The Utilization of Polyvinyl Alcohol (PVA) Filaments for the Three-Dimensional Printing of Water-Soluble Patterns for Investment Casting
Abstract
1. Introduction
2. Materials and Methods
2.1. The Materials and 3D Printing Process Conditions
2.2. The PVA Filament and as-Printed Sample Structure and Properties Analysis
2.3. The PVA Dissolution Experiment
2.4. The Wetting of PVA by Colloidal Silica Binder
2.5. The PVA Pattern Printing, Making of the Ceramic Mold, Investment Casting Procedure, and Analysis of Cast Part Properties
3. Results and Discussion
3.1. The FTIR Results
3.2. The XRD Results for Filaments and as-Printed Samples
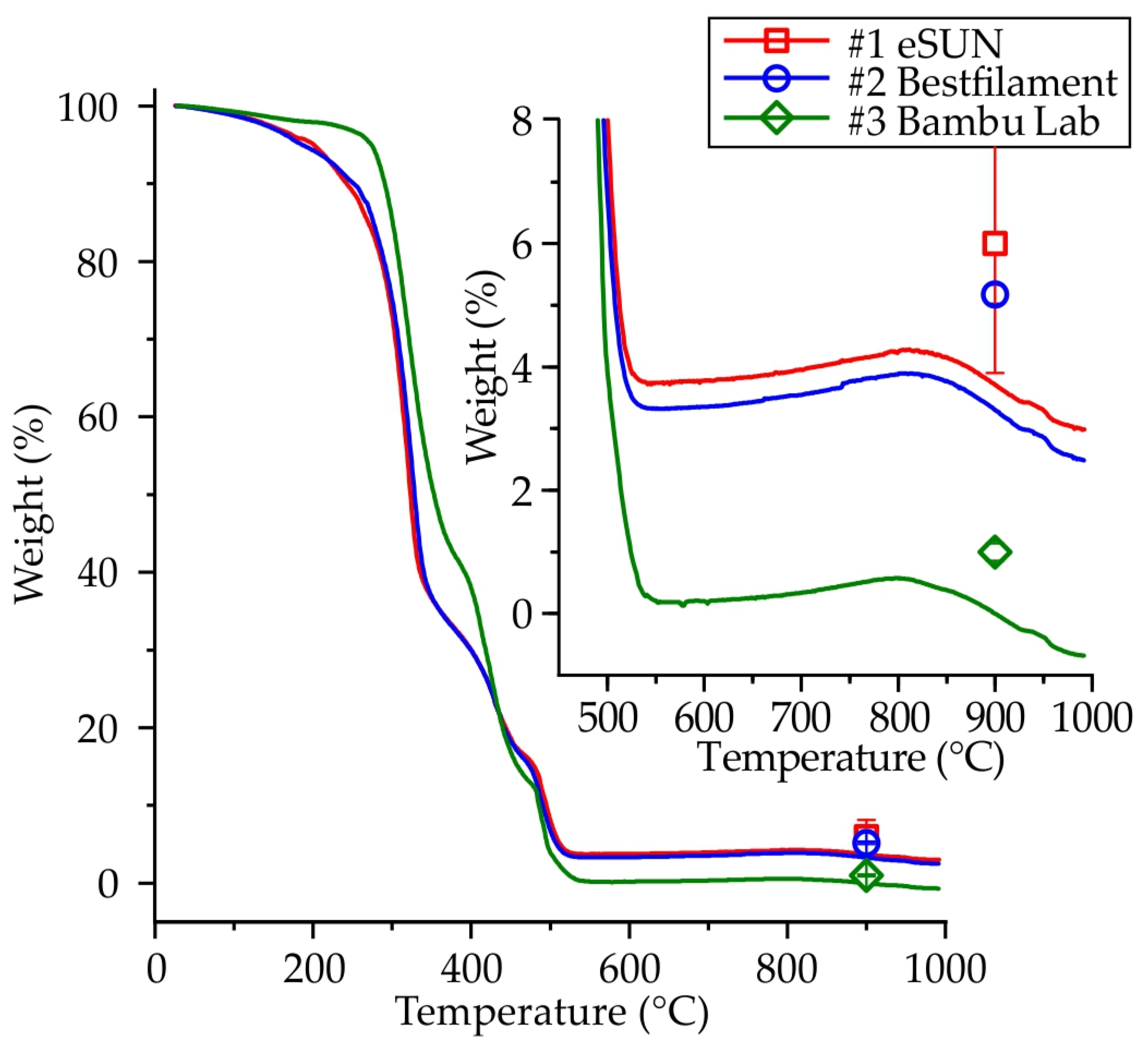
3.3. The Results of the TGA and the Burnout Process of the Filaments
3.4. The Mechanical Properties of as-Printed PVA Samples
3.5. The Dissolution Rate of PVA in Distilled Water
3.6. The Dissolution Rate of PVA in Colloidal Silica Binder
3.7. The Influence of Varying Concentrations of PVA Filament on the pH of PVA–Water Solutions
3.8. The Contact Angle of the Colloidal Silica Binder on PVA as-Printed Samples
3.9. The Mold Production and Casting Results
4. Conclusions
- Only the Bambu Lab filament is a pure PVA without any additions. The eSUN and Bestfilament filaments are mainly PVA, but contain some oxides added as plasticizers to provide flexibility and enhance the flow of filament during the filament production process;
- After the burnout process, a high fraction of ash close to 6 wt.% containing Al and Si oxides is observed for the eSUN and Bestfilament filaments, and because of that, the full dissolution of the pattern is needed if these filaments are used. However, for the Bambu Lab filament, only 1 wt.% of ash is observed, which is very close to the pattern waxes;
- The higher mechanical property values of TYS, UTS, and El of 25.5 MPa, 45.9 MPa, and 48% are observed for the Bambu Lab as-printed samples, values that are close to those of commercial use plastics and enough for producing patterns with low infill. The eSUN and Bestfilament samples exhibit lower strength, especially a low TYS of nearly 6.5 MPa;
- The increase in the temperature and the mixing of the environment lead to a significant increase in the dissolution rate of PVA filaments in water. A temperature of 80 °C and a mixing of the water environment provide dissolution rates of 126–248 mg/cm2 h for the filaments. During the dissolution of the Bambu Lab filament, the water environment pH is changed to 5.2; however, the dissolution of the eSUN and Bestfilament filaments change the pH to alkaline (7.6–7.9), which is connected with the presence of oxides in the mentioned filaments;
- It is shown that the dissolution rates of the PVA filaments in the colloidal silica binder are low and mass gain connected with the filament swelling is observed, rather than dissolution. The contact angle between the filament and the colloidal silica binder is in the range of 44–55°, which provides good slurry connection with the pattern. The contact angle can be further decreased by using the coating of varnish;
- The use of PVA patterns for shell mold production with the slurry of a colloidal silica binder provides swelling and crack defects that lead to surface contamination, excess metal, and finning defects on the castings. Also, the penetration defect is observed on the nickel superalloy casting due to the low strength of the thin parts of the mold. However, the use of the Bambu Lab filament provides the highest quality of mold and casting that is also confirmed by a higher dimensional accuracy.
Author Contributions
Funding
Institutional Review Board Statement
Informed Consent Statement
Data Availability Statement
Conflicts of Interest
References
- Pradyumna, R.; Sridhar, S.; Satyanarayana, A.; Chauhan, A.S.; Baig, M.A.H. Wax Patterns for Integrally Cast Rotors/Stators of Aeroengine Gas Turbines. Mater. Today Proc. 2015, 2, 1714–1722. [Google Scholar] [CrossRef]
- Bemblage, O.; Karunakar, D.B. A Study on the Blended Wax Patterns in Investment Casting Process. In Proceedings of the World Congress on Engineering (WCE 2011), London, UK, 6–8 July 2011; Volume 1, pp. 1–7. [Google Scholar]
- Singh, S.; Singh, R. Precision investment casting: A state of art review and future trends. Proc. Inst. Mech. Eng. Part B J. Eng. Manuf. 2015, 230, 2143–2164. [Google Scholar] [CrossRef]
- Singh, B.; Kumar, P.; Mishra, B.K. Investigations of the effect of injection parameters on the dimensional accuracy of wax patterns used in ceramic shell investment casting. Int. J. Manuf. Technol. Manag. 2010, 21, 148–159. [Google Scholar] [CrossRef]
- Pattnaik, S.; Karunakar, D.B.; Jha, P.K. Developments in investment casting process—A review. J. Mater. Process. Technol. 2012, 212, 2332–2348. [Google Scholar] [CrossRef]
- Rutto, H.; Focke, W. Thermomechanical Properties of Urea-based Pattern Molding Compounds for Investment Casting. Int. Polym. Process. 2010, 25, 15–22. [Google Scholar] [CrossRef]
- Jamróz, W.; Kurek, M.; Łyszczarz, E.; Szafraniec, J.; Knapik-Kowalczuk, J.; Syrek, K.; Paluch, M.; Jachowicz, R. 3D Printed Orodispersible Films with Aripiprazole. Int. J. Pharm. 2017, 533, 413–420. [Google Scholar] [CrossRef] [PubMed]
- Wang, J.; Sama, S.R.; Lynch, P.C.; Manogharan, G. Design and Topology Optimization of 3D-Printed Wax Patterns for Rapid Investment Casting. Procedia Manuf. 2019, 34, 683–694. [Google Scholar] [CrossRef]
- Mukhtarkhanov, M.; Shehab, E.; Ali, M.H. Process Parameter Optimization for 3D Printed Investment Casting Wax Pattern and Its Post-Processing Technique. Appl. Sci. 2022, 12, 6847. [Google Scholar] [CrossRef]
- Lu, T.; Chen, W.-T. Material Recycling of Acrylonitrile Butadiene Styrene (ABS) from Toy Waste Using Density Separation and Safer Solvents. RCR Adv. 2023, 197, 107090. [Google Scholar] [CrossRef]
- Couți, N.; Porfire, A.; Iovanov, R.; Crișan, A.G.; Iurian, S.; Casian, T.; Tomuță, I. Polyvinyl Alcohol, a Versatile Excipient for Pharmaceutical 3D Printing. Polymers 2024, 16, 517. [Google Scholar] [CrossRef]
- Ng, N.Y.Z.; Abdul Haq, R.H.; Marwah, O.M.F.; Ho, F.H.; Adzila, S. Optimization of Polyvinyl Alcohol (PVA) Support Parameters for Fused Deposition Modelling (FDM) by Using Design of Experiments (DOE). Mater. Today Proc. 2022, 57, 1226–1234. [Google Scholar] [CrossRef]
- Rajkumar, A.; Prithiviraj, D.; Chithambaranathan, P.; Chenthil, M. Manufacturing of Bromelain Based PVA Support Structure for 3D Printing. Mater. Today Proc. 2022, 62, 1102–1106. [Google Scholar] [CrossRef]
- Ni, F.; Wang, G.; Zhao, H. Fabrication of water-soluble poly(vinyl alcohol)-based composites with improved thermal behavior for potential three-dimensional printing application. J. Appl. Polym. Sci. 2017, 134, 44966. [Google Scholar] [CrossRef]
- Park, S.J.; Lee, J.E.; Park, J.H.; Lee, N.K.; Lyu, M.-Y.; Park, K.; Koo, M.S.; Cho, S.H.; Son, Y.; Park, S.-H. Enhanced Solubility of the Support in an FDM-Based 3D Printed Structure Using Hydrogen Peroxide under Ultrasonication. Adv. Mater. Sci. Eng. 2018, 2018, 3018761. [Google Scholar] [CrossRef]
- Smith, D.; Kapoor, Y.; Hermans, A.; Nofsinger, R.; Kesisoglou, F.; Gustafson, T.P.; Procopio, A. 3D Printed Capsules for Quantitative Regional Absorption Studies in the GI Tract. Int. J. Pharm. 2018, 550, 418–428. [Google Scholar] [CrossRef]
- Windolf, H.; Chamberlain, R.; Breitkreutz, J.; Quodbach, J. 3D Printed Mini-Floating-Polypill for Parkinson’s Disease: Combination of Levodopa, Benserazide, and Pramipexole in Various Dosing for Personalized Therapy. Pharmaceutics 2022, 14, 931. [Google Scholar] [CrossRef] [PubMed]
- Gioumouxouzis, C.I.; Katsamenis, O.L.; Bouropoulos, N.; Fatouros, D.G. 3D Printed Oral Solid Dosage Forms Containing Hydrochlorothiazide for Controlled Drug Delivery. J. Drug. Deliv. Sci. Technol. 2017, 40, 164–171. [Google Scholar] [CrossRef]
- Xu, X.; Zhao, J.; Wang, M.; Wang, L.; Yang, J. 3D Printed Polyvinyl Alcohol Tablets with Multiple Release Profiles. Sci. Rep. 2019, 9, 12487. [Google Scholar] [CrossRef]
- Tagami, T.; Fukushige, K.; Ogawa, E.; Hayashi, N.; Ozeki, T. 3D Printing Factors Important for the Fabrication of Polyvinylalcohol Filament-Based Tablets. Biol. Pharm. Bull. 2017, 40, 357–364. [Google Scholar] [CrossRef] [PubMed]
- Goyanes, A.; Wang, J.; Buanz, A.; Martínez-Pacheco, R.; Telford, R.; Gaisford, S.; Basit, A.W. 3D Printing of Medicines: Engineering Novel Oral Devices with Unique Design and Drug Release Characteristics. Mol. Pharmaceutics 2015, 12, 4077–4084. [Google Scholar] [CrossRef] [PubMed]
- Ibrahim, M.; Barnes, M.; McMillin, R.; Cook, D.W.; Smith, S.; Halquist, M.; Wijesinghe, D.; Roper, T.D. 3D Printing of Metformin HCl PVA Tablets by Fused Deposition Modeling: Drug Loading, Tablet Design, and Dissolution Studies. AAPS PharmSciTech 2019, 20, 195. [Google Scholar] [CrossRef] [PubMed]
- Cotabarren, I.; Gallo, L. 3D Printing of PVA Capsular Devices for Modified Drug Delivery: Design and in Vitro Dissolution Studies. Drug Dev. Ind. Pharm. 2020, 46, 1416–1426. [Google Scholar] [CrossRef]
- Nukala, P.K.; Palekar, S.; Patki, M.; Patel, K. Abuse Deterrent Immediate Release Egg-Shaped Tablet (Egglets)Using 3D Printing Technology: Quality by Design to Optimize Drug Release and Extraction. AAPS PharmSciTech 2019, 20, 80. [Google Scholar] [CrossRef]
- Matijašić, G.; Gretić, M.; Vinčić, J.; Poropat, A.; Cuculić, L.; Rahelić, T. Design and 3D Printing of Multi-Compartmental PVA Capsules for Drug Delivery. J. Drug Deliv. Technol. 2019, 52, 677–686. [Google Scholar] [CrossRef]
- Saviano, M.; Bowles, B.J.; Penny, M.R.; Ishaq, A.; Muwaffak, Z.; Falcone, G.; Russo, P.; Hilton, S.T. Development and Analysis of a Novel Loading Technique for FDM 3D Printed Systems: Microwave-Assisted Impregnation of Gastro-Retentive PVA Capsular Devices. Int. J. Pharm. 2022, 613, 121386. [Google Scholar] [CrossRef] [PubMed]
- Wei, C.; Solanki, N.G.; Vasoya, J.M.; Shah, A.V.; Serajuddin, A.T.M. Development of 3D Printed Tablets by Fused Deposition Modeling Using Polyvinyl Alcohol as Polymeric Matrix for Rapid Drug Release. J. Pharm. Sci. 2020, 109, 1558–1572. [Google Scholar] [CrossRef]
- Bazhenov, V.E.; Kovyshkina, E.P.; Sannikov, A.V.; Koltygin, A.V.; Ten, D.V.; Rizhsky, A.A.; Belov, V.D.; Lazarev, E.A. Analysis of the slurry and ceramic properties for investment casting obtained with domestic colloidal silica binders. Izvestiya. Non-Ferr. Metall. 2023, 29, 15–28. [Google Scholar] [CrossRef]
- ASTM Standard D638–14; Standard Test Method for Tensile Properties of Plastics. ASTM International: West Conshohocken, PA, USA, 2014. [CrossRef]
- Lazović, T.M.; Stojanović, M.S. Preparation of Specimens for Standard Tensile Testing of Plastic Materials for FDM 3D Printing. Mach. Technol. Mater. 2021, 15, 205–208. [Google Scholar]
- Moradi, M.; Karamimoghadam, M.; Meiabadi, S.; Casalino, G.; Ghaleeh, M.; Baby, B.; Ganapathi, H.; Jose, J.; Abdulla, M.S.; Tallon, P.; et al. Mathematical Modelling of Fused Deposition Modeling (FDM) 3D Printing of Poly Vinyl Alcohol Parts through Statistical Design of Experiments Approach. Mathematics 2023, 11, 3022. [Google Scholar] [CrossRef]
- Appalsamy, T.; Hamilton, S.L.; Kgaphola, M.J. Tensile Test Analysis of 3D Printed Specimens with Varying Print Orientation and Infill Density. J. Compos. Sci. 2024, 8, 121. [Google Scholar] [CrossRef]
- ASTM Standard G1–03; Standard Practice for Preparing, Cleaning, and Evaluating Corrosion Test Specimens. ASTM International: West Conshohocken, PA, USA, 2011. [CrossRef]
- Stalder, A.F.; Kulik, G.; Sage, D.; Barbieri, L.; Hoffmann, P. A snake-based approach to accurate determination of both contact points and contact angles. Colloids Surf. A Physicochem. Eng. Asp. 2006, 286, 92–103. [Google Scholar] [CrossRef]
- Mansur, H.S.; Sadahira, C.M.; Souza, A.N.; Mansur, A.A.P. FTIR Spectroscopy Characterization of Poly (Vinyl Alcohol) Hydrogel with Different Hydrolysis Degree and Chemically Crosslinked with Glutaraldehyde. Mat. Sci. Eng. C 2008, 28, 539–548. [Google Scholar] [CrossRef]
- Mallakpour, S.; Tabesh, F.; Hussain, C.M. A New Trend of Using Poly(Vinyl Alcohol) in 3D and 4D Printing Technologies: Process and Applications. Adv. Colloid Interface Sci. 2022, 301, 102605. [Google Scholar] [CrossRef] [PubMed]
- Abral, H.; Hartono, A.; Hafizulhaq, F.; Handayani, D.; Sugiarti, E.; Pradipta, O. Characterization of PVA/cassava starch biocomposites fabricated with and without sonication using bacterial cellulose fiber loadings. Carbohydr. Polym. 2019, 206, 593–601. [Google Scholar] [CrossRef] [PubMed]
- Song, S.; Liu, Z.; Zhang, J.; Jiao, C.; Ding, L.; Yang, S. Synthesis and Adsorption Properties of Novel Bacterial Cellulose/Graphene Oxide/Attapulgite Materials for Cu and Pb Ions in Aqueous Solutions. Materials 2020, 13, 3703. [Google Scholar] [CrossRef] [PubMed]
- Joni, I.M.; Nulhakim, L.; Vanitha, M.; Panatarani, C. Characteristics of crystalline silica (SiO2) particles prepared by simple solution method using sodium silicate (Na2SiO3) precursor. IOP Conf. Ser. J. Phys. Conf. Ser. 2018, 1080, 012006. [Google Scholar] [CrossRef]
- Chauruka, S.R.; Hassanpour, A.; Brydson, R.; Roberts, K.J.; Ghadiri, M.; Stitt, H. Effect of mill type on the size reduction and phase transformation of gamma alumina. Chem. Eng. Sci. 2015, 134, 774–783. [Google Scholar] [CrossRef]
- Goyanes, A.; Kobayashi, M.; Martínez-Pacheco, R.; Gaisford, S.; Basit, A.W. Fused-Filament 3D Printing of Drug Products: Microstructure Analysis and Drug Release Characteristics of PVA-Based Caplets. Int. J. Pharm. 2016, 514, 290–295. [Google Scholar] [CrossRef]
- Gottschalk, N.; Quodbach, J.; Elia, A.-G.; Hess, F.; Bogdahn, M. Determination of Feed Forces to Improve Process Understanding of Fused Deposition Modeling 3D Printing and to Ensure Mass Conformity of Printed Solid Oral Dosage Forms. Int. J. Pharm. 2022, 614, 121416. [Google Scholar] [CrossRef]
- Rigotti, D.; Fambri, L.; Pegoretti, A. Polyvinyl Alcohol Reinforced with Carbon Nanotubes for Fused Deposition Modeling. J. Reinf. Plast. Compos. 2018, 37, 716–727. [Google Scholar] [CrossRef]
- Ružić, J.; Maletaškić, J.; Radovanović, Ž.; Ilić, S. Mechanical properties of mullite investigated by nanoindentation. Metall. Mater. Data 2024, 2, 47–50. [Google Scholar] [CrossRef]
- Gong, L.; Wang, Y.; Cheng, X.; Zhang, R.; Zhang, H. Porous mullite ceramics with low thermal conductivity prepared by foaming and starch consolidation. J. Porous Mater. 2014, 21, 15–21. [Google Scholar] [CrossRef]
- Mallapragada, S.K.; Peppas, N.A. Dissolution Mechanism of Semicrystalline Poly(Vinyl Alcohol) in Water. J. Polym. Sci. B Polym. Phys. 1996, 34, 1339–1346. [Google Scholar] [CrossRef]
- Mahmood, F.; Hussain, A.; Arshad, M.S.; Abbas, N.; Irfan, M.; Qamar, N.; Hussain, F.; Ghori, M.U. Effect of Solublising Aids on The Entrapment of Loratidine in Pre-Fabricated PVA Filaments Used for FDM Based 3D-Printing. Acta Pol. Pharm. 2020, 77, 175–182. [Google Scholar] [CrossRef]
- Cho, Y.H.; Dan, K.S.; Kim, B.C. Effects of dissolution temperature on the rheological properties of polyvinyl alcohol solutions in dimethyl sulfoxide. Korea-Aust. Rheol. J. 2008, 20, 73–77. [Google Scholar]
- Kuo, T.-Y.; Jhang, C.-F.; Lin, C.-M.; Hsien, T.-Y.; Hsieh, H.-J. Fabrication and application of coaxial polyvinyl alcohol/chitosan nanofiber membranes. Open Phys. 2017, 15, 1004–1014. [Google Scholar] [CrossRef]
- Obeid, S.; Madžarević, M.; Ibrić, S. Tailoring Amlodipine Release from 3D Printed Tablets: Influence of Infill Patterns and Wall Thickness. Int. J. Pharm. 2021, 610, 121261. [Google Scholar] [CrossRef]

















| Filament Ash | Element Content (at.%) | ||||||||
|---|---|---|---|---|---|---|---|---|---|
| O | Al | Si | Mg | N | Na | C | S | P | |
| #1 eSUN | 59.2 | 21.2 | 6.4 | 4.9 | 3.1 | 3.0 | 0.9 | 0.8 | 0.2 |
| #2 Bestfilament | 59.1 | 19.2 | 7.1 | 5.6 | 3.4 | 2.7 | 1.3 | 0.5 | 0.8 |
| Coating | Surface Roughness Rz (µm) of Casting Made Using PVA Pattern | ||
|---|---|---|---|
| #1 eSUN | #2 Bestfilament | #3 Bambu Lab | |
| Without varnish coating | 29.1 ± 4.4 | 41.6 ± 10.1 | 35.6 ± 5.8 |
| With varnish coating | 35.6 ± 3.5 | 46.7 ± 11.7 | 40.2 ± 11.7 |
Disclaimer/Publisher’s Note: The statements, opinions and data contained in all publications are solely those of the individual author(s) and contributor(s) and not of MDPI and/or the editor(s). MDPI and/or the editor(s) disclaim responsibility for any injury to people or property resulting from any ideas, methods, instructions or products referred to in the content. |
© 2025 by the authors. Licensee MDPI, Basel, Switzerland. This article is an open access article distributed under the terms and conditions of the Creative Commons Attribution (CC BY) license (https://creativecommons.org/licenses/by/4.0/).
Share and Cite
Bazhenov, V.E.; Krutsky, A.A.; Lyskovich, A.A.; Rizhsky, A.A.; Kovyshkina, E.P.; Tselovalnik, Y.V.; Bazlov, A.I.; Nikitina, A.A.; Ten, D.V.; Koltygin, A.V.; et al. The Utilization of Polyvinyl Alcohol (PVA) Filaments for the Three-Dimensional Printing of Water-Soluble Patterns for Investment Casting. J. Manuf. Mater. Process. 2025, 9, 48. https://doi.org/10.3390/jmmp9020048
Bazhenov VE, Krutsky AA, Lyskovich AA, Rizhsky AA, Kovyshkina EP, Tselovalnik YV, Bazlov AI, Nikitina AA, Ten DV, Koltygin AV, et al. The Utilization of Polyvinyl Alcohol (PVA) Filaments for the Three-Dimensional Printing of Water-Soluble Patterns for Investment Casting. Journal of Manufacturing and Materials Processing. 2025; 9(2):48. https://doi.org/10.3390/jmmp9020048
Chicago/Turabian StyleBazhenov, Viacheslav E., Alexander A. Krutsky, Anastasia A. Lyskovich, Andrey A. Rizhsky, Elena P. Kovyshkina, Yuri V. Tselovalnik, Andrey I. Bazlov, Anna A. Nikitina, Denis V. Ten, Andrey V. Koltygin, and et al. 2025. "The Utilization of Polyvinyl Alcohol (PVA) Filaments for the Three-Dimensional Printing of Water-Soluble Patterns for Investment Casting" Journal of Manufacturing and Materials Processing 9, no. 2: 48. https://doi.org/10.3390/jmmp9020048
APA StyleBazhenov, V. E., Krutsky, A. A., Lyskovich, A. A., Rizhsky, A. A., Kovyshkina, E. P., Tselovalnik, Y. V., Bazlov, A. I., Nikitina, A. A., Ten, D. V., Koltygin, A. V., Belov, V. D., & Shchedrin, E. Y. (2025). The Utilization of Polyvinyl Alcohol (PVA) Filaments for the Three-Dimensional Printing of Water-Soluble Patterns for Investment Casting. Journal of Manufacturing and Materials Processing, 9(2), 48. https://doi.org/10.3390/jmmp9020048

