Next Article in Journal
Bayesian Optimization-Based Parameter Identification for Discrete Element Method Simulation of Consolidation and Its Application to Powder Spreading Analysis
Previous Article in Journal
Heat Treatment and Fracture Behavior of Aluminum/Steel FSW Joints: A Comprehensive Analysis of a Curved Interface
 
 
Font Type:
Arial Georgia Verdana
Font Size:
Aa Aa Aa
Line Spacing:
Column Width:
Background:
Article

Processing Strategies for High-Performance Polyester-Based Adhesives Reinforced by Bio-Derived Nanoparticles

1
Department of Mechanical Engineering, York University, Toronto, ON M3J 1P3, Canada
2
Neptune Nanotechnologies Inc., Markham, ON L3R 4L9, Canada
*
Author to whom correspondence should be addressed.
J. Manuf. Mater. Process. 2025, 9(12), 382; https://doi.org/10.3390/jmmp9120382
Submission received: 31 October 2025 / Revised: 18 November 2025 / Accepted: 19 November 2025 / Published: 21 November 2025

Abstract

This study explores the enhancement of mechanical and adhesive properties of unsaturated polyester resins (UPR) through the incorporation of bio-derived chitin nanowhiskers (CNWs) into the polymer matrix. CNWs are high-performance nanoparticles extracted from chitin, an abundant and renewable biopolymer. The research investigates the effects of processing strategies and CNW loadings on the chemical structure, thermal behaviour, mechanical strength, and adhesive performance of UPR–CNW nanocomposites. CNWs were incorporated into the UPR matrix via slurry compounding using different suspension media, including ethanol, acetone, and methyl ethyl ketone, and through direct mechanical mixing with CNW dry powders. Experimental results show that the thermal and mechanical properties of the nanocomposites are highly sensitive to both the thermal history during processing and the choice of suspension medium. Most importantly, the optimal adhesive performance was achieved via slurry compounding with a CNW suspension in ethanol, following an evaporative pre-treatment of the suspension to reduce ethanol content and thereby minimize transesterification of the polyester matrix.

1. Introduction

Adhesives are critical to a wide spectrum of industrial and commercial applications, including automotive, aerospace, construction, electronics, and packaging. The global adhesives market was valued at USD $59.79 billion in 2022 and is projected to grow to USD $87.04 billion by 2028. This represents an expanding demand for reliable and high-performance bonding solutions across sectors [1]. As performance requirements become increasingly rigorous and sustainability gains importance, the development of cost-effective, durable, and environmentally responsible adhesives has become a critical area of materials research.
Thermosetting resins, including epoxy, phenolic, vinyl ester, and unsaturated polyester resin (UPR), dominate the adhesive landscape due to their excellent structural integrity and chemical resistance [2]. Among these, epoxy resins are most commonly used because of their superior mechanical strength, strong adhesion to diverse substrates, and low shrinkage after curing [3]. However, their higher cost and longer curing times limit their use in cost-sensitive or high-throughput manufacturing environments such as the automotive sector [4]. While epoxy remains essential for high-performance applications like aerospace engineering [5,6], alternative resins are increasingly sought for in less demanding but high-volume applications.
UPRs, in particular, offer several advantages such as low density, corrosion resistance, design flexibility, shorter curing time, and cost-effectiveness. These properties make it suitable for applications in transportation, consumer electronics, and infrastructure [7,8,9,10,11]. Moreover, UPR adhesives are formaldehyde-free and can be processed at lower curing temperatures and shorter cycle times, making them attractive from both economic and environmental perspectives [12]. Nevertheless, UPRs are often relegated to low-stress or low-performance applications due to their relatively lower mechanical properties. For instance, cured UPR adhesives typically exhibit a tensile strength of 33 MPa [13] and a compressive strength of 109 MPa [14], which are inferior to epoxy’s properties (i.e., tensile strength of 73 MPa) [15].
To narrow this performance gap, researchers have explored the integration of nanoparticles into UPR matrices as a means of enhancing mechanical and thermal properties. This approach has yielded promising results. For example, Rahman et al. demonstrated that the incorporation of ferric oxide, titanium oxide, and nickel ferrite nanoparticles into UPR improved tensile strength by 21.62% and Young’s modulus by 6.56% [16]. Similarly, Chu et al. reported a 27.3 MPa increase in tensile strength through reinforcement with ramie fabric [17]. These enhancements suggest that with appropriate modification, UPRs may become a more viable alternative to epoxy in structurally demanding adhesive applications.
In parallel with these efforts, the use of environmentally sustainable and renewable nanoparticles as reinforcement fillers is gaining attention in both research and real-world applications. Among these, chitin, the second most abundant biopolymer after cellulose, is a promising candidate for bio-derived nanocomposite development [18,19,20,21]. Chitin is a nontoxic, biodegradable, and biocompatible polymer that also exhibits thermal stability, antimicrobial activity, and antioxidative properties [18]. It is primarily extracted from crustacean shell waste, with annual global availability estimated at over 2 million tonnes [22], making it an abundant and renewable resource for sustainable material development.
In its nanowhisker form, chitin exhibits a rod-like morphology, typically measuring 200–500 nm in length and 10–20 nm in width [23,24]. These chitin nanowhiskers (CNWs) possess an exceptional Young’s modulus of approximately 200 GPa, offering excellent stiffness and mechanical reinforcement capabilities. The combination of nanoscale dimensions and outstanding mechanical properties makes CNWs highly suitable for incorporation into polymer matrices. While carbon nanomaterials such as graphene, carbon nanotubes, or fullerenes (buckyballs) have been extensively studied for their reinforcement potential in polymer nanocomposites, CNWs represent a sustainable alternative with comparable multifunctional benefits [25,26]. In this context, several studies have explored the use of CNWs as reinforcing fillers in polymer nanocomposites. Pend and Chen, for example, prefabricated a poly(vinyl alcohol) (PVA)-CNW nanocomposite film through heat treatment, resulting in substantial increase in Young’s modulus (i.e., from 207.41 MPa to 311.23 MPa); however, this compromised the elongation at break by over 40% [27]. Huang et al. developed a soy protein fibrils-CNW complex gel with enhanced rigidity [28]. Similarly, Midhun et al. revealed that dispersing CNWs into acrylonitrile-butadiene rubber significantly improved the material’s tensile and tear strengths by 116% and 54%, respectively [29]. Despite these promising findings, there has been limited research focused on leveraging CNWs to enhance the performance of polymer adhesives.
Despite promising evidence supporting the mechanical reinforcement potential of CNWs in polymer systems, their integration into adhesive-grade UPRs has not been adequately studied. This work aims to fill this gap by investigating how different CNW incorporation strategies, specifically slurry compounding with various suspension media and direct mechanical mixing with dry powders, affect the mechanical, thermal, and adhesive performance of UPR-based nanocomposites. Direct dispersion of CNWs typically relies on aqueous or ethanol suspensions, surface modification, or sonication to disperse CNWs. Unlike traditional CNW dispersion routes, this study includes the examination of varying suspension media, including a hybrid dispersion strategy in which the CNWs are partially suspended in a solvent-modified fraction of the polyester resin itself. By matching the solvent environment, part of this work evaluates whether the approach may enhance compatibility, improve dispersion quality, and support the incorporation of CNWs during the manufacturing stage of the UPR. The examination of varying suspension mediums also reduces the risk of hydrolysis in the UPR, which is a limitation of traditional water- and ethanol-based CNW systems. Special attention is also given to the impact of processing conditions on polyester chain integrity, including degradation effects caused by thermal history and solvent interactions. By identifying processing–property relationships, this study aims to establish a practical route for developing high-performance, bio-reinforced adhesives suitable for scalable manufacturing applications.

2. Materials and Methods

2.1. Materials

Commercial-grade UPR (3M, Milton, ON, Canada, Bondo® Fibreglass Resin 401C) was used as the base material in this study (the manufacturer’s provided safety data sheet indicated the UPR consists of dimethyl phthalate (o-phthalic acid ester), methyl ethyl ketone peroxide, 2,2,4-Trimethyl-1,3-pentanediol diisobutyrate, hydrogen peroxide, methyl ethyl ketone, and water). It must be noted that this is a neat UPR without any reinforcement filler. Methyl ethyl ketone peroxide (MEKP, 3M, Milton, ON, Canada, Bondo® Liquid Hardener 912C) served as the curing agent. Both the UPR and MEKP have a density of 1.1 g/mL. Acetone (Solvable® 53-260) and methyl ethyl ketone (MEK, Solvable® 53-361) were used as suspension media for dispersing CNWs. The boiling points of acetone and MEK are 56.2 °C and 79.6 °C, respectively. CNWs, supplied either as a 5 wt.% ethanol suspension or in dry powder, were obtained from Neptune Nanotechnologies Inc. (Markham, ON, Canada). These bio-derived nanoparticles were employed as reinforcing additives for the UPR-based adhesive formulations. The CNWs used in this study had whisker-structures with 200–500 nm in length and 10–20 nm in width. They originated from the same source reported by Wang et al. [24].

2.2. Preparation of CNW Suspensions in Different Solvents

CNWs were suspended in pure ethanol and pure acetone using a rotary evaporation technique, following a standardized two-cycle protocol to promote dispersion while minimizing aggregation. For ethanol-based suspensions (denoted as CE), 300 g of ethanol was added to the CNW powder and subjected to rotary evaporation at 80 °C. Evaporation was continued until CNWs began adhering to the inner wall of the flask. This indicated partial solvent removal and increased viscosity. At this point, a second 300 g portion of ethanol was added, and the evaporation process was repeated under the same conditions. Acetone-based suspensions (denoted as CA) were fabricated following an identical procedure, with rotary evaporation performed at 60 °C for each of the two 300 g cycles. This two-step addition approach was critical to avoid excessive initial solvent volume, which can hinder evaporation efficiency and promote CNW aggregation due to their polar nature. The staged evaporation also prevented overheating, ensured controlled solvent removal, and minimized the risk of condenser flooding or solvent boil-over.
For CNW samples in a combination of ethanol/acetone (denoted as CEA), a stepwise protocol designed to promote dispersion and minimize aggregation was used. Initially, the CNW-ethanol suspension was heated to 60 °C until a visible increase in viscosity indicated partial solvent removal and enhanced particle interaction. Acetone was then introduced at a 2:1 wt. ratio (acetone:CNW) under continued stirring and heating. The resulting mixture was ultrasonicated at 25 Hz for less than 5 min to disrupt agglomerates, followed by mild heating at 40 °C. After a 5 min decanting period, acetone was added again at a 10:1 wt. ratio relative to CNW under stirring at 60 °C. A second ultrasonication step was conducted under the same conditions, followed by another round of mild heating and decanting. A final acetone addition (10:1 wt. ratio) was carried out under continued heating and stirring at 60 °C until a final CNW concentration of 5 wt.% in the suspension medium was achieved.
For CNW samples in a combination of ethanol/acetone/MEK suspensions (denoted as CEAM), the CEA procedure outlined above was followed with the addition of two final steps. After the last acetone addition and heating cycle, the suspension was further heated to evaporate approximately 10 wt.% of the solvent mixture. Subsequently, MEK was added at 15 wt.% relative to the solvent mass, and the suspension was again heated to allow partial evaporation until the CNW concentration returned to 5 wt.% in the final ternary mixture. This modification aimed to leverage the volatility and polarity balance of MEK to improve CNW dispersion stability and solvent compatibility with polyester resin systems.

2.3. Preparation of UPR-CNW

A 5 wt.% CNW suspension was ultrasonicated at 24.45 kHz for 10 min to reduce agglomeration and promote uniform dispersion. Precise amounts of the CNW suspension were then incorporated into UPR and stirred thoroughly. The resulting mixtures were heated to evaporate the suspension medium. Systems containing ethanol and/or MEK were heated at 80 °C for approximately 45 min, while suspensions containing only ethanol were heated at 60 °C. Solvent removal was monitored by periodic weighing of the mixtures. Following solvent evaporation, the mixtures were degassed, cured using methyl ethyl ketone peroxide (MEKP), and cast into moulds for further testing.

2.4. Morphological Characterization of UPR and CNW-UPR Nanocomposites

Scanning electron microscopy (SEM) (Vega 3, from Tescan, Brno, Czech Republic) was used to examine the surface morphology, nanoparticle dispersion, and fracture characteristics of the commercial UPR and CNW samples. The samples were cold fractured and mounted on aluminum stubs using conductive carbon tape and subsequently sputter-coated with a thin layer of gold (Desk V, from Denton, Moorestown, NJ, USA) using plasma deposition under an argon gas atmosphere. A thin layer of conductive carbon tape was applied along the sides of the specimens. The samples were viewed at 30.0 kV.

2.5. Thermal Analyses of UPR and CNW-UPR Nanocomposites

Differential scanning calorimetry (DSC) (Discovery DSC 250, from TA Instruments, New Castle, DE, USA) was used to characterize the glass transition and characteristic temperatures related to other endothermic reactions. This was done by analyzing the heat flow through the samples as a function of temperature. A total of five replicate samples were prepared and tested for each condition. The samples were ground into powders and sieved using an 80-grade mesh and were placed in a Tzero® (TA Instruments) aluminum pan that was loaded into the DSC chamber. The samples were equilibrated at 35 °C before heating to 400 °C at a rate of 10 °C/min.
Thermogravimetric analysis (TGA) (TGA 55, from TA Instruments) was used to characterize the composition and thermal stability of the synthesized and commercial UPRs. This was done by analyzing the weight difference and change in the samples as a function of temperature. A total of five replicate samples were prepared and tested for each condition. The samples were ground into powders and sieved using an 80-grade mesh and were placed on an aluminum pan. The samples were equilibrated at 35 °C before a heating rate of 20 °C/min was applied to heat the samples to 600 °C while the furnace was purged under a nitrogen medium.

2.6. Mechanical Testing of UPR and CNW-UPR Nanocomposites

Tensile testing of the samples was performed in accordance with ASTM D638, Standard Test Method for Tensile Properties of Plastics [30], using Type IV specimens designed for small plastic samples. Platinum silicone moulds conforming to the ASTM D638 Type IV geometry were procured from MB Prototyping Ltd., and the samples were cast in the moulds. following the manufacturer’s specifications. After curing, the specimens were carefully sanded with 400-grit sandpaper in accordance with specifications and conditioned under standard room conditions (i.e., 23 °C) for 72 h as per ASTM D618 [31]. Mechanical testing was conducted on a linear-torsion dynamic test instrument (ElectroPuls E3000, from INSTRON, Norwood, MA, USA) at a crosshead speed of 5 mm/min, with eight specimens tested for each composition.
Adhesive strength and failure mode were evaluated in accordance with ASTM D1002, Standard Test Method for Apparent Shear Strength of Single-Lap-Joint Adhesively Bonded Metal Specimens by Tension Loading (Metal-to-Metal) [32]. Samples were prepared and cured following the specifications and applied to the bonding area under standard laboratory conditions. The samples were then allowed to cure under laboratory conditions in accordance with ASTM D618 [31]. Cold-rolled 2024 aluminum alloy sheets with T3 temper treatment, procured from McMaster-Carr, served as the substrates and were cut to the required dimensions. The substrates were cleaned of debris using precision wipes before bonding. The adhesive tests were conducted using a linear-torsion dynamic test instrument (ElectroPuls E3000, from INSTRON, Norwood, MA, USA). Shims were added to the substrates in the grip area to compensate for grip misalignment, thereby suppressing bending moments caused by eccentric loading and promoting a more uniform shear stress distribution across the bonded area.

3. Results

Ethanol was utilized as the suspension medium to evaluate the effect of increasing chitin content on the resin, as the commercially supplied CNWs were initially processed using an ethanol-based method developed for epoxy systems. This approach was adopted here to determine the compatibility with polyester resin using current commercial processes.

3.1. Characterization of CNW-Incorporated Resin

3.1.1. Chemical Interactions and Functional Groups

Figure 1 presents the FTIR spectra of ethanol-suspended CNWs, highlighting both solvent and CNW-related functional groups. The spectra observed exhibit characteristic ethanol peaks, including a broad O-H stretching band at 3300–3400 cm−1, C-H stretching at 2964 cm−1, C-H bending at 877 cm−1, and a notable C-O stretching band at 1041 cm−1. CNWs suspended in ethanol demonstrate a broad absorption band from 3600 to 3100 cm−1, attributed to overlapping O-H and N-H stretching vibrations associated with hydroxyl and amine functionalities. As CNW loading increases, the ethanol introduced into the resin system increases, respectively, due to the higher suspension volume. This increase in hydroxyl-rich solvent content is correlated with the enhanced transmittance peak at 1579 cm−1, corresponding to the symmetric and asymmetric stretching vibrations of carboxylate groups (COO), suggesting progressive hydrolytic degradation of the polyester matrix.

3.1.2. Morphological Properties

Figure 2a,b present the SEM micrographs, revealing the morphology of CNWs in a dry powder state and the cold-fracture surface of the neat resin as a baseline for comparison. SEM micrographs of CNW powder indicate agglomeration of varying sizes. Some degree of agglomeration is expected due to strong intermolecular interactions (e.g., hydrogen bonding). Consequently, individual whisker-like structures were not observed; instead, CNWs formed dense aggregates in powder form. Such agglomeration underscores a persistent challenge in CNW processing, as clustering diminishes their effectiveness as reinforcing fillers. Achieving uniform dispersion within the polyester matrix, therefore, requires additional processing strategies, including surface modification, ultrasonication, or the use of carefully selected suspension media. The heterogeneous clustering observed also suggests the formation of localized stress concentrators, which may serve as initiation sites for crack propagation under load. Furthermore, agglomeration reduces the effective interfacial surface area available for bonding with the polyester resin, thereby limiting reinforcement potential.
Figure 3a–d illustrate SEM micrographs of cryo-fractured surfaces of CNW-reinforced polyester resin at loadings of 0.25–1.00 wt.% using ethanol as the suspension medium. At 0.25 wt.% CNW, dispersion was relatively uniform with minor clustering; however, small agglomerates were present. At 0.50 wt.%, the fracture surface exhibited increased roughness with microcracks and microvoids likely associated with dislodged particles during fracture, reflecting partial reinforcement but limited interfacial adhesion. At 0.75 wt.%, large agglomerates became dominant, introducing structural heterogeneity and further suppressing effective stress transfer. At 1.00 wt.%, pronounced voids were observed with CNWs lodged inside, highlighting poor filler-matrix interfacial adhesion at higher loadings. Collectively, these observations demonstrate CNW agglomeration intensifying with increasing filler loading, producing stress concentration sites and microvoids that undermine the thermomechanical performance of the nanocomposite.

3.1.3. Thermal Analysis

Differential scanning calorimetry (DSC) was employed to examine the impact on thermal behaviour based on CNW loading in increments of 0.25 wt.% CNW up to 1.00 wt.% CNW loading. DSC analysis reveals a progressive increase in glass transition temperature (Tg) with CNW additions up to 0.75 wt.% CNW, with the maximum Tg improvement of 19.4% reached at 0.50 wt.% CNW loading, as evident in Figure 4 and Figure 5. This enhancement suggests that CNWs at moderate loadings improve the thermal rigidity of the polyester matrix, likely due to their ability to form hydrogen bonds and to restrict polymer chain mobility. However, further increase in CNW loading beyond 0.75 wt.% results in a notable decline in Tg, indicating that excessive CNWs may introduce defects, agglomeration, or interfere with crosslinking, thereby diminishing thermal performance. In addition to Tg behaviour, all samples exhibited a distinct endothermic peak of the commercial polyester resin. This peak became more prominent and shifted to lower onset temperatures with increasing CNW content. This endothermic peak most likely associated with chain scission-related endothermic behaviour as the resin begins to thermally degrade during heating. This peak became more prominent and shifted to lower onset temperatures with increasing CNW content. The trend is consistent with hydrolysis facilitated by residual ethanol in the CNW suspension medium. As ethanol contains hydroxyl free radicals, these may promote chain scission in the polyester network, leading to the formation of lower-molecular-weight species. At higher CNW loading, more suspension medium (i.e., ethanol) was introduced into the system. The larger and earlier onset temperature of the endothermic response likely reflects ethanol-induced partial degradation of polymer chains.
Thermogravimetric analyses (TGA) in Figure 6 revealed a consistent decline in the onset temperature of thermal degradation with increasing CNW content, indicating a reduction in the thermal stability of the polyester resin matrix. This reduction is closely linked to the chemical functionality of CNWs, which possess abundant surface hydroxyl and amine groups. Concentrations of these functional groups can facilitate hydrolysis of ester bonds in the polyester backbone, particularly under thermal exposure, thereby accelerating chain scission processes and destabilizing the polymer matrix. The trend observed in the thermographs is consistent with FTIR data, which revealed heightened transmittance in absorption bands associated with hydrolysis byproducts. DSC supported these findings, showing a corresponding shift in endothermic transitions toward lower temperatures with increasing CNW loading. At elevated CNW concentrations, the likelihood of nanoparticle agglomeration increases, potentially introducing microstructural defects and stress concentration sites. These sites not only promoted earlier thermal failure but also caused chain scission via thermal or mechanical pathways. Additionally, thermal decomposition of the CNWs themselves may release small molecules or volatiles that interfere with crosslinking reactions or degrade polymer chain integrity, further diminishing the composite’s thermal resistance.

3.1.4. Mechanical Properties

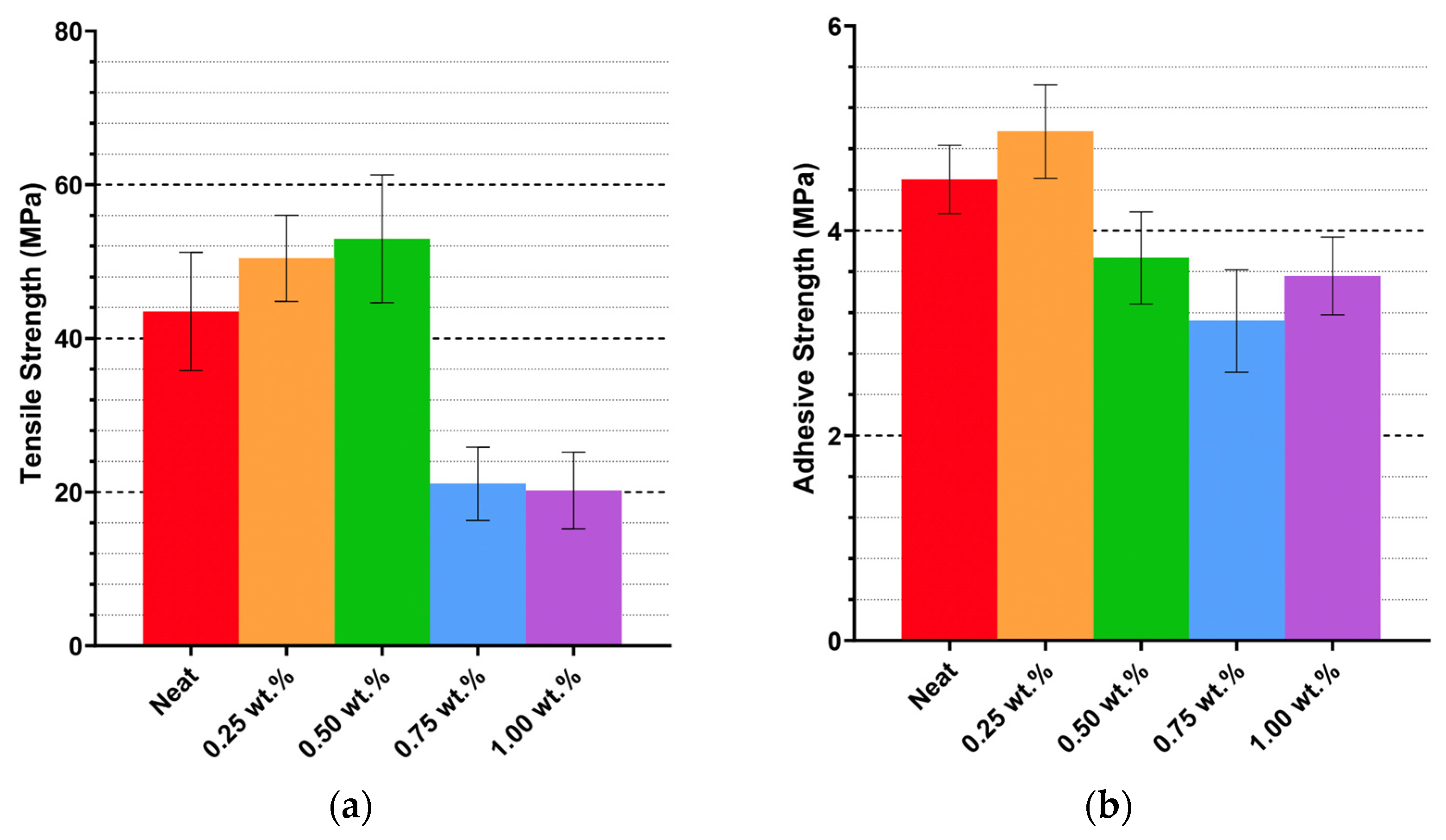
As shown in Figure 7, tensile tests revealed that incorporating CNWs into commercial polyester resin significantly enhanced the mechanical performance up to 0.50 wt.% as the most optimal loading. Additional CNW concentrations beyond 0.50 wt.% loading induced a decline in performance The neat resin exhibited a tensile strength of 43.51 MPa with improvements to 52.96 MPa. The improvement is attributed to the high strength of CNWs and their ability to form a reinforcing network within the polymer matrix. These networks promote efficient stress transfer and delay failure. At 0.25 wt.% CNW, a 15.9% increase in tensile strength was observed. The adhesive performance demonstrated a non-linear response to CNW loading, with improvements limited to 0.25 wt.% loading. The neat resin improved from 4.50 MPa to 4.97 MPa, indicating improved interfacial bonding at low CNW concentrations. However, higher loadings resulted in decreased adhesive strength, with a minimum of 3.12 MPa at 0.75 wt.% loading. This decline is likely due to CNW agglomeration, poor dispersion, and residual ethanol effects, which further introduce interfacial defects and reduce cohesive integrity. Moreover, a combination of adhesive and cohesive failure modes was observed across all samples.
The elongation at break, as noted in Table 1, improved with CNW addition, indicating improved ductility and strain tolerance. The neat resin fractured at 2.55 mm, while the elongation nearly doubled to 5.08 mm at 0.50 wt.% CNW. Beyond this threshold, the elongation values plateaued, suggesting a saturation point at which additional CNWs do not further improve the strain capacity. These findings support the role of CNWs as effective stress-transfer bridges that improve energy absorption and resilience under load.

3.2. Effect of Thermal Processing on CNWs in Ethanol

An analysis was performed to evaluate how thermal processing conditions exhibited on the CNW-UPR resin slurry influenced the structure of the nanocomposite. Because elevated temperatures may induce secondary reactions and chain scission, comparing the neat and CNW-reinforced samples under controlled heating provides insight into the role of thermal history on resin stability and filler-matrix interactions. Three samples were compared. These include neat samples without heating, samples heated at 80 °C for 45 min, and samples heated at 60 °C for 1.5 h. The heating condition at 80 °C was selected because it aligns with the boiling point of ethanol, which serves as the baseline suspension medium from prior studies on incorporating CNW in epoxy systems. The 60 °C condition represented a reduced-temperature alternative, applied for a longer duration to evaluate the effect of milder heating. The heating durations of 45 min and 1.5 h correspond to the average processing times used across the tests.

3.2.1. Effects of Thermal History on the Thermal Properties of Neat Bondo PE Resin and CNW-PE Nanocomposites

DSC illustrated in Figure 8 indicated minimal variation in Tg of unheated samples, samples heated at 80 °C for 45 min, and samples heated at 60 °C for 1.5 h, with values of 142.0 °C, 141.2 °C, and 139.9 °C, respectively. These small differences indicated that the polyester matrix remained thermally stable under the applied processing conditions. In contrast, the 0.25 wt.% CNW-reinforced UPR samples exhibited more pronounced changes in Tg depending on thermal treatment. The unheated sample, which retained ethanol from the suspension medium, displayed the highest Tg at 162.0 °C. Heating at 80 °C for 45 min produced a comparable Tg of 163.2 °C, while extended heating at 60 °C for 1.5 h significantly reduced Tg to 150.1 °C. This suggested that short, higher-temperature heating effectively removed residual ethanol while preserving CNW–UPR matrix interactions, whereas prolonged heating at lower temperatures may have promoted material degradation.
Thermal history also strongly influenced the presence of a secondary endothermic peak. In neat UPR samples, the peak appeared at 321.0 °C in the unheated sample but shifted downward to approximately 255 °C after both heating treatments. In contrast, CNW-reinforced samples showed the opposite trend. The unheated sample exhibited a peak at 232.6 °C, which increased progressively to 294.4 °C and 276.9 °C with thermal treatment of at 80 °C for 45 min and 60 °C for 1.5 h, respectively. This behaviour suggested that ethanol in the unheated composite may have facilitated hydrolysis or disrupted crosslinking, while thermal processing reduced the amount of solvent and yielded a more stable composite network.
Figure 9 presents TGA results, highlighting the effect of thermal processing on the degradation onset temperature of neat and 0.25 wt.% CNW-reinforced polyester resins. For the neat resin, the onset temperature decreased from 343.5 °C (unheated) to 326.7 °C after 45 min at 80 °C and to 325.9 °C after 90 min at 60 °C, indicating that thermal exposure reduced thermal stability. In contrast, CNW-reinforced samples showed greater variation. The unheated ethanol-containing resin degraded at 323.3 °C but improved to 342.2 °C after heating 45 min at 80 °C, suggesting removal of residual solvent enhanced stability. However, extended heating at 60 °C lowered the onset temperature to 315.1 °C, consistent with hydrolytic effects that reduced resistance to degradation. Overall, these results demonstrate that short-duration, high-temperature treatment improves thermal stability in CNW systems by promoting solvent removal, whereas prolonged low-temperature exposure accelerates degradation.

3.2.2. Impact of Heat on the Mechanical Properties of Neat Bondo PE Resin and CNW-UPR Nanocomposites

Tensile testing was performed to assess the effect of thermal processing on neat and 0.25 wt.% CNW-reinforced polyester resin systems. The results are presented in Figure 10 and Table 2. For the neat resin, tensile strength decreased markedly with heating, from 43.5 MPa (unheated) to 33.0 MPa after 45 min at 80 °C, and further to 25.9 MPa after 90 min at 60 °C. Similarly, the elastic modulus declined from 12.1 to 10.2 MPa, while elongation at break decreased from 2.55 to 1.66 mm, indicating increased brittleness due to thermal softening and possible matrix degradation. In contrast, CNW-reinforced samples exhibited enhanced performance under controlled heating. The highest tensile strength (50.4 MPa) was observed after 45 min at 80 °C, compared to 38.6 MPa for the unheated resin containing residual ethanol and 36.9 MPa for the 90 min/60 °C condition. The elastic modulus peaked at 11.0 MPa under the 80 °C treatment, while ductility was maintained at moderate levels. This suggests that short-duration, high-temperature processing facilitated improved CNW dispersion and load transfer without inducing substantial degradation, whereas prolonged heating diminished reinforcement effectiveness. Overall, these results demonstrate that thermal exposure has opposing effects: neat resin undergoes progressive embrittlement and strength loss, while CNW-reinforced systems benefit from controlled heating, which enhances dispersion and mechanical performance.

3.3. Effects of Utilizing Various Suspension Media to Incorporate CNW in Commercial Resin

To assess the role of suspension media on CNW dispersion in polyester resin, formulations were prepared at a fixed loading of 0.25 wt.%, previously identified as optimal for enhancing properties while limiting thermal effects. The media investigated included ethanol (CE25), acetone (CA25), an ethanol/acetone blend (CEA25), and an ethanol/acetone/MEK blend (CEAM25), alongside a direct-incorporation sample without solvent (CP25).

3.3.1. Chemical Interactions and Functional Groups

Figure 11 presents the FTIR spectra of the commercial polyester resin and CNW-reinforced resin samples prepared using various suspension media. The neat polyester resin exhibited characteristic absorption bands, including C–H stretching of aliphatic groups at ~2950 cm−1, arising from both the polyester backbone and styrene diluent. A sharp band at 1718 cm−1 corresponded to ester carbonyl stretching, confirming the polyester backbone, while aromatic styrene structures were identified by C=C stretching vibrations between 1400–1600 cm−1 and =C–H bending vibrations at 700–710 cm−1 and 730–750 cm−1, indicative of mono- and disubstituted benzene rings, respectively.
For CNW-reinforced samples, sharper absorptions near 1715 cm−1 were observed, overlapping with the polyester carbonyl band and suggesting traces of residual ketone solvents. Acetone-processed samples exhibited an additional medium-intensity band at 1375 cm−1 and a broader C–H stretch at 2940–2960 cm−1, consistent with acetone-related features. Similarly, CEAM25 samples displayed a broad band between 2930 and 2960 cm−1, attributed to carbonyl and methyl/ethyl C–H stretching, suggesting incomplete solvent removal or modified resin–CNW interactions. Solvent effects were also evident in the aromatic region, where styrene-associated absorptions near 700–740 cm−1 appeared more intense in acetone and MEK-based systems. Importantly, no absorption at 1800 cm−1 was detected in any sample, confirming the absence of high-energy carbonyl groups. This indicates that the resin was well cured and that solvent processing or CNW incorporation did not induce significant degradation or hydrolysis.

3.3.2. Morphology and Dispersion

SEM micrographs of UPR samples containing 0.25 wt.% CNWs prepared with different suspension strategies are shown in Figure 3a and Figure 12a–d. The ethanol-based system (Figure 3a) exhibited a relatively smooth fracture surface with small agglomerates, suggesting partial dispersion. While clusters were minimized, the overall morphology reflected brittle fracture with limited crack deflection. The ethanol/acetone system (CEA25, Figure 12a) revealed larger, unevenly distributed clusters that likely acted as stress concentrators, promoting localized crack initiation despite a somewhat rougher surface than ethanol alone.
The ethanol/acetone/MEK system (CEAM25, Figure 12b) displayed a more complex morphology characterized by both clusters and microvoids, with the latter attributed to CNWs being dislodged during fracture. This implies that although the co-solvent mixture enhanced dispersion relative to CEA25, weak interfacial bonding limited reinforcement. The acetone-based sample (CA25, Figure 12c) showed pronounced ridges and parallel crack paths, suggesting marginally improved dispersion, though visible clusters still indicated poor interfacial adhesion. In contrast, direct incorporation without a suspension medium (CP25, Figure 12d) resulted in severe agglomeration and large microvoids where compact clusters detached during fracture. These defects acted as preferential crack propagation sites, severely reducing structural integrity.
Overall, the comparison highlights the critical role of solvent choice in governing CNW dispersion and fracture morphology. Ethanol yielded smaller clusters but brittle fracture; ethanol/acetone promoted rougher surfaces but poor distribution; the ternary system introduced microvoids from weak interfacial adhesion; acetone showed modest improvement in fracture patterning; and direct incorporation produced the poorest dispersion. These results confirm the necessity of solvent-assisted dispersion strategies to minimize stress concentrators and improve CNW–polyester composite performance.

3.3.3. Thermal Analysis

Figure 13 presents DSC thermograms of CNW-reinforced polyester resin systems prepared with various suspension media. All samples exhibited a Tg, with the neat resin showing 163.17 °C. Among the reinforced systems, CEA25 displayed a Tg of 154.54 °C, CEAM25 153.79 °C, CA25 150.91 °C, and CP25 the highest Tg at 181.02 °C. These results indicate that CNW incorporation enhances thermal stability, while the suspension medium influences polymer–nanoparticle interactions and dispersion quality. Ethanol-based suspensions appear to promote stronger interactions or better dispersion compared to acetone- or MEK-containing systems. A characteristic endothermic peak was observed around 300 °C in neat resin and select ethanol-containing samples (CE25 and CEA25), likely associated with residual solvent interactions, partial hydrolysis, or dispersion-induced molecular rearrangements. This peak was absent in CEAM25, CA25, and CP25, suggesting that MEK or rapid solvent removal suppressed these effects, and that direct CNW incorporation without a solvent (CP25) preserves the inherent thermal stability of the resin. These findings demonstrate that both CNW addition and the choice of suspension medium significantly affect the thermal transitions and overall stability of polyester resin systems, with solvent-assisted processing introducing additional molecular interactions that modify the DSC response.

3.3.4. Mechanical Properties

Figure 14 presents the tensile and adhesive strength of CNW-reinforced PE resin composites prepared using different suspension media, providing insight into the combined effects of nanoparticle dispersion and interfacial bonding with the resin matrix. The neat UPR exhibited a tensile strength of 43.51 MPa and a strain at failure of 3.5 mm/mm. Incorporation of CNWs dispersed in ethanol (CE25) enhanced the tensile strength to 50.43 MPa and strain at failure to 3.7 mm/mm, suggesting improved load transfer and slightly enhanced ductility. The highest performance was observed in CEAM25, which achieved 51.68 MPa, indicating both strong interfacial bonding and uniform dispersion. In contrast, CEA25 demonstrated reduced tensile strength, with a value of 35.39 MPa despite a moderate strain increase to 4.0 mm/mm, likely due to incomplete dispersion. CA25 exhibited the lowest tensile strength of 22.63 MPa and a slightly reduced ductility of 3.4 mm/mm, consistent with agglomeration and poor CNW integration. CP25 achieved 48.80 MPa, comparable to CE25 and CEAM25, but with a lower strain at failure (3.6 mm/mm), reflecting increased stiffness at the expense of toughness. The absence of solvent processing in CP25 limited interfacial adhesion, restricting stress transfer and leading to premature fracture. Adhesive performance, measured using a single-lap shear test, is summarized in Figure 14b. The neat resin exhibited a baseline adhesive strength of 4.5 MPa. Among the CNW-reinforced UPR systems, only CE25 improved adhesive strength (4.97 MPa), reflecting strong interfacial compatibility and dispersion of CNWs in ethanol. In contrast, CEA25 (3.30 MPa), CA25 (3.67 MPa), and CEAM25 (2.52 MPa) showed reductions, indicating that solvent mixtures enhancing bulk tensile and elongation properties may simultaneously compromise adhesive bonding. CP25 (2.96 MPa) also underperformed, likely due to poor dispersion and weak interfacial adhesion in the absence of solvent-assisted mixing. Despite variations in strength, all samples exhibited mixed adhesive/cohesive failure modes, indicating that the suspension medium primarily affected interfacial strength rather than altering the fundamental failure mechanism. Overall, ethanol emerged as the most effective suspension medium, yielding balanced improvements in both tensile and adhesive properties.

4. Discussion

The results presented in the previous section are discussed to evaluate the role of CNWs and suspension media on the performance of PE nanocomposites. The findings reveal a complex balance between chemical interactions, dispersion, thermal stability, and mechanical performance. Ethanol, employed as the baseline suspension medium due to its established use in CNW-epoxy systems, which enabled direct comparison of CNW compatibility with polyester matrices. Subsequent evaluation of thermal processing conditions and alternative suspension media further clarified the mechanisms governing performance and identified both opportunities and limitations of CNW incorporation in polyester resin.

4.1. Chemical Interactions and FTIR Analysis

FTIR results suggest that CNWs introduce both reinforcing and potentially degradative effects depending on their concentration and the associated suspension medium. Low to moderate CNW loadings promote interactions between the hydroxyl- and amine-rich surfaces of CNWs and the UPR matrix, restricting chain mobility and improving composite rigidity. However, increasing CNW content also increases the amount of ethanol introduced, which promotes hydrolysis of ester bonds in the polymer network, as indicated by the growth of carboxylate-related absorption bands. This trend implies a balance exists between hydrogen bonding at the filler-matrix interface and solvent-mediated degradation. Agglomeration observed in SEM micrographs reinforces this conclusion, as clustered CNWs reduce effective interfacial contact, potentially acting as stress concentrators and limiting chemical reinforcement.
The choice of suspension medium further modulates chemical interactions. Ethanol-based systems provided relatively uniform dispersion with minor clustering, preserving matrix–filler interactions. Mixed solvents (CEA25 and CEAM25) altered FTIR spectra, suggesting residual solvent interactions or incomplete removal, which may modify bonding between the CNWs and PE resin. Direct incorporation without a solvent enhanced agglomeration, confirming that solvent-assisted dispersion is critical for maintaining interfacial compatibility. Overall, the chemical data indicate that CNW reinforcement is optimized at low CNW loadings with carefully selected suspension media to minimize solvent-induced hydrolysis while maximizing hydrogen-bond interactions.

4.2. Thermal Behaviour

Thermal analysis demonstrates that CNWs can enhance polymer rigidity and Tg at moderate loadings but introduce structural weaknesses at higher concentrations. DSC data indicate that Tg increases with CNW additions up to 0.50–0.75 wt.%, reflecting restricted chain mobility from hydrogen bonding. Beyond this threshold, Tg declines, suggesting that excessive CNWs cause agglomeration and disrupt network homogeneity, which diminishes thermal reinforcement. The emergence of earlier and more prominent endothermic peaks with increasing CNW loading, along with TGA results showing reduced degradation onset, confirms that hydrolysis and molecular fragmentation occur in ethanol-containing systems, compromising stability. At higher CNW loadings, the reduction in degradation onset can be attributed to the formation of CNW agglomerates that introduce thermally weak regions within the matrix. These clusters create localized regions that heat more rapidly and initiate chain scission earlier when compared to the surrounding polymer network. Moreover, the increased amount of hydroxyl groups of the CNWs promotes moisture retention and accelerates the hydrolysis of ester bonds, contributing to the accelerated thermal breakdown.
Thermal history interacts with CNW presence to further modulate behaviour. Short-duration, high-temperature heating removes residual ethanol, preserving matrix–filler interactions and improving thermal stability, as evidenced by increased degradation onset and higher Tg in CNW-reinforced samples. In contrast, prolonged low-temperature heating exacerbates hydrolytic effects, lowering both Tg and degradation onset. These findings indicate that thermal processing can either mitigate or amplify solvent-related degradation, highlighting the importance of controlled heating protocols to optimize CNW dispersion and thermal performance.
Suspension medium choice also influences thermal behaviour. Using ethanol as the suspension medium exhibit moderate Tg increases and the appearance of residual solvent-associated endothermic peaks, while direct incorporation without solvent preserves inherent resin stability. Mixed solvent systems show more complex interactions that can either enhance or compromise Tg, indicating that solvent selection must balance dispersion efficiency with the risk of thermal instability.

4.3. Mechanical Properties

Mechanical testing reveals that CNWs improve tensile strength and ductility at optimal low-to-moderate CNW loadings, while higher concentrations lead to performance declines. Tensile strength peaked at 0.50 wt.% CNW, corresponding with SEM observations of relatively uniform dispersion and limited clustering, which facilitate efficient load transfer. Agglomeration at higher loadings introduces microvoids and stress concentrators, reducing reinforcement efficiency. Elongation at break similarly improved at moderate loadings, indicating that CNWs act as effective stress-transfer bridges, enhancing energy absorption and resilience under load. Beyond 0.50–0.75 wt.%, elongation plateaus, reflecting saturation of reinforcement potential.
Adhesive performance is more sensitive to CNW dispersion and solvent effects. Ethanol-assisted incorporation (CE25) improved lap shear strength relative to neat resin, suggesting that well-dispersed CNWs enhance interfacial bonding. In contrast, mixed solvent systems and direct CNW incorporation generally reduced adhesive strength, indicating that bulk improvements in tensile properties may not translate to adhesive performance. Residual solvent and agglomeration appear to generate weak points within the adhesive layer, compromising cohesive integrity. Thermal processing further modulates mechanical outcomes: controlled short-duration heating improves CNW dispersion and tensile performance, whereas prolonged heating diminishes reinforcement due to hydrolysis and agglomeration effects.
Overall, the mechanical and adhesive data indicate that CNWs are effective reinforcements when dispersion is controlled, solvent choice is appropriate, and thermal processing is optimized. Ethanol-assisted dispersion at 0.25–0.50 wt.% loading, combined with brief high-temperature heating, provides the most balanced enhancement of both tensile and adhesive properties.

5. Conclusions

At low to moderate loadings (0.25–0.50 wt.%), CNWs effectively enhanced the polyester matrix by forming hydrogen-bonded interfacial networks that restricted chain mobility and improved tensile strength, ductility, and thermal stability. Optimal reinforcement was observed at 0.50 wt.% CNW, achieving a 19.4% increase in glass transition temperature and a 21.7% improvement in tensile strength compared to the neat resin. However, higher loadings (>0.75 wt.%) led to agglomeration, void formation, and diminished interfacial adhesion, which collectively reduced the thermal and mechanical stability of the composite.
The choice of suspension medium emerged as a critical factor in controlling dispersion and interfacial bonding. Ethanol proved to be the most effective medium, yielding well-dispersed CNWs and balanced improvements in both tensile and adhesive strength. In contrast, mixed solvent systems (ethanol/acetone and ethanol/acetone/MEK) introduced residual solvent interactions that modified the chemical and thermal behaviour of the resin, while direct incorporation without a solvent resulted in severe agglomeration and poor performance. These findings emphasize that solvent-assisted dispersion is essential to maintaining interfacial compatibility and minimizing structural defects. Thermal processing further influenced the properties of nanocomposite. Short-duration heating at 80 °C for 45 min enhanced mechanical strength and thermal stability by promoting solvent removal and improving CNW dispersion. In contrast, prolonged exposure at lower temperatures (60 °C for 1.5 h) accelerated hydrolysis and chain scission, reducing performance. This demonstrates that controlled heat treatment is necessary to optimize nanocomposite formation while preventing solvent-induced degradation.
Overall, this work establishes a framework for incorporating bio-based nanofillers into commercial polyester adhesives using solvent-assisted dispersion techniques. The results confirm that CNWs can reinforce polyester resins when properly dispersed and processed, offering a sustainable pathway to enhance performance in automotive and structural adhesive applications. Future work should explore solvent-free or surface-modified CNW systems to further improve compatibility and long-term stability while advancing the sustainable use of bio-derived nanoparticles in polymer composites.

Author Contributions

Conceptualization, A.G., N.R.H. and S.N.L.; methodology, N.R.H. and S.N.L.; software, N.R.H.; validation, N.R.H. and S.N.L.; formal analysis, N.R.H.; investigation, N.R.H.; resources, A.G., S.K. and S.N.L.; data curation, N.R.H.; writing—original draft preparation, N.R.H.; writing—review and editing, S.N.L.; visualization, N.R.H.; supervision, S.N.L.; project administration, S.N.L.; funding acquisition, S.N.L. All authors have read and agreed to the published version of the manuscript.

Funding

This work was funded by the Natural Sciences and Engineering Research Council of Canada (NSERC), RGPIN-2022-04566.

Data Availability Statement

The original contributions presented in this study are included in the article. Further inquiries can be directed to the corresponding author.

Acknowledgments

The authors gratefully acknowledge the Natural Sciences and Engineering Research Council of Canada (NSERC) for providing funding support and Neptune Nanotechnologies Inc. for generously supplying the chitin materials used in this study.

Conflicts of Interest

Author Aaron Guan and Saraswati Koul were employed by the company Neptune Nanotechnologies Inc. The remaining authors declare that the research was conducted in the absence of any commercial or financial relationships that could be construed as a potential conflict of interest.

Abbreviations

The following abbreviations are used in this manuscript:
CNWChitin nanowhisker
UPRUnsaturated polyester resin
PEPolyester
MEKMethyl ethyl ketone
MEKPMethyl ethyl ketone peroxide
FTIRFourier transform infrared spectroscopy
SEMScanning electron microscopy
DSCDifferential scanning calorimetry
TGAThermogravimetric analysis
TgGlass transition temperature

References

  1. Charles, A.; Wilkie, A.B.M. Fire Retardancy of Polymeric Materials, 2nd ed.; CRC Press: Boca Raton, FL, USA, 2000. [Google Scholar]
  2. Guo, W.; Zhao, Y.; Wang, X.; Cai, W.; Wang, J.; Song, L.; Hu, Y. Multifunctional epoxy composites with highly flame-retardant and effective electromagnetic interference shielding performances. Compos. Part B Eng. 2020, 192, 107990. [Google Scholar] [CrossRef]
  3. Robinson, P.; Greenhalgh, E.; Pinho, S. Failure Mechanisms in Polymer Matrix Composites: Criteria, Testing and Industrial Applications; Woodhead Publishing: Cambridge, UK, 2012. [Google Scholar]
  4. Liu, Q.; Wang, D.; Li, Z.; Li, Z.; Peng, X.; Liu, C. Recent developments in the flame-retardant system of epoxy resin. Materials 2020, 13, 2145. [Google Scholar] [CrossRef]
  5. Chan, K.; Quang, D.; Demir, B.; Yang, D.; Mayes, E.L.H.; Mouritz, A.P.; Ang, A.S.M.; Fox, B.; Lin, H.; Jia, B.; et al. Graphene oxide thin film structural dielectric capacitors for aviation static electricity harvesting and storage. Compos. Part B 2020, 201, 108375. [Google Scholar] [CrossRef]
  6. Zhang, N.; Hou, X.; Cui, X.; Chai, L.; Li, H.; Zhang, H.; Wang, Y.; Deng, T. Amphiphilic catalyst for decomposition of unsaturated polyester resins to valuable chemicals with 100% atom utilization efficiency. J. Clean. Prod. 2021, 296, 126492. [Google Scholar] [CrossRef]
  7. Huang, B.-Z.; Zhao, L.-J. Bridging and toughening of short fibers in SMC and parametric optimum. Compos. Part B Eng. 2012, 43, 3146–3152. [Google Scholar] [CrossRef]
  8. Kandelbauer, A.; Tondi, G.; Zaske, O.C.; Goodman, S.H. Unsaturated polyesters and vinyl esters. In Handbook of Thermoset Plastics, 3rd ed.; Goodman, S.H., Ed.; William Andrew Publishing: Boston, MA, USA, 2014; pp. 111–172. [Google Scholar]
  9. Zhang, Z.; Zhang, H.; Liu, T.; Lv, W. Study on the micro-mechanism and structure of unsaturated polyester resin modified concrete for bridge deck pavement. Constr. Build. Mater. 2021, 289, 123174. [Google Scholar] [CrossRef]
  10. Bing, N.; Yang, J.; Gao, H.; Xie, H.; Yu, W. Unsaturated polyester resin supported form-stable phase change materials with enhanced thermal conductivity for solar energy storage and conversion. Renew. Energy 2021, 173, 926–933. [Google Scholar] [CrossRef]
  11. Singh, M.; Kadian, S.; Manik, G. Polymers in adhesive applications. In Reference Module in Materials Science and Materials Engineering; Elsevier: Amsterdam, The Netherlands, 2021. [Google Scholar]
  12. Mordor Intelligence. Adhesives Market Size & Share Analysis—Industry Research Report—Growth Trends. Available online: https://www.mordorintelligence.com (accessed on 24 May 2025).
  13. Sreenivasan, V.S.; Ravindran, D.; Manikandan, V.; Narayanasamy, R. Mechanical properties of randomly oriented short Sansevieria cylindrica fibre/polyester composites. Mater. Des. 2011, 32, 2444–2455. [Google Scholar] [CrossRef]
  14. Martinez-Barrera, G.; Espinosa-Pesqueira, M.E.; Brostow, W. Concrete + polyester + CaCO3: Mechanics and morphology after gamma irradiation. e-Polymers 2007, 7, 83. [Google Scholar]
  15. dos Reis, J.M.L. Effect of temperature on the mechanical properties of polymer mortars. Mater. Res. 2012, 15, 645–649. [Google Scholar] [CrossRef]
  16. Rahman, M.T.; Hossain, M.M.; Hasan, M.R.; Khandaker, M.U.; Parvin, F.; Islam, M.A. Study on the mechanical, electrical, and optical properties of metal-oxide nanoparticles dispersed unsaturated polyester resin nanocomposites. Results Phys. 2019, 13, 102264. [Google Scholar] [CrossRef]
  17. Chu, F.; Yu, X.; Hou, Y.; Mu, X.; Song, L.; Hu, W. A facile strategy to simultaneously improve the mechanical and fire safety properties of ramie fabric-reinforced unsaturated polyester resin composites. Compos. Part A Appl. Sci. Manuf. 2018, 115, 264–273. [Google Scholar] [CrossRef]
  18. Kaya, M.; Mujtaba, M.; Bulut, E.; Akyuz, L.; Zelencova, L.; Sofi, K.; Sargin, I.; Baran, T. On chemistry of γ-chitin. Carbohydr. Polym. 2017, 176, 177–186. [Google Scholar] [CrossRef]
  19. Bradić, B. Isolation of chitin from marine biomass using eutectic solvents and studies of N-deacetylation kinetics to chitosan. Ph.D. Thesis, Univerza v Mariboru, Maribor, Slovenia, 2022. [Google Scholar]
  20. Kadokawa, J.I. Ionic liquid as useful media for dissolution, derivatization, and nanomaterial processing of chitin. Green Sustain. Chem. 2013, 3, 63–70. [Google Scholar] [CrossRef]
  21. Kadokawa, J.I.; Takegawa, A.; Mine, S.; Prasad, K. Preparation of chitin nanowhiskers using an ionic liquid and their composite materials with poly (vinyl alcohol). Carbohydr. Polym. 2011, 84, 1408–1412. [Google Scholar] [CrossRef]
  22. FAO. The State of World Fisheries and Aquaculture 2022: Towards Blue Transformation; FAO: Rome, Italy, 2022. [Google Scholar]
  23. Aranaz, I.; Mengíbar, M.; Harris, R.; Paños, I.; Miralles, B.; Acosta, N.; Gemma, G.; Angeles, H. Functional characterization of chitin and chitosan. Curr. Chem. Biol. 2009, 3, 203–230. [Google Scholar]
  24. Wang, J.; Chen, Z.; Guan, Q.; Raymonde Demarquette, N.; Naguib, H.E. Ionic liquids facilitated dispersion of chitin nanowhiskers for reinforced epoxy composites. Carbohydr. Polym. 2020, 247, 116746. [Google Scholar] [CrossRef]
  25. Bhattacharya, M. Polymer Nanocomposites—A Comparison between Carbon Nanotubes, Graphene, and Clay as Nanofillers. Materials 2016, 9, 262. [Google Scholar] [CrossRef]
  26. Aghvami-Panah, M.; Wang, A.; Panahi-Sarmad, M.; Armin Seyed Esfahani, S.; Abbas Seraji, A.; Shahbazi, M.; Ghaffarian, R.; Jamalpour, S.; Xiao, X. A comparison study on polymeric nanocomposite foams with various carbon nanoparticles: Adjusting radiation time and effect on electrical behavior and microcellular structure. Int. J. Smart Nano Mater. 2022, 13, 504–528. [Google Scholar] [CrossRef]
  27. Peng, C.; Chen, G. Preparation and assessment of heat-treated α-chitin nanowhiskers reinforced poly (vinyl alcohol) film for packaging application. Materials 2018, 11, 1883. [Google Scholar] [CrossRef]
  28. Huang, X.; Huang, Y.; Zeng, Q.; Peng, L.; Li, J.; Yuan, Y. Development and mechanical properties of soy protein fibrils-chitin nanowhiskers complex gel. Food Hydrocoll. 2023, 139, 108513. [Google Scholar] [CrossRef]
  29. Dominic, M.; Joseph, R.; Begum, R.M.S.; Raghunandanan, A.; Vackkachan, N.T.; Padmanabhan, D.; Formela, K. Chitin nanowhiskers from shrimp shell waste as green filler in acrylonitrile-butadiene rubber: Processing and performance properties. Carbohydr. Polym. 2020, 245, 116505. [Google Scholar] [CrossRef] [PubMed]
  30. ASTM D638–14; Standard Test Method for Tensile Properties of Plastics. ASTM International: West Conshohocken, PA, USA, 2022.
  31. ASTM D618–21; Standard Practice for Conditioning Plastics for Testing. ASTM International: West Conshohocken, PA, USA, 2021.
  32. ASTM D1002–10; Standard Test Method for Apparent Shear Strength of Single-Lap-Joint Adhesively Bonded Metal Specimens by Tension Loading (Metal-to-Metal). ASTM International: West Conshohocken, PA, USA, 2019.
Figure 1. FTIR scans of Bondo® polyester resin with increasing CNW content.
Figure 1. FTIR scans of Bondo® polyester resin with increasing CNW content.
Jmmp 09 00382 g001
Figure 2. SEM micrographs of (a) CNW powder agglomerates and (b) cold-fracture surface of neat PE resin.
Figure 2. SEM micrographs of (a) CNW powder agglomerates and (b) cold-fracture surface of neat PE resin.
Jmmp 09 00382 g002
Figure 3. FTIR scans of Bondo® polyester resin with increasing CNW content, containing (a) 0.25 wt.% CNW, (b) 0.50 wt.% CNW, (c) 0.75 wt.% CNW, and (d) 1.00 wt.% CNW.
Figure 3. FTIR scans of Bondo® polyester resin with increasing CNW content, containing (a) 0.25 wt.% CNW, (b) 0.50 wt.% CNW, (c) 0.75 wt.% CNW, and (d) 1.00 wt.% CNW.
Jmmp 09 00382 g003
Figure 4. DSC behaviour of commercial resin with increasing CNW loadings.
Figure 4. DSC behaviour of commercial resin with increasing CNW loadings.
Jmmp 09 00382 g004
Figure 5. DSC behaviour results of (a) glass transition temperature (b) and onset temperature of characteristic endothermic peak.
Figure 5. DSC behaviour results of (a) glass transition temperature (b) and onset temperature of characteristic endothermic peak.
Jmmp 09 00382 g005
Figure 6. TGA of commercial resin with increasing CNW loadings and bar graph of degradation onset temperature.
Figure 6. TGA of commercial resin with increasing CNW loadings and bar graph of degradation onset temperature.
Jmmp 09 00382 g006
Figure 7. Bar graphs indicating (a) tensile strength and (b) adhesive strength.
Figure 7. Bar graphs indicating (a) tensile strength and (b) adhesive strength.
Jmmp 09 00382 g007
Figure 8. DSC thermograms of polyester resin in both neat and 0.25 wt.% CNW loadings subjected to various thermal histories.
Figure 8. DSC thermograms of polyester resin in both neat and 0.25 wt.% CNW loadings subjected to various thermal histories.
Jmmp 09 00382 g008
Figure 9. TGA of polyester resin in both neat and 0.25 wt.% CNW loadings subjected to various thermal histories.
Figure 9. TGA of polyester resin in both neat and 0.25 wt.% CNW loadings subjected to various thermal histories.
Jmmp 09 00382 g009
Figure 10. Bar graphs indicating adhesive strength for (a) neat samples with varying thermal history and (b) 0.25 wt.% CNW-reinforced samples with varying thermal history.
Figure 10. Bar graphs indicating adhesive strength for (a) neat samples with varying thermal history and (b) 0.25 wt.% CNW-reinforced samples with varying thermal history.
Jmmp 09 00382 g010
Figure 11. FTIR scans of Bondo® polyester resin with 0.25 wt.% CNWs, dispersed using various suspension media.
Figure 11. FTIR scans of Bondo® polyester resin with 0.25 wt.% CNWs, dispersed using various suspension media.
Jmmp 09 00382 g011
Figure 12. FTIR scans of Bondo® polyester resin with 0.25 wt.% CNW content, utilizing various suspension media combinations: (a) CEA25, (b) CEAM25, (c) CA25, and (d) CP25.
Figure 12. FTIR scans of Bondo® polyester resin with 0.25 wt.% CNW content, utilizing various suspension media combinations: (a) CEA25, (b) CEAM25, (c) CA25, and (d) CP25.
Jmmp 09 00382 g012
Figure 13. DSC behaviour of Bondo® polyester resin with 0.25 wt.% CNWs, dispersed using various suspension media.
Figure 13. DSC behaviour of Bondo® polyester resin with 0.25 wt.% CNWs, dispersed using various suspension media.
Jmmp 09 00382 g013
Figure 14. Bar graphs of samples dispersed in various suspension media, indicating (a) tensile strength and (b) adhesive strength.
Figure 14. Bar graphs of samples dispersed in various suspension media, indicating (a) tensile strength and (b) adhesive strength.
Jmmp 09 00382 g014
Table 1. Elongation at break of CNW-incorporated samples.
Table 1. Elongation at break of CNW-incorporated samples.
Sample (wt.% CNW)Elongation at Break (mm)
0.00 2.55 ± 0.4
0.253.36 ± 0.3
0.505.08 ± 0.6
0.755.12 ± 0.4
1.005.15 ± 0.5
Table 2. Mechanical properties of tensile test samples with varying thermal history.
Table 2. Mechanical properties of tensile test samples with varying thermal history.
TypeSampleTensile Strength (MPa)Elastic Modulus (MPa)Elongation at Break (mm)
NeatNo heating applied43.5 ± 7.712.1 ± 1.82.55 ± 0.4
45 min @ 80 °C33.0 ± 5.910.4 ± 1.42.04 ± 0.3
90 min @ 60 °C25.9 ± 4.610.2 ± 0.31.66 ± 0.3
0.25 wt.% CNWNo heating applied38.6 ± 6.010.5 ± 1.03.12 ± 0.5
45 min @ 80 °C50.4 ± 5.711.0 ± 1.43.36 ± 0.3
90 min @ 60 °C36.9 ± 5.310.8 ± 0.83.05 ± 0.4
Disclaimer/Publisher’s Note: The statements, opinions and data contained in all publications are solely those of the individual author(s) and contributor(s) and not of MDPI and/or the editor(s). MDPI and/or the editor(s) disclaim responsibility for any injury to people or property resulting from any ideas, methods, instructions or products referred to in the content.

Share and Cite

MDPI and ACS Style

Hsieh, N.R.; Guan, A.; Koul, S.; Leung, S.N. Processing Strategies for High-Performance Polyester-Based Adhesives Reinforced by Bio-Derived Nanoparticles. J. Manuf. Mater. Process. 2025, 9, 382. https://doi.org/10.3390/jmmp9120382

AMA Style

Hsieh NR, Guan A, Koul S, Leung SN. Processing Strategies for High-Performance Polyester-Based Adhesives Reinforced by Bio-Derived Nanoparticles. Journal of Manufacturing and Materials Processing. 2025; 9(12):382. https://doi.org/10.3390/jmmp9120382

Chicago/Turabian Style

Hsieh, Nathan R., Aaron Guan, Saraswati Koul, and Siu N. Leung. 2025. "Processing Strategies for High-Performance Polyester-Based Adhesives Reinforced by Bio-Derived Nanoparticles" Journal of Manufacturing and Materials Processing 9, no. 12: 382. https://doi.org/10.3390/jmmp9120382

APA Style

Hsieh, N. R., Guan, A., Koul, S., & Leung, S. N. (2025). Processing Strategies for High-Performance Polyester-Based Adhesives Reinforced by Bio-Derived Nanoparticles. Journal of Manufacturing and Materials Processing, 9(12), 382. https://doi.org/10.3390/jmmp9120382

Article Metrics

Back to TopTop