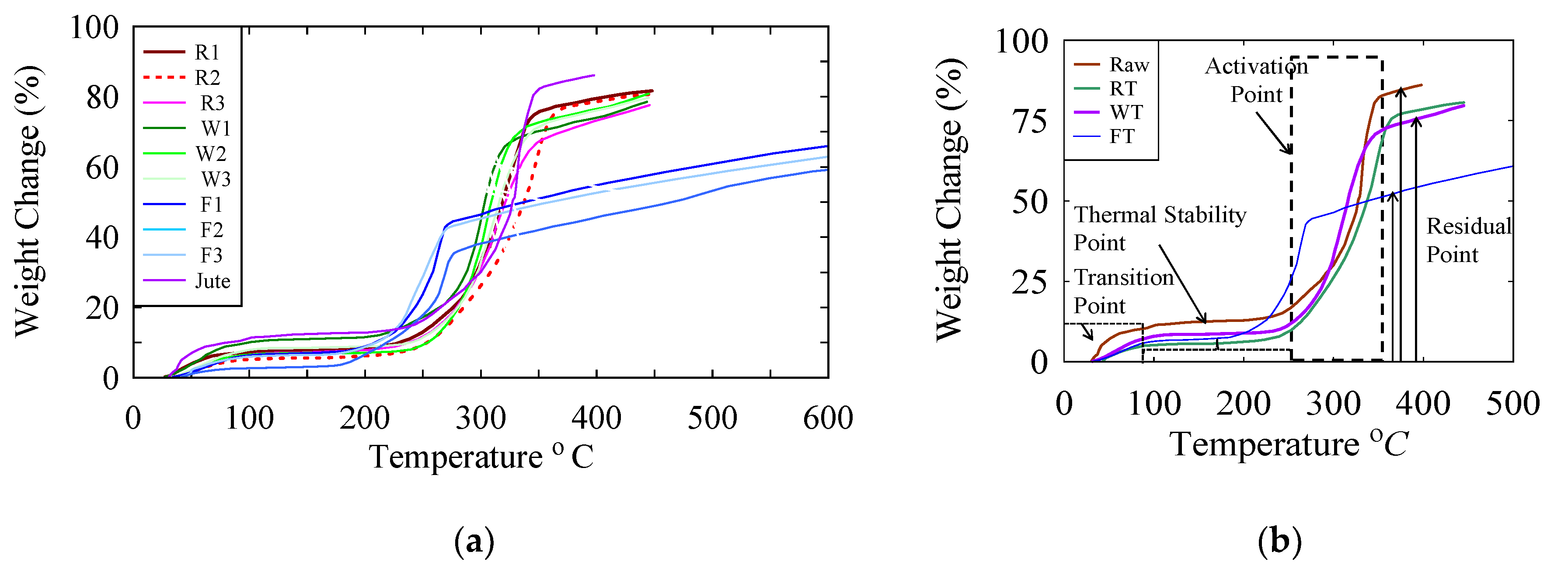
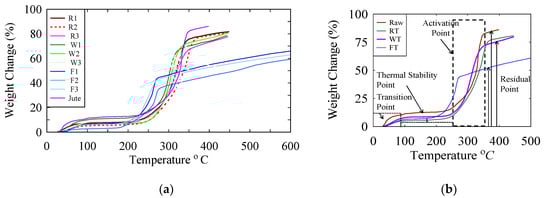
3.1. Thermo-Gravimetric Analysis (TGA)
3.2. Derivative Thermo-Gravimetric Analysis (DTGA)
3.3. Differential Scanning Calorimetric Analysis
3.4. Surface Morphology of Jute Fibers
3.5. FTIR Analysis
4. Conclusions
Author Contributions
Funding
Acknowledgments
Conflicts of Interest
References
- Shahinur, S.; Ullah, A. Quantifying the Uncertainty Associated with the Material Properties of a Natural Fiber. Procedia Cirp 2017, 61, 541–546. [Google Scholar] [CrossRef]
- Myers, J.N. Acuuweather.Com, American Commercial Weather Service and Media Company. Available online: www.AccuWeather.com (accessed on 10 February 2020).
- Santilli, M.; Moutinho, P.; Schwartzman, S. Tropical Deforestation and the Kyoto Protocol. Clim. Chang. 2005, 71, 267–276. [Google Scholar] [CrossRef]
- Shahinur, S.; Hasan, M. Jute/Coir/Banana Fiber Reinforced Bio-Composites: Critical Review of Design, Fabrication, Properties and Applications. In Encyclopedia of Renewable and Sustainable Materials; Hashmi, S., Ed.; Elsevier: Amsterdam, The Netherlands, 2020. [Google Scholar]
- Sayem, A.S.M.; Haider, J.; Sayeed, M.A. Development and characterisation of multi-layered jute fabric-reinforced HDPE composites. J. Compos. Mater. 2020, 54, 1831–1845. [Google Scholar] [CrossRef]
- Srinivasan, V.S.; Boopathy, S.R.; Sangeetha, D.; Ramnath, B.V. Evaluation of mechanical and thermal properties of banana–flax based natural fibre composite. Mater. Des. 2014, 60, 620–627. [Google Scholar] [CrossRef]
- Srinivasan, V.S.; Boopathy, S.R.; Ramnath, B.V. Thermal Behaviour of Flax Kenaf Hybrid Natural Fiber Composite. Int. J. Adv. Res. Sci. Eng. Technol. 2015, 2, 620–627. [Google Scholar]
- El-Shekeil, Y.A.; Sapuan, S.M.; Khalina, A.; Zainudin, E.S.; Al-Shuja’a, O.M. Effect of alkali treatment on mechanical and thermal properties of Kenaf fiber-reinforced thermoplastic polyurethane composite. J. Therm. Anal. Calorim. 2012, 109, 1435–1443. [Google Scholar] [CrossRef]
- Kabir, M.; Wang, H.; Lau, K.; Cardona, F. Chemical treatments on plant-based natural fibre reinforced polymer composites: An overview. Compos. Part B Eng. 2012, 43, 2883–2892. [Google Scholar] [CrossRef]
- Hossain, S.; Hasan, M.; Hassan, M.; Hassan, A. Effect of chemical treatment on physical, mechanical and thermal properties of ladies finger natural fiber. Adv. Mater. Sci. Des. 2013, 2013, 1–6. [Google Scholar] [CrossRef]
- Wu, Q.; Chi, K.; Wu, Y.; Lee, S. Mechanical, thermal expansion, and flammability properties of co-extruded wood polymer composites with basalt fiber reinforced shells. Mater. Des. 2014, 60, 334–342. [Google Scholar] [CrossRef]
- Ke, H. Morphology and thermal performance of quaternary fatty acid eutectics/polyurethane/Ag form-stable phase change composite fibrous membranes. J. Therm. Anal. Calorim. 2017, 129, 1533–1545. [Google Scholar] [CrossRef]
- Mantia, F.L.; Morreale, M. Green composites: A brief review. Compos. Part A Appl. Sci. Manuf. 2011, 42, 579–588. [Google Scholar] [CrossRef]
- Biswas, S.; Shahinur, S.; Hasan, M.; Ahsan, Q. Physical, Mechanical and Thermal Properties of Jute and Bamboo Fiber Reinforced Unidirectional Epoxy Composites. Procedia Eng. 2015, 105, 933–939. [Google Scholar] [CrossRef]
- Jayamani, E.; Hamdan, S.; Rahman, M.R.; Bakri, M.B. Investigation of fiber surface treatment on mechanical, acoustical and thermal properties of betelnut fiber polyester composites. Procedia Eng. 2014, 97, 545–554. [Google Scholar] [CrossRef]
- Shabanian, M.; Hajibeygi, M.; Hedayati, K.; Khaleghi, M.; Khonakdar, H.A. New ternary PLA/organoclay-hydrogel nanocomposites: Design, preparation and study on thermal, combustion and mechanical properties. Mater. Des. 2016, 110, 811–820. [Google Scholar] [CrossRef]
- Boopalan, M.; Niranjanaa, M.; Umapathy, M. Study on the mechanical properties and thermal properties of jute and banana fiber reinforced epoxy hybrid composites. Compos. Part B Eng. 2013, 51, 54–57. [Google Scholar] [CrossRef]
- Ahmed, M.; Islam, M.S.; Ahsan, Q.; Islam, M.M. Fabrication and characterization of unidirectional silk fibre composites. Eng. Mater. 2011, 471–472, 20–25. [Google Scholar] [CrossRef]
- Alkbir, M.; Sapuan, S.; Nuraini, A.; Ishak, M. Fibre properties and crashworthiness parameters of natural fibre-reinforced composite structure: A literature review. Compos. Struct. 2016, 148, 59–73. [Google Scholar] [CrossRef]
- Matykiewicz, D.; Przybyszewski, B.; Stanik, R.; Czulak, A. Modification of glass reinforced epoxy composites by ammonium polyphosphate (APP) and melamine polyphosphate (PNA) during the resin powder molding process. Compos. Part B Eng. 2017, 108, 224–231. [Google Scholar] [CrossRef]
- Lim, W.P.; Mariatti, M.C.; Mar, K. Effect of intumescent ammonium polyphosphate (APP) and melamine cyanurate (MC) on the properties of epoxy/glass fiber composites. Compos. Part B Eng. 2012, 43, 124–128. [Google Scholar]
- Jeencham, R.; Suppakarn, N.; Jarukumjorn, K. Effect of flame retardants on flame retardant, mechanical, and thermal properties of sisal fiber/polypropylene composites. Compos. Part B Eng. 2014, 56, 249–253. [Google Scholar] [CrossRef]
- Shahinur, S.; Hasan, M.; Ahsan, Q.; Jafrin, S. Effect of Rot-Retardant Treatment on Properties of Jute Fiber. J. Nat. Fibers 2017, 14, 205–216. [Google Scholar] [CrossRef]
- El-Shekeil, Y.; Sapuan, S.; Haron, M. Optimization of Processing Parameters and Fiber Content of Cocoa Pod Husk Fiber-Reinforced Thermoplastic Polyurethane Composites by Taguchi Method. Appl. Mech. Mater. 2014, 564, 394–399. [Google Scholar] [CrossRef]
- Lakshmanan, A.; Ghosh, R.K.; Dasgupta, S.; Chakraborty, S.; Ganguly, P.K. Optimization of alkali treatment condition on jute fabric for the development of rigid biocomposite. J. Ind. Text. 2018, 47, 640–655. [Google Scholar] [CrossRef]
- Khalili, P.; Tshai, K.; Hui, D.; Kong, I. Synergistic of ammonium polyphosphate and alumina trihydrate as fire retardants for natural fiber reinforced epoxy composite. Compos. Part B Eng. 2017, 114, 101–110. [Google Scholar] [CrossRef]
- El-Shekeil, Y.; Sapuan, S.; Jawaid, M.; Al-Shuja’a, O. Influence of fiber content on mechanical, morphological and thermal properties of kenaf fibers reinforced poly(vinyl chloride)/thermoplastic polyurethane poly-blend composites Materials. Mater. Des. 2014, 46, 130–135. [Google Scholar] [CrossRef]
- Arao, Y.; Nakamura, S.; Tomita, Y.; Takakuwa, K.; Umemura, T.; Tanaka, T. Improvement on fire retardancy of wood flour/polypropylene composites using various fire retardants. Polym. Degrad. Stab. 2014, 100, 79–85. [Google Scholar] [CrossRef]
- Vunain, E.; Opembe, N.N.; Jalama, K. Thermal stability of amine-functionalized MCM-41 in different atmospheres. J. Therm. Anal. Calorim. 2014, 115, 1487–1496. [Google Scholar] [CrossRef]
- Kabir, M.M.; Wang, H.; Lau, K.T.; Cardona, F. Effects of chemical treatments on hemp fibre structure. Appl. Surf. Sci. 2013, 276, 13–23. [Google Scholar] [CrossRef]
- Kabir, M.M.; Islam, M.M.; Wang, H. Mechanical and thermal properties of jute fibre reinforced composites. J. Multifunct. Compos. 2013, 1, 71–77. [Google Scholar] [CrossRef]
- Peter, B.O.; Ajibade, O.J.; Alaneme, K.K. Structural Characteristics, Thermal Degradation Behaviour and Tensile Properties of Hand Extracted Entada mannii Fibres. J. Phys. Sci. Pinang 2016, 27, 89–102. [Google Scholar]
- Shahinur, S.; Hasan, M.; Ahsan, Q.; Saha, D.K.; Islam, M. Characterization on the properties of jute fiber at different portions. Int. J. Polym. Sci. 2015, 2015, 1–6. [Google Scholar] [CrossRef]
- Edeerozey, A.M.; Akil, H.M.; Azhar, A.B.; Ariffin, M.Z. Chemical modification of kenaf fibers. Mater. Lett. 2007, 61, 2023–2025. [Google Scholar] [CrossRef]










| Sample Code | Treatment Name | Chemical Name | Chemical Concentration (wt.%) | Sample Colour | |
|---|---|---|---|---|---|
| RT | R1 | Rot-retardant | Copper salt (CuSO4·5H2O) | 4 | Light bluish |
| R2 | 8 | ||||
| R3 | 12 | ||||
| FT | F1 | Fire-retardant | Phosphate salt (NH4HPO4) | 20 | Bright golden |
| F2 | 25 | ||||
| F3 | 30 | ||||
| WT | W1 | Water-retardant | Chloride salt ([C2H3Cl]n or PVC) | 10 | Bright brown |
| W2 | 15 | ||||
| W3 | 20 | ||||
| Jute Fiber Samples | Thermal Stability at 15% Weight Loss (°C) | Peak Temperature of Derivative Weight Change (°C) | Residue (wt.%) |
|---|---|---|---|
| Raw | 30–242.9 | 332.9–347.4 | 13.0–18.8 |
| RT | 30–267.4 | 223.0–269.0 | 12.8–21.1 |
| FT | 30–238.7 | 263.3–268.6 | 30.5–37.7 |
| WT | 30–263.8 | 301.8–310.1 | 20.0–21.5 |
| Temperature °C | Nature of Peak | ||||
|---|---|---|---|---|---|
| Raw Jute | RT | FT | WT | ||
| Decomposition 1 | 30–59.73 | 59.71–65.61 | 65.61–75.10 | 65.61–69.06 | Endo |
| Decomposition 2 | 332–364 | - | 200.29–203.74 | - | Endo |
| Decomposition 3 | 376–423 | 305–429 | 256.40–280.57 | 291.79–293.52 | Exo |
| Decomposition 4 | - | - | 281–309 | - | Endo |
© 2020 by the authors. Licensee MDPI, Basel, Switzerland. This article is an open access article distributed under the terms and conditions of the Creative Commons Attribution (CC BY) license (http://creativecommons.org/licenses/by/4.0/).
Share and Cite
Shahinur, S.; Hasan, M.; Ahsan, Q.; Haider, J. Effect of Chemical Treatment on Thermal Properties of Jute Fiber Used in Polymer Composites. J. Compos. Sci. 2020, 4, 132. https://doi.org/10.3390/jcs4030132
Shahinur S, Hasan M, Ahsan Q, Haider J. Effect of Chemical Treatment on Thermal Properties of Jute Fiber Used in Polymer Composites. Journal of Composites Science. 2020; 4(3):132. https://doi.org/10.3390/jcs4030132
Chicago/Turabian StyleShahinur, Sweety, Mahbub Hasan, Qumrul Ahsan, and Julfikar Haider. 2020. "Effect of Chemical Treatment on Thermal Properties of Jute Fiber Used in Polymer Composites" Journal of Composites Science 4, no. 3: 132. https://doi.org/10.3390/jcs4030132
APA StyleShahinur, S., Hasan, M., Ahsan, Q., & Haider, J. (2020). Effect of Chemical Treatment on Thermal Properties of Jute Fiber Used in Polymer Composites. Journal of Composites Science, 4(3), 132. https://doi.org/10.3390/jcs4030132

