Next Article in Journal
Does the Type of Polymer and Carbon Nanotube Structure Control the Electromagnetic Shielding in Melt-Mixed Polymer Nanocomposites?
Previous Article in Journal
Compensation of Water Influence on Anionic Polymerization of ε-Caprolactam: 1. Chemistry and Experiments
 
 
Font Type:
Arial Georgia Verdana
Font Size:
Aa Aa Aa
Line Spacing:
Column Width:
Background:
Article

Anionic Polymerization of ε-Caprolactam under the Influence of Water: 2. Kinetic Model

Department of Polymer Engineering, Fraunhofer Institute for Chemical Technology (ICT), Joseph-von-Fraunhofer Straße 7, 76327 Pfinztal, Germany
*
Author to whom correspondence should be addressed.
J. Compos. Sci. 2020, 4(1), 8; https://doi.org/10.3390/jcs4010008
Submission received: 7 November 2019 / Revised: 20 December 2019 / Accepted: 26 December 2019 / Published: 10 January 2020

Abstract

The reaction kinetics of anionic polymerization for the production of anionic polyamide 6 (aPA6) are widely understood. It is also known that this reaction is very sensitive to external influences such as water. This paper analyzes and quantifies the influence of water on the reaction of ε-caprolactam to anionic polyamide 6. A kinetic model is developed in which the reactive molecules of the activator and catalyst are defined as variables and the concentrations of activator and catalyst as well as water content are considered. A model for the calculation of the reaction kinetics is established and validated with experimental data. The developed model can be used to predict the influence and compensation of water by addition of surplus activator and catalyst during the polymerization of ε-caprolactam.

1. Introduction

The high viscosity of thermoplastic melts is a challenge in processing especially if continuous fibers are integrated to manufacture fiber-reinforced plastics (FRP). A promising approach is the processing of the monomer melt combined with a subsequent polymerization after impregnation of the fibers. The most commonly investigated reactive thermoplastic material is anionic polyamide 6 (aPA6). The advantages of aPA6 are its low viscosity during processing [1,2] and good material properties due to its high crystallinity and high molecular weight [3,4,5].
Wilhelm et al. give a detailed overview about the state of the art of the reaction kinetics of ε-caprolactam [6]. This overview is described below. Wittmer et al. defined the relationship between exothermic temperature rise and degree of conversion [7]. The conversion β can be defined as β = −Q/∆H where Q is the amount of heat released in a specific time t and ∆H is the change of enthalpy during reaction. With Q = cp (TT0) and ∆H = cp (TmaxT0), the degree of conversion can be calculated according to Equation (1). T is the temperature at time t, T0 is the initial temperature (t = 0 s) and Tmax is the maximum temperature reached during the polymerization [7].
β = T T 0 T m a x T 0
Equation (2) shows the maximum temperature change ∆Tmax which depends on cp, defined as heat capacity, and the reaction’s enthalpy ∆H.
T m a x = Δ H c p
For aPA6, having an enthalpy ∆H = 15.9 kJ/mol and a heat capacity cp = 313.8 J/(K·mol), a maximum temperature change of ∆Tmax = 51 °C can be expected after the polymerization [7,8]. Korshak et al. found a linear relationship between the reaction and the exothermic temperature change caused by the reaction [9]. Thus, they proved that the temperature change (∆TPol) is a direct measure for the conversion. Wittmer has developed an equation to describe the reaction kinetics based on his findings [7]:
v B r = k 0 e x p ( E A R T ) [ K ] [ A ] [ M ] 0 T m a x T T m a x T 0
Here, vBr is the gross reaction rate, EA the activation energy, R the universal gas constant, [K] the catalyst concentration, [A] the activator concentration and [M]0 the monomer concentration at the beginning of the reaction. However, this model does not take any interfering influences into account, such as water. Values for EA were determined by Rigo et al. and Sittler et al., having a range of 70.3–73.2 kJ/mol [10,11]. Since the kinetics are strongly dependent on the type and functionality of the reactive components [12,13,14,15], different values for EA are given in the literature. Kim et al. and Teuwen et al. found values of 74–79 kJ/mol and 67–71 kJ/mol, respectively, for the reactions catalyzed with sodium-caprolactamate (NaCL) and activated with hexamethylene-1,6-diisocyanate (HDI) [16,17]. The currently most frequently used model to describe the reaction kinetics is the model of Malkin [15,17,18] shown in Equation (4).
d β d t = A 0 e ( E R T ) ( 1 β ) n ( 1 + B 0 β )
Resolving the model after temperature change over time, Equation (5) results.
( d T d t ) p = Δ H p c p d β d t = Δ H p c p A 0 e ( E R T ) ( 1 β ) n ( 1 + B 0 β )
Hp is the change of polymerization enthalpy, cp the heat capacity of the reactive mixture, A0 the pre-exponential coefficient, B0 the autocatalytic factor and n the kinetic exponent [14,17]. The heat capacity changes during the polymerization since the monomer is converted into the polymer and the two substances have different heat capacities. Thus, cp is expressed with Equation (6) as a function of the conversion β.
c p = ( 1 β ) c p , C P L + β c p , P A 6
Kim et al. assume the following capacities, cp,CPL = 2.59 kJ/kg·K and cp,PA6 = 3.01 kJ/kg·K [16], for the simplifying assumption that the heat capacities of the substances are constant during the entire reaction. In extensive experiments, the constants A0, B0 and n were determined. Kim summarizes that the autocatalytic factor B0 is around 5 regardless of the activator type (mono or bifunctional). The kinetic exponent, on the other hand, depends on the functionality of the activator. For the bifunctional activator HDI, a value of n = 1.21 was determined, and for monofunctional activators n = 0.65 was observed [16]. Nagy et al. determined the constants with A0 = 1.241579·× 107 s−1, EA = 77.577·× 104 J/mol, n = 1.1579 and B0 = 3.23949 for a formulation of 1.0 mol-% NaCL and 0.5 mol-% of the bifunctional HDI at a starting temperature of 160 °C [17].
The latest model for the description of the reaction kinetics is provided by Teuwen et al. [17,19]. It is based on the work of Kamal et al., who differentiate between non-catalyzed and autocatalyzed reactions in the model. The general notation is described with Equation (7).
d β d t = ( A 1 e x p ( E 1 R T ) + A 2 e x p ( E 2 R T ) β m ) ( 1 β ) n
A1 and A2 are the pre-exponential coefficients, E1 and E2 the activation energies and n and m the kinetic exponents. The reaction order is described by n and m. Teuwen et al. found in the validation of Equation (7) a higher consistency between experiment and model compared to the model of Malkin (Equation (4)). They also show that the autocatalytic factor B0 is temperature-dependent. They propose Equation (8) to describe the formulation of NaCL and HDI with a concentration of 1.2 mol-% each.
d β d t = ( 5.5 10 5 e x p ( 16.4 R T ) + 5.5 10 5 e x p ( 14.2 R T ) β 1.55 ) ( 1 β ) 1.21
The reaction kinetics of the anionic polymerization to anionic polyamide 6 are widely understood. It is also known that this reaction is very sensitive to external influences such as water or moisture [20,21]. However, there are no models which take these influences into account. In this work, a kinetic model was developed which uses variables for the activator and catalyst. This allows consideration and prediction of the influence of water on the polymerization.

2. Materials and Methods

For the manufacturing of aPA6 samples, the monomer ε-caprolactam, the activator (Act.) Brüggolen C20P and the catalyst (Cat.) Brüggolen C10 from Brüggemann Chemical were used. The mixing ratio between activator and catalyst was kept constant at 1:2 due to the bi-functionality of the activator (Table 1). The following concentrations of activator and catalyst were used:
The characterization of the anionic polymerization was carried out by means of semi-adiabatic beaker trials. The 150 °C hot melt was mixed and dosed into a stainless steel cup which was also heated to 150 °C. The processing was carried out with a two-component low-pressure thermoplastic Resin Transfer Moulding (T-RTM) injection machine from company ATP. For each trial, an amount of 300 g was dosed and the temperature profile of the polymerizing melt was measured with Type K thermocouples at a measuring rate of 5 Hz for 300 s in the middle of the specimen. Wittmer et al. and Teuwen et al. also used the same method in their experiments to determine the reaction kinetics [7,19]. Each experiment was carried out three times to prove the reproducibility of the results. The experimental setup is shown in Figure 1.

3. Results

First, the influence of water on anionic polymerization is characterized for the formulations F1 to F4 without water. Subsequently, the measured parameters are used for modelling the reaction kinetics. In the experiments, water is added to the formulations F1–F4. Therefore, different contents of water are added to the vessels of the dosing machine. The extended model is then validated on the basis of these experimental measured values and the influence of water on anionic polymerization is determined.

3.1. Modelling Reaction Kinetics as a Function of the Number of Reactive Molecules

To investigate the mathematical relationship between reaction kinetics and the number of reactive molecules, the measured values are compared with two models. For this purpose, the state-of-the-art models proposed by Malkin (Equation (4)) and Teuwen (Equation (7)) are used for the calculation of the reaction kinetics. The measured values are compared with these two most common models to investigate the mathematical relationship between reaction kinetics and the number of reactive molecules. The kinetic parameters can be set by a non-linear least-square curve fitting algorithm [7,16,22]. These parameters are determined for the models of Malkin and Teuwen. Figure 2 shows the resulting curves of dβ/dt over temperature compared to the simulated curves of the models which fit with the measured values of the formulation F4. The comparison of the measured values with the calculated values of both models shows a good compliance.
Fits of 52 measurement curves were evaluated to select a suitable model. This model is modified to calculate the conversion depending on the number of water molecules. For the model of Malkin, the average match is 99.2% (standard deviation 1.03%). The model of Teuwen shows an average match of 99.4% (standard deviation 0.84%). Both models correspond well to the measured values and the observed difference is very small. As the model from Malkin is simpler and easier to use, it is selected for further investigations.
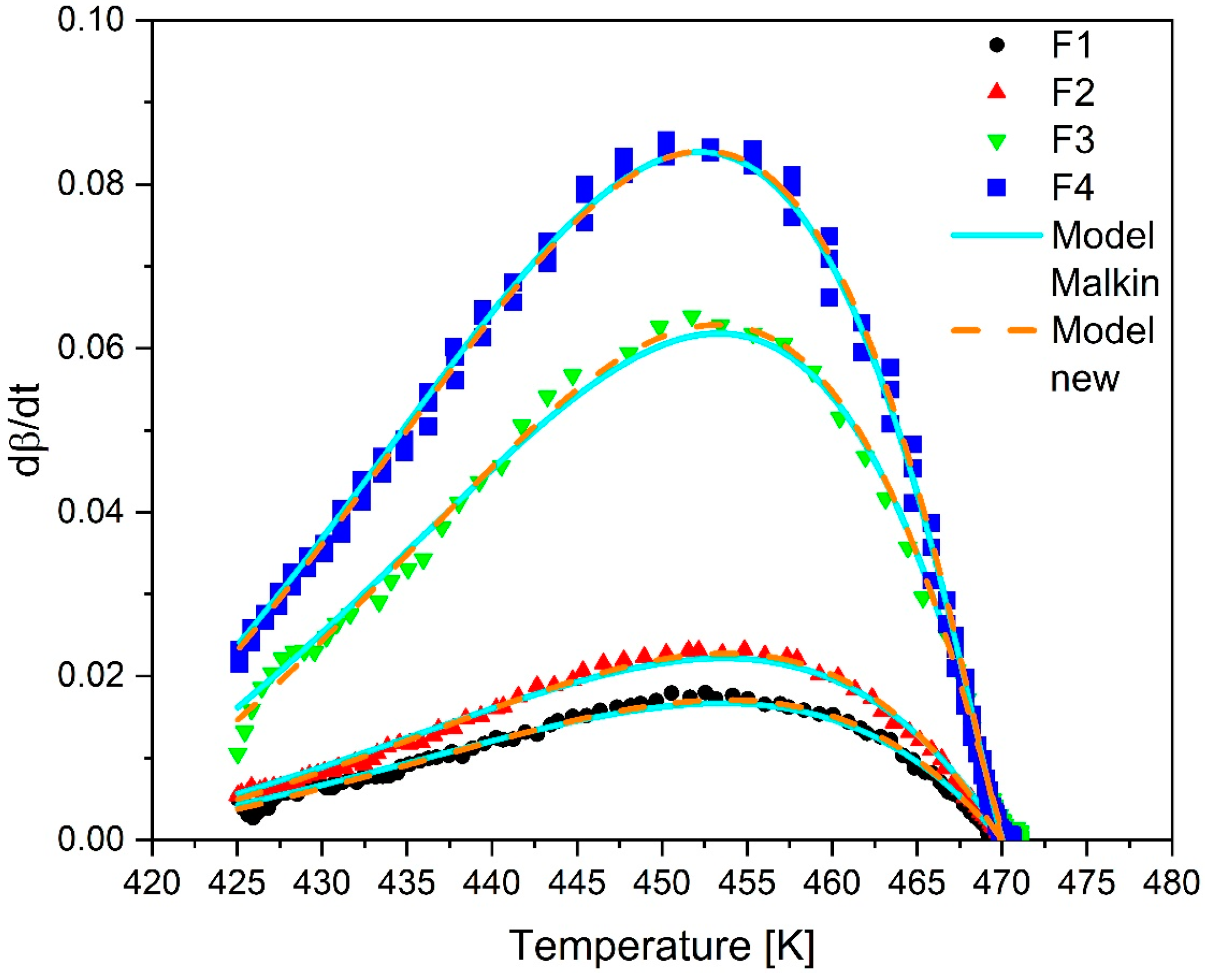
In order to make a valid statement about the reaction kinetics for different formulations relevant to the T-RTM process (1%–2.5% Act. and 2%–5% Cat.), the coefficients A0, B0 and n are determined by curve fitting. The results in Figure 3 show a good compliance of the fits with the measured values. The correspondence for R2 is between 0.992 and 0.998. Formulations with higher activator and catalyst concentrations have a higher compliance. This is probably due to the limited measuring accuracy of the temperature measurement during the polymerization which is particularly important when temperatures rise very slowly due to low reactivity. In addition, the semi-adiabatic setup slightly loses energy, which might have an influence here. With formulations containing small amounts of activator and catalyst, less energy is released in one time step.
The kinetic parameter fits are analyzed to find out the relationships among these parameters with the number of reactive molecules (Table 2). The measurements show that the parameters A0 and n of the different formulations vary. Since only the concentrations of the activator and catalyst were varied in the experiments, A0 and n must therefore depend on the number of reactive molecules present in the tested formulations. The autocatalytic factor B0 is a variable which is independent from the reactive molecules.
The Malkin model is not applicable to describe the T-RTM process because the influence of water is not considered. The variable “temperature” can be set very precisely in the process for the melt vessels and the mold. On the other hand, the influence of water is an occurring disturbance variable. The determined coefficients indicate that the model from Malkin neglects the relationship between reactive molecules and reaction kinetics. For this reason, the Malkin model is modified and extended with variables for A0 and n.
Since the reactive molecules represent growth centers to initiate the polymerization, an exponential function for A0 and n is chosen as the mathematical function to describe the relation between the measured values. The new parameter c is defined as the number of reactive molecules. The factors t1, t2, y0 and y1 are defined as constants.
A 0 ( c ) = A 1 e x p ( c t 1 ) + y 0
n ( c ) = n 1 e x p ( c t 2 ) + y 1
This results in a kinetic model that correlates with the number of reactive molecules c:
d β d t ( c ) = ( A 1 e x p ( c t 1 ) + y 0 ) e x p ( E R T ) ( 1 β ) n 1 e x p ( c t 2 ) + y 1 ( 1 + B 0 β )
d T d t ( c ) = Δ H p c p d β d t ( c )
In order to determine the reactive species dependent on the reaction kinetics, the coefficients A0 and n are plotted in relation to the number of reactive molecules. The experimental values were fitted with Equations (9) and (10). The concentration of the reactive molecules was fitted for the activator, catalyst and mixture, respectively. The result is shown in Figure 4.
A high degree of agreement of parameter A0 can be seen at both high and low numbers of reactive molecules. Since parameter n is only 0.90, it is important to check the later results for their agreement.
In the following, only the mixed, reactive melt is considered (Act. + Cat.). The parameter A0 can thus be calculated as a function of the number of reactive molecules c as follows:
A 0 ( c ) = 612675.255 e c 52.195 717479
For the calculation of the parameter n as a function of the number of reactive molecules, it results in:
n ( c ) = 0.005 e c 24.833 + 0.04
The agreement of the new model fit is compared with the model fits of Malkin and the experimentally measured values of F1–F4. Figure 5 shows the experimental values superimposed on the values of the two models. Despite the deviations of the fits from A0 and especially from n, a high agreement of the new model can be observed at both high and low fractions of reactive molecules.
For the practical application of the extended model in the T-RTM process it is necessary to calculate the temperature course during the polymerization of molten monomer at different activator and catalyst concentrations. The temperature course provides information about the speed and progress of anionic ring-opening polymerization.
The high agreement of the extended model with experimental values, as shown in Figure 5, can be used to calculate the temperature curve and therefore the reaction kinetics. Figure 6 shows the temperature curves of the four reference formulations with the corresponding simulated curves. However, the deviations are still very small even for F1 with a low content of reactive molecules.
To use this model for the reaction kinetics in a range of 1%–2.5% activator and 2%–5% catalyst, which is relevant for the T-RTM process, the extended model must be further validated with alternative formulations.

3.2. Influence of Water on Anionic Polymerization

In the following, the extended model will be validated using further formulations. Since water influences the reactivity, the validation is carried out using different water concentrations in the reactive melt. The investigation of reaction kinetics is of particular importance for the processing of the material in industrial applications. Different concentrations of the used additives and a variable amount of water have to be considered during processing. The order of water addition in the tests is shown in Figure 7. First, three reference (Ref) temperature measurements without water were conducted. Second, 0.02% water is added to both melted components and measured again. This water addition of 0.02% is repeated until no temperature increase can be measured within 300 s.
Figure 8 shows the measured temperature curves of each formulation (F1–F4). The temperature of F1 (top side, left) increases at a significantly slower rate after the first addition of 0.02% water. In the second step, an additional 0.02% water was added to the monomer and the material did not show any temperature increase after dosing which indicated that the monomer mixture did not polymerize (not displayed).
For F2, the experiment shows that the 0.02% water content leads to a slower temperature increase rate compared to the initial reaction without water. Compared to F1, the water influence on the reaction speed is lower and corresponds to Ref of F1. A reaction can also be measured with 0.04% water. After increasing the amount of water to 0.06%, no reaction can be measured within 300 s. In the case of F3, the influence of water decreases further. With this formulation, temperature increases at water contents of 0.06% can still be measured. The temperature curve at 0.02% water corresponds to the curve of F2 without water. The formulation with 0.04% water is comparable to the curve of F1 without water. Figure 8d shows the temperature curves of the formulation F4. Due to the high activator and catalyst content, the temperature rise is very fast. Measurable temperature increases of up to 0.08% can be seen with this formulation. For F4 with 0.02% water, the temperature rise fits to that of F3 without water. The formulation with 0.04% water corresponds to the course of F2 without, and with 0.06% water it corresponds to F1 without. F4 shows the lowest influence of water due to the highest concentration of activator and catalyst. Nevertheless, water has a severe influence also on F4.
Water molecules in the melt deactivate reactive molecules by reducing their number. However, it can be assumed that the water content can be compensated by the addition of the activator and catalyst.
Using the temperature curves in Figure 8, the conversion β can be calculated with Equation (1). This conversion is used in the following to evaluate the curing time. Table 3 shows the curing times observed at the end of the conversion. If there was no change in the conversion within 2 s, this was considered to be the end. From the table it is apparent that the times of a formulation Fx are very similar to the times of the higher concentrated formulation Fx + 1 after addition of 0.02% water. These results match the number of reactive molecules available for the reaction after deactivation by the added water molecules.
The similarities of the temperature curves of the reference formulations F1–F3 with those of higher concentrated formulations and 0.02% water indicate that the number of reactive molecules is decisive for the temperature rise and thus for the anionic polymerization reaction. Water molecules present in the melt deactivate reactive molecules and thus reduce their number. This effect has not yet been taken into account in mathematical kinetic models. For the definition of a robust process it is absolutely necessary to be able to calculate the reaction kinetics on the basis of a water increase by means of a model and to influence it if necessary.
The validation of the extended model with different amounts of water shows good agreement with measured values. It can be concluded that the model provides a predictable way to describe the kinetics. Compared to the models of Wittmer (Equation (3)), Malkin (Equation (4)) and Teuwen (Equation (8)), the reaction kinetics can be calculated from the number of reactive molecules. This model has the advantage that the influence of water can be taken into account. Therefore, the number of water molecules is subtracted from the number of activator and catalyst molecules.

4. Discussion

Finally, the measured times for the temperature rise are compared with those of other works. Since the influence of water on the reaction kinetics has not yet been considered in detail and no values are available from other authors, only the reference curves are compared.
A comparison of the reaction time of formulation F2 with the results of Wittmer et al. confirms the results. Wittmer’s formulation of 0.35 mol-% activator and 0.46 mol-% catalyst almost corresponded to the formulation F2 (0.37 mol-% Act. to 0.46 mol-% Cat.). Wittmer et al. achieved a reaction time of approximately 70 s at a polymerization temperature TPol = 156 °C [7]. The formulation F2 from the above tests shows an average reaction time of 65 s at a polymerization temperature of TPol = 150 °C. In the study by Kim et al., a formulation of 0.5 mol-% activator and 1 mol-% catalyst at 150 °C polymerization temperature is investigated [16]. They achieved a polymerization time of approximately 65 s. The conversion of Kim’s substance amount to weight percent of the activator and catalyst used in this work would correspond to a formulation containing 2.0 weight percent activator and 6.5 weight percent catalyst (see also Table 1). The formulation of Kim et al. can therefore be compared with formulation F3 0.00% H2O, since the concentration of the activator is decisive for the polymerization rate due to the formation of growth centers. This formula F3 provides a reaction time of approximately 42 s. The reaction time determined by Kim is approximately 70 s longer and comparable with the reaction time of F3 with 0.02% H2O (70.6 s). The assumption is therefore that the water content of Kim’s melt was comparable to that of F3 0.02% H2O.

5. Conclusions

In this study the influence of water at four different activator/catalyst concentrations on polymerization kinetics was investigated. The experiments were carried out in a semi-adiabatic setup. The kinetic models of Malkin and Teuwen were used as a basis. Since both models showed a very good compliance with the measured values, the simpler model of Malkin was selected and extended to calculate and simulate the water influence on the polymerization. The existing Malkin model was extended by the variable c (number of reactive molecules). The new model was then validated by experiments. The parameters of this model were determined by reference formulations without water. Since water molecules decrease the number of reactive molecules of the additives, the extended model with the variable c allows us to predict the number of reactive molecules needed to compensate the water. The calculated values of the model correspond very well to the measured values. The extended model allows the calculation of the reaction kinetics based on the number of reactive molecules available in the melt. Thus, the influence of water can be considered, which deactivates a certain number of reactive molecules. This makes the influence of water during processing calculable and offers the advantage that it can be taken into account in advance by adding additional activator and catalyst. This ensures a reproducible production.

Author Contributions

R.W. and M.W. conceived the presented idea. R.W. developed the theory and performed the computations. R.W. and M.W. verified the analytical methods. R.W. carried out the experiments. R.W. and M.W. wrote the manuscript. M.W., P.R., and F.H. contributed to the interpretation of the results. All authors discussed the results and contributed to the final manuscript. All authors have read and agreed to the published version of the manuscript.

Funding

This research received no external funding.

Conflicts of Interest

The authors declare no conflict of interest.

References

  1. Barhoumi, N.; Maazouz, A.; Jaziri, M.; Abdelhedi, R. Polyamide from lactams by reactive rotational molding via anionic ring-opening polymerization: Optimization of processing parameters. Express Polym. Lett. 2013, 7, 76–87. [Google Scholar] [CrossRef]
  2. Schell, J.S.U.; Aimé, H.; Comas-Cardona, S.; Binetruy, C.H.; Lemasçon, A.; Lacrampec, M.F.; Deléglise-Lagardère, M. Development of RTM TP with low viscosity Thermoplastics. In Proceedings of the ITHEC, Bremen, Germany, 27–28 October 2014. [Google Scholar]
  3. Dencheva, N.; Sampaio, A.S.; Oliveira, F.M.; Pouzada, A.S.; Brito, A.M.; Denchev, Z. Preparation and properties of polyamide-6-based thermoplastic laminate composites by a novel in-mold polymerization technique. J. Appl. Polym. Sci. 2014, 131. [Google Scholar] [CrossRef]
  4. Roda, J. Polyamides. Handbook of Ring-Opening Polymerization; Wiley-VCH Verlag GmbH & Co. KGaA: Weinheim, Germany, 2009; pp. 165–195. [Google Scholar]
  5. Ueda, K.; Hosoda, M.; Matsuda, T.; Tai, K. Synthesis of high molecular weight nylon 6 by anionic polymerization of ε-caprolactam. Formation of cyclic oligomers. Polym. J. 1998, 30, 186. [Google Scholar] [CrossRef]
  6. Wilhelm, M.; Wendel, R.; Aust, M. Untersuchungen Zum Einfluss Von Wasser Auf Die Aktivierte Anionische Polymerisation Von ε-Caprolactam Im Thermoplastischen RTM Prozess. Master’s Thesis, Fraunhofer ICT, Technische Hochschule Deggendorf, Deggendorf, Gemany, 2018. [Google Scholar]
  7. Wittmer, P.; Gerrens, H. Über die anionische Schnellpolymerisation von Caprolactam. Die Makromol. Chem. 1965, 89, 27–43. [Google Scholar] [CrossRef]
  8. Ricco, L.; Russo, S.; Orefice, G.; Riva, F. Anionic poly (ɛ-caprolactam) relationships among conditions of synthesis, chain regularity, reticular order, and polymorphism. Macromolecules 1999, 32, 7726–7731. [Google Scholar] [CrossRef]
  9. Korshak, V.V.; Frunze, T.M.; Davtyan, S.P.; Kurashev, V.V.; Volkova, T.V.; Kotelnikov, V.A.; Shleifman, R.B. Kinetics of activated anionic polymerization of ɛ-caprolactam under non-isothermal conditions. Polym. Sci. U.S.S.R. 1979, 21, 2161–2169. [Google Scholar] [CrossRef]
  10. Rigo, A.; Fabbri, G.; Talamini, G. Kinetic study of anionic polymerization of 6-caprolactam by differential calorimetry. J. Polym. Sci. Polym. Lett. Ed. 1975, 13, 469–477. [Google Scholar] [CrossRef]
  11. Šittler, E.; Šebenda, J. Alkaline polymerization of 6-caprolactam. XXXII. The kinetics of polymerization activated by N, N, N’, N’-tetraacetylhexamethylenediamine. Collect. Czechoslov. Chem. Commun. 1968, 33, 270–277. [Google Scholar] [CrossRef]
  12. Rusu, G.; Ueda, K.; Rusu, E.; Rusu, M. Polyamides from lactams by centrifugal molding via anionic ring-opening polymerization. Polymer 2001, 42, 5669–5678. [Google Scholar] [CrossRef]
  13. Ueda, K.; Yamada, K.; Nakai, M.; Matsuda, T.; Hosoda, M.; Tai, K. Synthesis of high molecular weight nylon 6 by anionic polymerization of ε-caprolactam. Polym. J. 1996, 28, 446. [Google Scholar] [CrossRef]
  14. Udipi, K.; Davé, R.S.; Kruse, R.L.; Stebbins, L.R. Polyamides from lactams via anionic ring-opening polymerization: 1. Chemistry and some recent findings. Polymer 1997, 38, 927–938. [Google Scholar] [CrossRef]
  15. Van Rijswijk, K.; Bersee, H.E.N.; Jager, W.F.; Picken, S.J. Optimisation of anionic polyamide-6 for vacuum infusion of thermoplastic composites: Choice of activator and initiator. Compos. Part A Appl. Sci. Manuf. 2006, 37, 949–956. [Google Scholar] [CrossRef]
  16. Kim, K.J.; Kim, Y.Y.; Yoon, B.S.; Yoon, K.J. Mechanism and kinetics of adiabatic anionic polymerization of ϵ-caprolactam in the presence of various activators. J. Appl. Polym. Sci. 1995, 57, 1347–1358. [Google Scholar] [CrossRef]
  17. Teuwen, J.J.; van Geenen, A.A.; Bersee, H.E. Temperature evolution during processing of thick-walled anionic polyamide 6 composites: Experiment and simulation. Macromol. Mater. Eng. 2013, 298, 722–729. [Google Scholar] [CrossRef]
  18. Nagy, J.; Reith, L.; Fischlschweiger, M.; Steinbichler, G. Modeling the influence of flow phenomena on the polymerization of ϵ-Caprolactam. Chem. Eng. Sci. 2014, 111, 85–93. [Google Scholar] [CrossRef]
  19. Teuwen, J.J.; van Geenen, A.A.; Bersee, H.E. Novel reaction kinetic model for anionic polyamide-6. Macromol. Mater. Eng. 2013, 298, 163–173. [Google Scholar] [CrossRef]
  20. Wendel, R.; Thoma, B.; Henning, F. Influence of water during manufacturing of aPA6 in the thermoplastic RTM process. In Proceedings of the Conference of the Polymer Processing Society, Cancun, Mexico, 10–14 December 2017. [Google Scholar]
  21. Bernat, P.; Hladká, O.; Fišmanová, M.; Roda, J.; Brožek, J. Polymerization of lactams. 98: Influence of water on the non-activated polymerization of ε-caprolactam. Eur. Polym. J. 2008, 44, 32–41. [Google Scholar] [CrossRef]
  22. Kim, K.J.; Hong, D.S.; Tripathy, A.R. Kinetics of adiabatic anionic copolymerization of ϵ-caprolactam in the presence of various activators. J. Appl. Polym. Sci. 1997, 66, 1195–1207. [Google Scholar] [CrossRef]
Figure 1. Schematic setup of low pressure T-RTM injection machine and beaker for the kinetic tests.
Figure 1. Schematic setup of low pressure T-RTM injection machine and beaker for the kinetic tests.
Jcs 04 00008 g001
Figure 2. Comparison of the kinetic models by Malkin and Teuwen with experimental values of formulation F4.
Figure 2. Comparison of the kinetic models by Malkin and Teuwen with experimental values of formulation F4.
Jcs 04 00008 g002
Figure 3. Comparison of the measured values and model fits using Malkin’s model for formulations F1–F4.
Figure 3. Comparison of the measured values and model fits using Malkin’s model for formulations F1–F4.
Jcs 04 00008 g003
Figure 4. Fits of the coefficients A0 (a) and n (b) with the number of reactive molecules.
Figure 4. Fits of the coefficients A0 (a) and n (b) with the number of reactive molecules.
Jcs 04 00008 g004
Figure 5. Comparison of measured values with the Malkin model and the extended model.
Figure 5. Comparison of measured values with the Malkin model and the extended model.
Jcs 04 00008 g005
Figure 6. Comparison of the temperature curves of the measured values with the calculated values of the model.
Figure 6. Comparison of the temperature curves of the measured values with the calculated values of the model.
Jcs 04 00008 g006
Figure 7. Order of water addition [6].
Figure 7. Order of water addition [6].
Jcs 04 00008 g007
Figure 8. Influence of water on the temperature curves of (a) formulation F1, (b) formulation F2, (c) formulation F3, (d) formulation F4.
Figure 8. Influence of water on the temperature curves of (a) formulation F1, (b) formulation F2, (c) formulation F3, (d) formulation F4.
Jcs 04 00008 g008
Table 1. Formulations with different concentration of activator and catalyst (percentage by weight).
Table 1. Formulations with different concentration of activator and catalyst (percentage by weight).
FormulationConcentration of Activator C20PConcentration of Catalyst C10
F11%2%
F21.5%3%
F32%4%
F42.5%5%
Table 2. Coefficients from the fits of Malkin’s model with the measured values.
Table 2. Coefficients from the fits of Malkin’s model with the measured values.
FormulationTrialFitted Parameters
A0B0n
F11319,985.291.050
F12410,229.991.034
F13399,734.691.054
F21722,579.791.052
F22726,854.991.075
F23734,341.691.055
F311,210,594.491.080
F321,234,173.891.083
F331,163,958.591.090
F411,751,739.391.125
F421,624,837.291.136
F431,696,900.291.140
Table 3. Measured curing times for formulations F1–F4 at different amounts of water.
Table 3. Measured curing times for formulations F1–F4 at different amounts of water.
Water ContentF1F2F3F4
0.00% H2O103 s65 s42 s31 s
0.02% H2O291 s97 s62 s44 s
0.04% H2O---304 s99 s63 s
0.06% H2O------286 s100 s
0.08% H2O---------255 s

Share and Cite

MDPI and ACS Style

Wendel, R.; Rosenberg, P.; Wilhelm, M.; Henning, F. Anionic Polymerization of ε-Caprolactam under the Influence of Water: 2. Kinetic Model. J. Compos. Sci. 2020, 4, 8. https://doi.org/10.3390/jcs4010008

AMA Style

Wendel R, Rosenberg P, Wilhelm M, Henning F. Anionic Polymerization of ε-Caprolactam under the Influence of Water: 2. Kinetic Model. Journal of Composites Science. 2020; 4(1):8. https://doi.org/10.3390/jcs4010008

Chicago/Turabian Style

Wendel, Rainer, Philipp Rosenberg, Michael Wilhelm, and Frank Henning. 2020. "Anionic Polymerization of ε-Caprolactam under the Influence of Water: 2. Kinetic Model" Journal of Composites Science 4, no. 1: 8. https://doi.org/10.3390/jcs4010008

APA Style

Wendel, R., Rosenberg, P., Wilhelm, M., & Henning, F. (2020). Anionic Polymerization of ε-Caprolactam under the Influence of Water: 2. Kinetic Model. Journal of Composites Science, 4(1), 8. https://doi.org/10.3390/jcs4010008

Article Metrics

Back to TopTop