Dimensional Analysis and Validity of Uniaxial Residual Stress Distribution for Welded Box Sections
Abstract
1. Introduction
2. Framework/Methodology
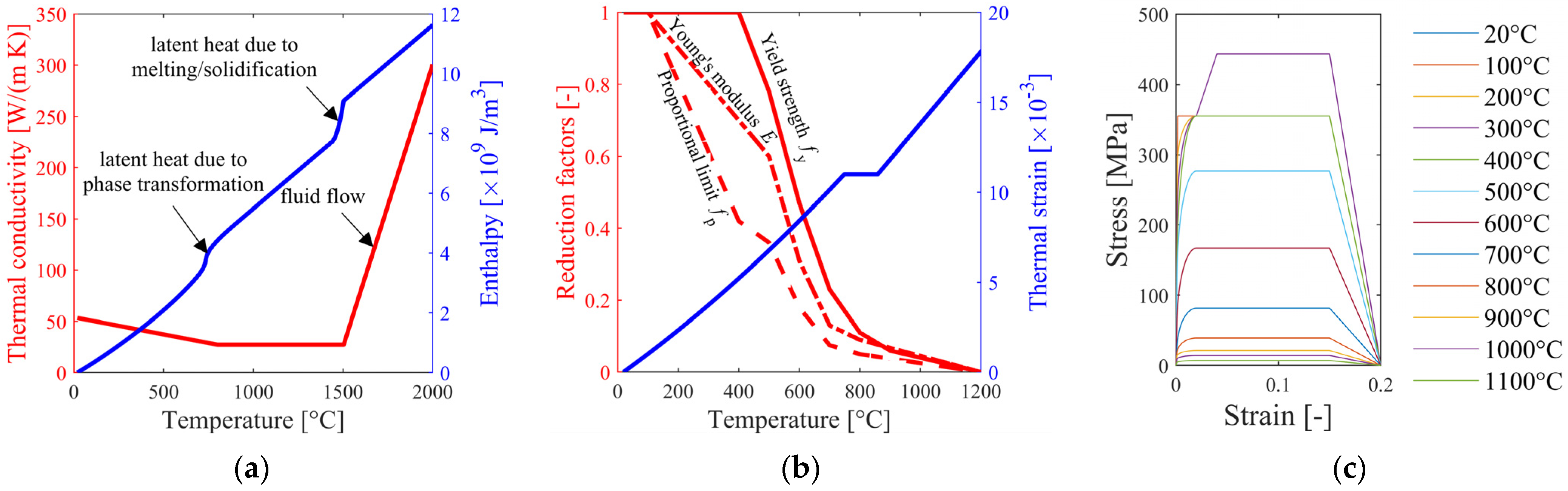
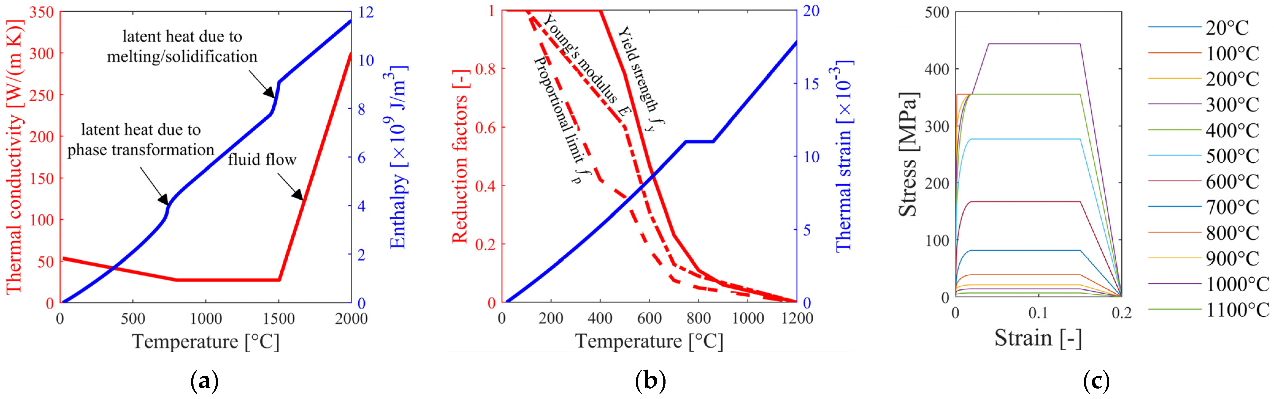
2.1. Background of Welding Simulation

2.2. Validation
- Cross-section: 220 × 220 × 6;
- Length: 800 mm;
- Steel grade of constituent plates: S355MC with yield strength of 446 MPa according to inspection certificate (fy = 446 MPa is used in the simulation for base material);
- Filler material: Mn3Ni1Mo (EN ISO 16834 [48]) WDI MoNi SG with a diameter of 1.2 millimetres and a guaranteed minimum proof strength of 690 MPa according to inspection certificate (fy = 690 MPa is used in the simulation for weld metal);
- Weld type: single-bevel butt welds with broad root face;
- Welding process: metal active gas (MAG) welding with solid wire (135);
- Shielding gas: M21-ArC-18;
- Welding position: manual welding in PA (flat);
- Preheating: not applied, unfavorable phase transformation resulting in martensite is not expected in the heat-affected zone (HAZ);
- Net heat input: 0.52–0.56 kJ/mm (one weld pass/weld bead).
3. Parametric Analysis
3.1. Thermal Results
3.2. Mechanical Results
4. Conclusions
- Rosenthal numbers, based on first yield temperature, of MIG/MAG welding in the parametric study are Ro = 30.47–41.99 which is in accordance with Ro = 7–70 predicted in the literature.
- Process window considering heat source power and welding speed of MIG/MAG welding is determined by distinguishing variable ranges resulting in (i) lack of fusion, (ii) adequate fusion, and (iii) excessive penetration.
- Sensitivities based on the Spearman rank order correlation coefficients show that double ellipsoidal heat source model parameters a, b, and cf are insignificant in the investigated range at the 2.5% significance level on the analyzed isotherms.
- Relationship between Rosenthal numbers and aspect ratios highlight that simplified heating results in cases mostly within the transition zone simulations (minimal values are AR = 1.72 and Ro = 2.19). On the contrary, all the cases are in the fast regime with the validity of uniaxial residual stresses based on the analytical assumption for welding simulations (minimal values are AR = 9.94 and Ro = 30.47).
- Verification of uniaxiality of residual stresses is based on the concept of stress triaxiality parameter ηtri. Relationship between Rosenthal number and stress triaxiality parameter supports the theory of uniaxiality for fast heat sources during welding.
- It is recommended to take into account stress triaxiality for preheating or thermal straightening.
- Results underscore the applicability of uniaxial residual stress models by neglecting in-plane and through-thickness residual stresses, for thin-walled welded box-sections in advanced finite element model-based designs such as in geometrically and materially nonlinear analysis including imperfections.
- The future work focuses on the influence of additional restraints coming from the fixtures during manufacturing and the stiffness of the constituent plates. In addition, width-to-thickness ratio of plates, and the wall thickness affecting the weld type or number of weld passes (e.g., dozens of weld passes for heavy welds used especially in bridge engineering) need to be investigated, which currently represent some of the most notable constraints of the uniaxial residual stress models and difficulties in using the dimensional analysis.
Author Contributions
Funding
Data Availability Statement
Conflicts of Interest
References
- Radaj, D. Heat Effects of Welding: Temperature Field, Residual Stress, Distortion; Springer: Berlin/Heidelberg, Germany, 1992; ISBN 9783642486425. [Google Scholar]
- Masubuchi, K. Analysis of Welded Structures; Pergamon Press: Oxford, UK, 1980; ISBN 0-08-022714-7. [Google Scholar]
- Goldak, J.A.; Akhlaghi, M. Computational Welding Mechanics; Springer Science + Business Media, Inc.: Boston, MA, USA, 2005. [Google Scholar]
- European Convention for Constructional Steelworks. Manual on Stability of Steel Structures: Part 2.2. Mechanical Properties and Residual Stresses; European Convention for Constructional Steelworks: Brussels, Belgium, 1976. [Google Scholar]
- Gedney, B.L.; Rizos, D.C. Combining Welding-Induced Residual Stress with Thermal and Mechanical Stress in Continuous Welded Rail. Results Eng. 2022, 16, 100777. [Google Scholar] [CrossRef]
- Kövesdi, B.; Somodi, B. Buckling Resistance of HSS Box Section Columns Part I: Stochastic Numerical Study. J. Constr. Steel Res. 2018, 140, 1–10. [Google Scholar] [CrossRef]
- Grams, M.R. Predictive Expressions for Residual Stress and Distortion in Welding and Related Thermal Processes. Ph.D. Thesis, University of Alberta, Edmonton, AB, Canada, 2021. [Google Scholar]
- Grams, M.R. A Novel Approach to Prediction of Welding Residual Stress and Distortion. Weld. World 2023, 67, 1823–1832. [Google Scholar] [CrossRef]
- Grams, M.R.; Mendez, P.F. Scaling Analysis of the Thermal Stress Field Produced by a Moving Point Heat Source in a Thin Plate. ASME J. Appl. Mech. 2021, 88, 011001. [Google Scholar] [CrossRef]
- Somodi, B.; Kövesdi, B.; Hornyák, T. Partial Safety Factor for Local Buckling of Welded Box Sections. Structures 2021, 30, 440–454. [Google Scholar] [CrossRef]
- prEN 1993-1-14:2020; Eurocode 3: Design of Steel Structures—Part 1–14: Design Assisted by Finite Element Analysis. Slovenian Institute for Standardization: Ljubljana, Slovenia, 2020; pp. 1–42.
- Pasternak, H.; Launert, B.; Krausche, T. Welding of Girders with Thick Plates—Fabrication, Measurement and Simulation. J. Constr. Steel Res. 2015, 115, 407–416. [Google Scholar] [CrossRef]
- Somodi, B.; Kövesdi, B. Residual Stress Measurements on Welded Square Box Sections Using Steel Grades of S235–S960. Thin-Walled Struct. 2018, 123, 142–154. [Google Scholar] [CrossRef]
- Ban, H.; Shi, G.; Shi, Y.; Wang, Y. Residual Stress of 460 MPa High Strength Steel Welded Box Section: Experimental Investigation and Modeling. Thin-Walled Struct. 2013, 64, 73–82. [Google Scholar] [CrossRef]
- Khan, M.; Paradowska, A.; Uy, B.; Mashiri, F.; Tao, Z. Residual Stresses in High Strength Steel Welded Box Sections. J. Constr. Steel Res. 2016, 116, 55–64. [Google Scholar] [CrossRef]
- National Board of Housing, Building and Planning. BSK 99 Swedish Design Rules for Steel Structures; National Board of Housing, Building and Planning: Stockholm, Sweden, 2003.
- CDSSC (Code for Design of Steel Structures Committee). Application Construal of Code for Design of Steel Structures in China; China Planning Press: Beijing, China, 2003. (In Chinese) [Google Scholar]
- Sun, Y.; Li, H.; Wang, X. Finite Element Analysis on Welding Residual Stresses of Welded Box Column. J. Eng. Technol. 2011, 1, 57–61. [Google Scholar]
- Kollár, D.; Kövesdi, B.; Néző, J. Numerical Simulation of Welding Process—Application in Buckling Analysis. Period. Polytechnol. Civ. Eng. 2017, 61, 98–109. [Google Scholar] [CrossRef]
- Aung, M.P.; Hirohata, M. Numerical Study on Post-Weld Heat Treatment of Non-Stiffened Welded Box-Section Member and Its Compressive Behavior. Int. J. Steel Struct. 2019, 19, 1521–1533. [Google Scholar] [CrossRef]
- Outtier, A.; De Backer, H. Finite Element Modeling of the Influence of Residual Weld Stresses on Buckling. Bridg. Struct. 2017, 13, 123–134. [Google Scholar] [CrossRef]
- Somodi, B.; Kollár, D.; Kövesdi, B.; Néző, J.; Dunai, L. Residual Stresses in High-Strength Steel Welded Square Box Sections. Proc. Inst. Civ. Eng. Struct. Build. 2017, 170, 804–812. [Google Scholar] [CrossRef]
- Ibrahim, O.A.; Lignos, D.G.; Rogers, C.A. Proposed Modeling Approach of Welding Procedures for Heavy Steel Plates. Eng. Struct. 2016, 127, 18–30. [Google Scholar] [CrossRef]
- Li, L.; Zheng, F.H.; Zhang, H.D.; Fu, Y.Q. Effect of Residual Stress in Longitudinal and Transverse Weld on Global Stability of Box Section Steel Column. J. Phys. Conf. Ser. 2021, 2045, 012029. [Google Scholar] [CrossRef]
- Liu, H.; Liu, J.; Chen, H.; Ji, H.; Zhang, Z. Numerical Simulation of Welding for Box Beam Structure on Bogie of High Speed Train. Adv. Mater. Res. 2012, 399–401, 1816–1819. [Google Scholar] [CrossRef]
- Wang, J.; Xu, A.; Di, J.; Qin, F.; Men, P. Experimental and Numerical Study of Membrane Residual Stress in Q690 High-Strength Steel Welded Box Section Compressed Member. Materials 2024, 17, 2296. [Google Scholar] [CrossRef]
- Xiao, M.; Hu, Y.F.; Jin, H.; Chung, K.F.; Nethercot, D.A. Prediction of Residual Stresses in High-Strength S690 Cold-Formed Square Hollow Sections Using Integrated Numerical Simulations. Eng. Struct. 2022, 253, 113682. [Google Scholar] [CrossRef]
- Jiang, J.; Lee, C.K.; Chiew, S.P.; Yee, P.L.T. Numerical Investigation of High-Strength Built-up Box Columns. Proc. Inst. Civ. Eng. Struct. Build. 2017, 170, 653–663. [Google Scholar] [CrossRef]
- Mendez, P.F. Calculation of Thermal Features in Welding and Additive Manufacturing. IOP Conf. Ser. Mater. Sci. Eng. 2023, 1281, 012021. [Google Scholar] [CrossRef]
- Lu, Y.; Wang, Y.; Mendez, P.F. Width of Thermal Features Induced by a 2-D Moving Heat Source. Int. J. Heat Mass Transf. 2020, 156, 119793. [Google Scholar] [CrossRef]
- Lu, Y.; Mendez, P.F. Characteristic values of the temperature field induced by amoving line heat source. Int. J. Heat Mass Transf. 2021, 166, 120671. [Google Scholar] [CrossRef]
- Mendez, P.F.; Eagar, T.W. Order of Magnitude Scaling: A Systematic Approach to Approximation and Asymptotic Scaling of Equations in Engineering. J. Appl. Mech. Trans. ASME 2013, 80, 011009. [Google Scholar] [CrossRef]
- The James F. Lincoln Arc Welding Foundation. The Procedure Handbook of Arc Welding, 14th ed.; The James F. Lincoln Arc Welding Foundation: Cleveland, OH, USA, 2000. [Google Scholar]
- ANSYS, version 19.5; ANSYS Inc.: Canonsburg, PA, USA, 2019.
- Zhang, H.; Ouyang, Z.; Li, L.; Ma, W.; Liu, Y.; Chen, F.; Xiao, X. Numerical Study on Welding Residual Stress Distribution of Corrugated Steel Webs. Metals 2022, 12, 1831. [Google Scholar] [CrossRef]
- EN 1993-1-2:2005; Eurocode 3: Design of Steel Structures—Part 1-2: General Rules-Structural fire Design. British Standards Institution: London, UK, 2005; pp. 1–78.
- EN 1993-1-12:2007; Eurocode 3: Design of Steel Structures—Part 1-12: General-High Strength Steels. British Standards Institution: London, UK, 2007; pp. 1–9.
- SYSWELD Visual Environment 9.5 Material Database, Virtual Manufacturing, Welding and Assembly, version 9.5; ESI Group: Bagneux, France, 2015.
- Rhodin, M. Calculation of Welding Deformations in a Pipe Flange. Master’s Thesis, Chalmers University of Technology, Gothenburg, Sweden, 2012. [Google Scholar]
- Zhu, J.; Khurshid, M.; Barsoum, Z. Accuracy of Computational Welding Mechanics Methods for Estimation of Angular Distortion and Residual Stresses. Weld. World 2019, 63, 1391–1405. [Google Scholar] [CrossRef]
- Tamma, K.K.; Namburu, R.R. Recent Advances, Trends and New Perspectives via Enthalpy-based Finite Element Formulations for Applications to Solidification Problems. Int. J. Numer. Methods Eng. 1990, 30, 803–820. [Google Scholar] [CrossRef]
- Kollár, D. Numerical Modelling on the Influence of Repair Welding during Manufacturing on Residual Stresses and Distortions of T-Joints. Results Eng. 2023, 20, 101535. [Google Scholar] [CrossRef]
- Goldak, J.A.; Chakravarti, A.; Bibby, M. A New Finite Element Model for Welding Heat Sources. Metall. Trans. B 1984, 15, 299–305. [Google Scholar] [CrossRef]
- EN 1011-1: 2009; Welding—Recommendations for Welding of Metallic Materials—Part 1: General Guidance for Arc Welding. British Standards Institution: London, UK, 2009; pp. 1–14.
- Seong, W.J.; Na, S.J. Systematization of Heat Straightening Process of Stiffened Plate by Surface Flattening. J. Mater. Process. Technol. 2022, 299, 117333. [Google Scholar] [CrossRef]
- Kollár, D. Welding Simulation in Advanced Manufacturing and Design of Steel Structures. Ph.D. Thesis, Budapest University of Technology and Econimics, Budapest, Hungary, 2020. [Google Scholar]
- Horváth, A.; Kollár, D.; Kövesdi, B. Distortions and Residual Stresses of NSS, HSS and Hybrid Box Sections with Single-Bevel Butt Welds: An Experimental Study. Thin-Walled Struct. 2025, 208, 112834. [Google Scholar] [CrossRef]
- EN ISO 16834: 2012; Welding Consumables—Wire Electrodes, Wires, Rods and Deposits for Gas Shielded Arc Welding of High Strength Steels—Classification. International Organization for Standardization: Geneva, Switzerland, 2012; pp. 1–14.
- Sun, J.; Dilger, K. Influence of Preheating on Residual Stresses in Ultra-High Strength Steel Welded Components. J. Mater. Res. Technol. 2023, 25, 3120–3136. [Google Scholar] [CrossRef]
- MATLAB, version 9.9.0.1453 (R2020b); The Mathworks Inc.: Natick, MA, USA, 2020.
- Ziółkowski, A. Parametrization of Cauchy Stress Tensor Treated as Autonomous Object Using Isotropy Angle and Skewness Angle. Eng. Trans. 2022, 70, 239–286. [Google Scholar] [CrossRef]















| Publication | fy or fp0.2 [MPa] | Main Findings |
|---|---|---|
| [18] | 314 | The residual stresses are minimally affected by the welding sequence, but the number of weld layers can cause considerable variations. |
| [19] | 355 | Length of the model has influence on the residual stress distribution |
| [20] | 282 | Tensile and compressive residual stresses can be reduced significantly by post-weld heat treatment |
| [21] | 235 | Residual stress models of ECCS cannot be used for width-to-thickness ratio B/t > 40 since they are derived for more compact sections |
| [22] | 318–1005 | Compressive residual stresses are significantly affected by the B/t ratio, while effect of B/t ratio on compressive residual stresses depends on t |
| [23] | 345 | Welding of thick plates requires a separate set of welding specifications to reduce residual stresses |
| [24] | 345 | Magnitude of welding residual stress is closely related to the thickness of components, relationship between body heat flux and welding-induced residual stress is not linear |
| [25] | 365 | Effect of welding sequence on von Mises residual stresses is negligible, while the more welds performed simultaneously, the higher residual stresses in the weldment |
| [26] | 808–834 | Increasing the number of welding passes generally reduces residual compressive stresses |
| [27] | 690 | Cold-formed square hollow sections with longitudinal welding were investigated, where the 2D and 3D finite element models with block data transfer are highly effective |
| [28] | 740 | Post-weld heat treatment can significantly reduce the welding residual stress generated during the welding process |
| Steel grade | - | S355 |
| Yield strength | fy | 355 MPa |
| Coefficient of linear thermal expansion | α | 12 × 10−6 1/°C |
| Elastic modulus | E | 210,000 Mpa |
| Yield strain | εy | 0.0017 |
| Initial temperature | T0 | 20 °C |
| Relative first yield temperature | ΔTy | 141 °C |
| First yield temperature | Ty | 161 °C |
| Parameters | Simplified Model | Welding Simulation | Distribution Function for MC with LHS |
|---|---|---|---|
| Q = ηUI [W] | 1–1200 | 3600–5000 | Uniform |
| v [mm/s] | 0.5–10 | 6–10 | Uniform |
| a [mm] | 2–10 | 2–5 | Uniform |
| b [mm] | 3–8 | 3–5 | Uniform |
| cf [mm] | 2.5–15 | 2–5 | Uniform |
Disclaimer/Publisher’s Note: The statements, opinions and data contained in all publications are solely those of the individual author(s) and contributor(s) and not of MDPI and/or the editor(s). MDPI and/or the editor(s) disclaim responsibility for any injury to people or property resulting from any ideas, methods, instructions or products referred to in the content. |
© 2024 by the authors. Licensee MDPI, Basel, Switzerland. This article is an open access article distributed under the terms and conditions of the Creative Commons Attribution (CC BY) license (https://creativecommons.org/licenses/by/4.0/).
Share and Cite
Horváth, A.; Kollár, D. Dimensional Analysis and Validity of Uniaxial Residual Stress Distribution for Welded Box Sections. J. Manuf. Mater. Process. 2025, 9, 5. https://doi.org/10.3390/jmmp9010005
Horváth A, Kollár D. Dimensional Analysis and Validity of Uniaxial Residual Stress Distribution for Welded Box Sections. Journal of Manufacturing and Materials Processing. 2025; 9(1):5. https://doi.org/10.3390/jmmp9010005
Chicago/Turabian StyleHorváth, András, and Dénes Kollár. 2025. "Dimensional Analysis and Validity of Uniaxial Residual Stress Distribution for Welded Box Sections" Journal of Manufacturing and Materials Processing 9, no. 1: 5. https://doi.org/10.3390/jmmp9010005
APA StyleHorváth, A., & Kollár, D. (2025). Dimensional Analysis and Validity of Uniaxial Residual Stress Distribution for Welded Box Sections. Journal of Manufacturing and Materials Processing, 9(1), 5. https://doi.org/10.3390/jmmp9010005

