Reducing Oxidation during Direct Metal Deposition Process: Effects on Ti6Al4V Microstructure and Mechanical Properties
Abstract
1. Introduction
- High-temperature oxidation in the range of the melting point of Ti, i.e., at 1670 °C and higher, can only be determined for oxidation times of several minutes or hours for isothermal oxidation. However, the DMD process does not exhibit isothermal temperature fields, but transient temperature fields with high cooling rates.
- The temperature fields are influenced by various process characteristics (e.g., laser power, travel speed, mass flow, etc.) and material parameters such as the thermal conductivity of the material. The temperature field of the DMD process is characterised by the fact that a material element is exposed to rapidly and strongly changing temperatures, which also results in a change in the local diffusion coefficient.
2. Materials and Methods
3. Numerical Simulation
3.1. Model Domain
3.2. Heat Source Definition
3.3. Heat Conduction Model
3.4. Fluid Flow Model
3.5. Material Properties
4. Results and Discussion
4.1. Microstructure Analysis
4.2. Microhardness Analysis
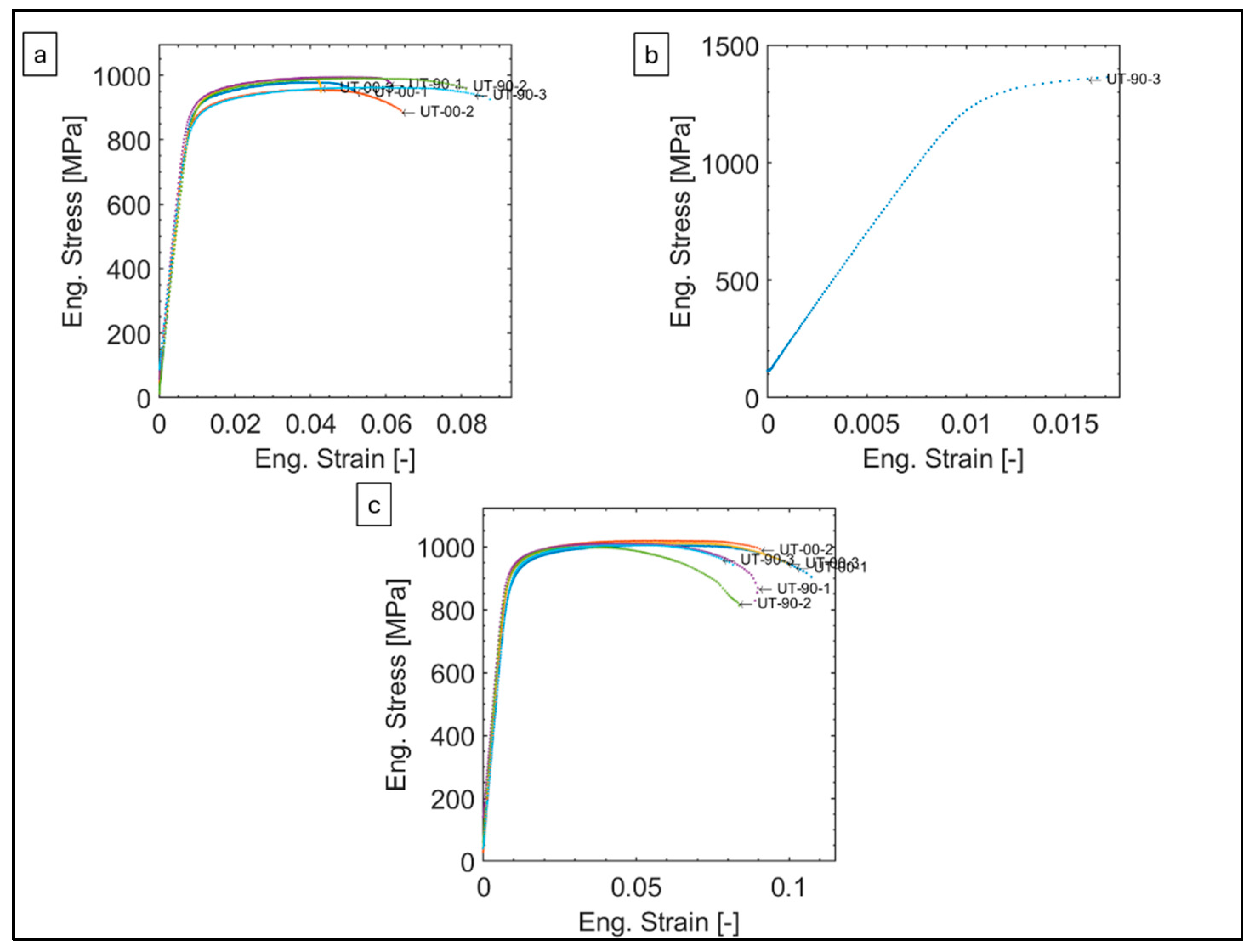
4.3. Tensile Tests
4.4. Numerical Simulation
4.5. Oxidation Model
4.5.1. Sources of Oxidation
- The powder: The powder has a different degree of oxidation depending on the manufacturing process. With an equivalent diameter, a spherical shape has the lowest surface energy. This leads to a reduced surface area and thus to a reduced oxide layer on the powder compared to the blocky powder, whose structure is based on the hydride–dehydride (HDH) process. Hot carrier gas extraction measurements showed a degree of oxidation that was increased by a factor of two. The spherical powder produced by the gas atomisation process used in this work has an oxygen content of 500 ppm, whereas the HDH powder has an oxygen content of 1000 ppm.
- The substrate: The substrate may have some contamination in the form of an oxide layer on its surface. For titanium, this oxide layer forms at room temperature. Optical measurements have shown that, at room temperature, the oxide layer thickness is 17 Å after 2 h, around 35 Å after 40 days, 50 Å after 70 days, 75 Å after 545 days and around 250 Å after 4 years [37,38,39,40]. Up to about 800 °C, the oxide layer consists exclusively of TiO2 with a rutile structure, whereby the titanium is enriched with oxygen at the titanium/oxide phase boundary [41,42,43] and follows a curve according to Equation (4). Above 800 °C, an additional formation of TiO and Ti2O3 is observed in [44,45]. However, the proportions of the individual phases were not specified there in more detail. These depend primarily on the rate of formation, i.e., on the disordered structure of the phases and the diffusion rate of the oxygen atoms through the oxide layer [46]. For the following calculation of the amount of oxygen that can be dissolved from the oxide layer, a complete TiO2 composition of the oxide layer is assumed. Assuming a thickness of the substrate oxide layer of 75 Å and the lateral oxide layer dimensions of 18 mm width and 60 mm length (which corresponds to the coating area during the DMD experiments), this results in an oxide volume of 0.081 mm3. Using the density of rutile of 4.28 g/cm3 [47] results in an oxide layer mass of 3.47∙10−4 g. The weight fraction of oxygen in rutile totals, from the ratio of the molar masses of oxygen (32 g/mol) to titanium dioxide (79.9 g/mol) [48], approximately 0.4, resulting in a mass that can be extracted from the oxide layer of 1.38∙10−4 g. An average build-up volume, which is available for dissolving the calculated oxygen mass results from the coating area and the layer height of 3 mm to a volume of 3240 mm3. With the density Ti6Al4V according to Table 4, the mass of the build-up is 14.6 g. This means that the oxygen contained in the oxide layer could increase the weight proportion of oxygen in the build-up material by around 1.38∙10−4 g/14.6 g = 9.45∙10−6 wt.% = 0.095 ppm. This means that the proportion of oxidation due to the dissolution of oxygen in the oxide layer is negligible.
- The atmosphere: As shown in the studies by Keller et al. [22,23], a shielding gas atmosphere against oxidation is only given with sufficient certainty at a carrier gas volume flow to shield gas volume flow ratio of <0.2. According to Keller et al. [22], this shows a spatial extension of the inert gas bell of around 10 mm in diameter, regardless of the nozzle type. This diameter is used in the following oxidation model.
- The process parameters: The process parameters influence the temperature field. This means that higher specific energies, according to Equation (2), result in an energy input into the material (neglecting attenuation). This is a common assumption for conventional laser cladding, as almost all of the laser energy is absorbed by the substrate. This also tends to increase the temperature field in the substrate, making the process more oxidation-critical. For this reason, the subsequent oxidation model provides sufficient certainty, as the temperature fields, according to Figure 14, were calculated without attenuation by the powder. As described in the introduction to this study, the temperature of 700 °C or 973 K is used as the critical oxidation temperature, as, above this temperature, no protective oxide layer adheres to the substrate and the transition from parabolic to linear oxidation behaviour occurs for Ti6Al4V.
4.5.2. Temperature Field Evolution
4.5.3. Oxidation Kinetics
- ;
- ;
- (no flux on the lower side of the substrate thickness).
5. Conclusions
- The microstructure analysis shows different structures in different areas. This change is due to the different thermal history. The thermally unaffected substrate shows elongated grains, α martensite present in the HAZ and an α-Widmanstätten structure present in columnar β grains. The microstructure shows no dependence on the degree of oxidation.
- Heavily oxidized samples show the highest hardness values, which, however, have insufficient ductility properties.
- Tensile tests show that, by adhering to the oxidation model presented in this work, Ti6Al4V components can be produced using DMD that fulfil the requirements defined in the relevant standards.
- Specific energy is not a sufficient parameter for the production of oxidation affine materials. At the same specific energy, a higher travel speed leads to increasing overheating.
- The varying levels of oxidation can be determined by overlaying the spatial distribution of oxygen concentration at the boundary, with the temperature field calculated numerically using the heat conduction equation. It is important to emphasize that the oxygen concentration profile described by Equation (25) is applicable only under specific conditions: a carrier gas flow rate of 4 L/min and a shielding gas flow rate of 15 L/min. These conditions are critical for establishing an adequate shielding gas environment. From an energetic standpoint, it becomes evident that, for a given specific energy input, reducing the travel speed has a beneficial impact on minimizing oxidation to the lowest extent possible. By meticulously adjusting parameters such as the carrier gas flow rate, shielding gas flow rate, laser power and feed rate, it becomes feasible to mitigate oxidation effectively.
Author Contributions
Funding
Data Availability Statement
Conflicts of Interest
References
- Dilberoglu, U.M.; Gharehpapagh, B.; Yaman, U.; Dolen, M. The Role of Additive Manufacturing in the Era of Industry 4.0. Procedia Manuf. 2017, 11, 545–554. [Google Scholar] [CrossRef]
- Feng, S.C.; Moges, T.; Park, H.; Yakout, M.; Jones, A.T.; Ko, H.; Witherell, P. Functional Requirements of Software Tools for Laser-Based Powder Bed Fusion Additive Manufacturing for Metals. J. Comput. Inf. Sci. Eng. 2023, 23, 031005. [Google Scholar] [CrossRef]
- Dass, A.; Moridi, A. State of the art in directed energy deposition: From additive manufacturing to materials design. Coatings 2019, 9, 418. [Google Scholar] [CrossRef]
- Parimi, L.L.; Ravi, G.A.; Clark, D.; Attallah, M.M. Microstructural and texture development in direct laser fabricated IN718. Mater. Charact. 2014, 89, 102–111. [Google Scholar] [CrossRef]
- Huanes-Alvan, G.E.; Aydogan, B.; Sahasrabudhe, H.; Chakrapani, S.K. Ultrasonic properties of Inconel 718 fabricated via laser-directed energy deposition. J. Acoust. Soc. Am. 2020, 148, 2648. [Google Scholar] [CrossRef]
- Liang, Y.J.; Cheng, X.; Li, J.; Wang, H.M. Microstructural control during laser additive manufacturing of single-crystal nickel-base superalloys: New processing–microstructure maps involving powder feeding. Mater. Des. 2017, 130, 197–207. [Google Scholar] [CrossRef]
- Liu, Y.; Li, A.; Cheng, X.; Zhang, S.Q.; Wang, H.M. Effects of heat treatment on microstructure and tensile properties of laser melting deposited AISI 431 martensitic stainless steel. Mater. Sci. Eng. A 2016, 666, 27–33. [Google Scholar] [CrossRef]
- Dey, I.; Fabbri, M.; Gemmet, S.; Dalaee, M.; Wessel, M.; Wegener, K. Manufacturing a prototype with laser direct metal deposition and laser welding made from martensitic steel 1.4313. Int. J. Adv. Manuf. Technol. 2023, 124, 1993–2009. [Google Scholar] [CrossRef]
- Gong, H.; Rafi, K.; Gu, H.; Starr, T.; Stucker, B. Analysis of defect generation in Ti–6Al–4V parts made using powder bed fusion additive manufacturing processes. Addit. Manuf. 2014, 1, 87–98. [Google Scholar] [CrossRef]
- Casadebaigt, A.; Hugues, J.; Monceau, D. High temperature oxidation and embrittlement at 500–600 °C of Ti-6Al-4V alloy fabricated by Laser and Electron Beam Melting. Corros. Sci. 2020, 175, 108875. [Google Scholar] [CrossRef]
- Zwicker, U. Titan und Titanlegierungen; Springer: Berlin/Heidelberg, Germany, 2013; Volume 21. [Google Scholar]
- Brunette, D.M.; Tengvall, P.; Textor, M.; Thomsen, P. Titanium in Medicine: Material Science, Surface Science, Engineering, Biological Responses and Medical Applications; Springer: Berlin, Germany, 2001; p. 232. [Google Scholar]
- Ask, M.; Lausmaa, J.; Kasemo, B. Preparation and surface spectroscopic characterization of oxide films on Ti6Al4V. Appl. Surf. Sci. 1989, 35, 283–301. [Google Scholar] [CrossRef]
- Kofstad, P.; Hauffe, K.; Kjollesdal, H.; Siekevitz, P.; Ernster, L.; Diczfalusy, E. Investigation on the oxidation mechanism of titanium. Acta Chem. Scand. 1958, 12, 239–266. [Google Scholar] [CrossRef]
- Latella, B.A.; Gan, B.K.; Li, H. Fracture toughness and adhesion of thermally grown titanium oxide on medical grade pure titanium. Surf. Coat. Technol. 2007, 201, 6325–6331. [Google Scholar] [CrossRef]
- Stringer, J. The oxidation of titanium in oxygen at high temperatures. Acta Metall. 1960, 8, 758–766. [Google Scholar] [CrossRef]
- Gurrappa, I. An oxidation model for predicting the life of titanium alloy components in gas turbine engines. J. Alloys Compd. 2005, 389, 190–197. [Google Scholar] [CrossRef]
- Wallwork, G.; Smeltzer, W.; Rosa, C. The parabolic oxidation kinetics of alpha-zirconium at 850 °C. Acta Metall. 1964, 12, 409–415. [Google Scholar] [CrossRef]
- Guleryuz, H.; Cimenoglu, H. Oxidation of Ti–6Al–4V alloy. J. Alloys Compd. 2009, 472, 241–246. [Google Scholar] [CrossRef]
- Yu, C.; Zhu, S.; Wei, D.; Wang, F. Oxidation and H2O/NaCl-induced corrosion behavior of sputtered Ni–Si coatings on Ti6Al4V at 600–650 °C. Surf. Coat. Technol. 2007, 201, 7530–7537. [Google Scholar] [CrossRef]
- Coddet, C.; Craze, A.M.; Beranger, G. Measurements of the adhesion of thermal oxide films: Application to the oxidation of titanium. J. Mater. Sci. 1987, 22, 2969–2974. [Google Scholar] [CrossRef]
- Keller, D.; Monney, A.; Schudeleit, T.; Wegener, K. Spatial Oxygen Distribution of the Direct Metal Deposition Process for Different Powder Nozzles. Appl. Sci. 2023, 13, 9470. [Google Scholar] [CrossRef]
- Keller, D.; Monney, A.; Wirth, F.; Wegener, K. Oxygen Uptake of Ti6Al4V during Direct Metal Deposition Process. Metals 2024, 14, 119. [Google Scholar] [CrossRef]
- DIN EN ISO 6507-1: 2018-07; Metallische Werkstoffe—Härteprüfung nach Vickers—Teil_1: Prüfverfahren (ISO_6507-1: 2018). Deutsches Institut für Normung: Berlin, Germany, 2018.
- Beerli, T.; Roth, C.C.; Mohr, D. Semi-automatic miniature specimen testing method to characterize the plasticity and fracture properties of metals. Acta Mater. 2024, 263, 119539. [Google Scholar] [CrossRef]
- Soffel, F.; Lin, Y.; Keller, D.; Egorov, S.; Wegener, K. Laser Remelting Process Simulation and Optimization for Additive Manufacturing of Nickel-Based Super Alloys. Materials 2021, 15, 177. [Google Scholar] [CrossRef] [PubMed]
- Wirth, F.; Wegener, K. A physical modeling and predictive simulation of the laser cladding process. Addit. Manuf. 2018, 22, 307–319. [Google Scholar] [CrossRef]
- Boivineau, M.; Cagran, C.; Doytier, D.; Eyraud, V.; Nadal, M.-H.; Wilthan, B.; Pottlacher, G. Thermophysical properties of solid and liquid Ti-6Al-4V (TA6V) alloy. Int. J. Thermophys. 2006, 27, 507–529. [Google Scholar] [CrossRef]
- Mills, K.C. Recommended Values of Thermophysical Properties for Selected Commercial Alloys; Woodhead Publishing: Thorston, UK, 2002. [Google Scholar]
- Katinas, C.; Liu, S.; Shin, Y.C. Self-sufficient modeling of single track deposition of Ti–6Al–4V with the prediction of capture efficiency. J. Manuf. Sci. Eng. 2019, 141, 011001. [Google Scholar] [CrossRef]
- Yang, J.; Sun, S.; Brandt, M.; Yan, W. Experimental investigation and 3D finite element prediction of the heat affected zone during laser assisted machining of Ti6Al4V alloy. J. Mater. Process. Technol. 2010, 210, 2215–2222. [Google Scholar] [CrossRef]
- Lu, X.; Lin, X.; Chiumenti, M.; Cervera, M.; Hu, Y.; Ji, X.; Ma, L.; Yang, H.; Huang, W. Residual stress and distortion of rectangular and S-shaped Ti-6Al-4V parts by Directed Energy Deposition: Modelling and experimental calibration. Addit. Manuf. 2019, 26, 166–179. [Google Scholar] [CrossRef]
- Westerberg, K.W.; Merier, T.C.; McClelland, M.A.; Braun, D.G.; Berzins, L.V.; Anklam, T.M.; Storer, J. Analysis of the e-Beam Evaporation of Titanium and Ti-6Al-4V Lawrence Livermore National Lab. (LLNL): Livermore, CA, USA, 1998.
- Nair, A.M.; Muvvala, G.; Sarkar, S.; Nath, A.K. Real-time detection of cooling rate using pyrometers in tandem in laser material processing and directed energy deposition. Mater. Lett. 2020, 277, 128330. [Google Scholar] [CrossRef]
- Fan, D.; Chen, L.Q.; Chen, S.P. Effect of grain boundary width on grain growth in a diffuse-interface field model. Mater. Sci. Eng. A 1997, 238, 78–84. [Google Scholar] [CrossRef]
- Bambach, M.; Sizova, I.; Sydow, B.; Hemes, S.; Meiners, F. Hybrid manufacturing of components from Ti-6Al-4V by metal forming and wire-arc additive manufacturing. J. Mater. Process. Technol. 2020, 282, 116689. [Google Scholar] [CrossRef]
- Hass, G. Preparation, structure, and applications of thin films of silicon monoxide and titanium dioxide. J. Am. Ceram. Soc. 1950, 33, 353–360. [Google Scholar] [CrossRef]
- Kubaschewski, O.; Hopkins, B.E. Oxidation of Metals and Alloys; London Butterworths: Oxford, UK, 1962; pp. 286, 287, 425, 433. [Google Scholar]
- Andreeva, V.V. Behavior and nature of thin oxide films on some metals in gaseous media and in electrolyte solutions. Corrosion 1964, 20, 35t–46t. [Google Scholar] [CrossRef]
- Mindel, M.J.; Pollack, S.R. The room temperature oxidation of titanium thin films. Acta Met. 1969, 17, 1441–1448. [Google Scholar] [CrossRef]
- Hickman, J.W.; Gulbransen, E.A. Oxide films formed on titanium, zirconium, and their alloys with nickel, copper, and cobalt. Anal. Chem. 1948, 20, 158–165. [Google Scholar] [CrossRef]
- Jenkins, A. The oxidation of titanium at high temperatures in an atmosphere of pure oxygen. J. Inst. Met. 1953, 82, 213–221. [Google Scholar]
- Hurlen, T.; Wilhelmsen, W. Passive behaviour of titanium. Electrochim. Acta 1986, 31, 1139–1146. [Google Scholar] [CrossRef]
- Davies, M.H.; Birchenall, C.E. Oxidation of titanium. JOM 1951, 3, 877–880. [Google Scholar] [CrossRef]
- Richardson, L.S.; Grant, N.J. Reaction of oxygen and nitrogen with titanium from 700 °C to 1050 °C. JOM 1954, 6, 69–70. [Google Scholar] [CrossRef]
- Kofstad, P.; Hauffe, K. Oxydation von titan. Mater. Corros. 1956, 7, 642–649. [Google Scholar] [CrossRef]
- Grant, F.A. Properties of rutile (Titanium dioxide). Rev. Mod. Phys. 1959, 31, 646–674. [Google Scholar] [CrossRef]
- Mortimer, C.E.; Müller, U. Chemie: Das Basiswissen der Chemie; 126 Tabellen; Georg Thieme Verlag: Stuttgart, Germany, 2007. [Google Scholar]
- Eagar, T.W.; Tsai, N.S. Temperature fields produced by traveling distributed heat sources. Weld. J. 1983, 62, 346–355. [Google Scholar]


















| Ti | Fe | C | H | O | N | Al | V | |
|---|---|---|---|---|---|---|---|---|
| Substrate | Bal. | 0.17 | 0.013 | 0.002 | 0.115 | 0.0045 | 6.25 | 4.09 |
| Powder | Bal. | 0.24 | 0.002 | 0.002 | 0.05 | 0.004 | 6.34 | 4.25 |
| Laser Power [W] | Travel Speed [mm/min] | Powder Mass Flow [g/min] | Laser Spot Diameter [mm] | Carrier Gas Flow [L/min] | Shield Gas Flow [L/min] | Shield Gas Chamber | Heat Sink |
|---|---|---|---|---|---|---|---|
| 1100 | 720 | 4 | 3 | 4 | 15 | no | no |
| 1100 | 720 | 4 | 3 | 4 | 30 | no | no |
| 1100 | 720 | 4 | 3 | 8 | 15 | no | no |
| 1100 | 720 | 4 | 3 | 8 | 30 | no | no |
| 1100 | 720 | 4 | 3 | 2 | 15 | no | no |
| 1100 | 720 | 4 | 3 | 2 | 30 | no | no |
| 1100 | 720 | 4 | 3 | 8 | 15 | yes | no |
| 797 | 510 | 2.8 | 3 | 4 | 15 | no | no |
| 1268 | 830 | 4.6 | 3 | 4 | 15 | no | yes |
| Property | Value |
|---|---|
| Solidus temperature | 1878 K [28,29] |
| Liquidus temperature | 1933 K [28,29] |
| Latent heat/melting enthalpy | 3.6510−5 J/kg [30] |
| Absorptivity | 0.34 [31] |
| Volume expansion coefficient | 8.910−6 1/K [32] |
| Density | 4420 kg/m3 [32] |
| Viscosity | 3.210−3 kg/m s [33] |
| Surface tension | 1.65 N/m [33] |
| Surface tension coefficient | −2.410−4 N/m K [33] |
| Temperature [K] | Thermal Conductivity [W/m K] | Heat Capacity at Constant Pressure [J/kgK] |
|---|---|---|
| 293 | 7 | 546 |
| 478 | 8.75 | 584 |
| 773 | 12.6 | 651 |
| 1268 | 22.7 | 753 |
| 1373 | 19.3 | 641 |
| 1473 | 21 | 660 |
| 1873 | 25.8 | 732 |
| 1923 | 83.5 | 831 |
| 2273 | 83.5 | 831 |
| Experiment | Oxygen Content [ppm] | Standard Deviation [ppm] |
|---|---|---|
| 1 | 1320 | 120 |
| 2 | 1120 | 95.2 |
| 3 | 4920 | 533 |
| 4 | 1110 | 74.8 |
| 5 | 1320 | 134 |
| 6 | 1230 | 101 |
| 7 | 1010 | 21.6 |
| 8 | 874 | 29.3 |
| 9 | 2240 | 437 |
| Experiment | Oxygen Content [ppm] | Yield Strength, YS [MPa] | Tensile Strength, UTS [MPa] | Elongation at Failure, [%] |
|---|---|---|---|---|
| 1 | 1320 | 859 ± 9.5 | 952 ± 20.1 | 6 ± 0.5 |
| 2 | 1120 | 842 ± 6.2 | 922 ± 15.7 | 7 ± 0.6 |
| 3 | 4920 | 1267 | 1370 | 1.5 |
| 4 | 1110 | 839 ± 7.2 | 915± 16.9 | 7 ± 0.4 |
| 5 | 1320 | 836 ± 6.2 | 921± 17.1 | 6 ± 0.7 |
| 6 | 1230 | 865 ± 11.7 | 968 ± 19.4 | 8 ± 0.6 |
| 7 | 950 | 862 ± 15.5 | 952 ± 30.5 | 11 ± 0.8 |
| 8 | 874 | 840 ± 12.1 | 958 ± 22.3 | 3 ± 0.8 |
| 9 | 2240 | 862 ± 21.5 | 969 ± 40.3 | 5 ± 0.8 |
| Cast DIN 17,865 | - | ≥785 | ≥880 | ≥5 |
| Forged DIN 17,864 | - | ≥830 | ≥900 | ≥10 |
Disclaimer/Publisher’s Note: The statements, opinions and data contained in all publications are solely those of the individual author(s) and contributor(s) and not of MDPI and/or the editor(s). MDPI and/or the editor(s) disclaim responsibility for any injury to people or property resulting from any ideas, methods, instructions or products referred to in the content. |
© 2024 by the authors. Licensee MDPI, Basel, Switzerland. This article is an open access article distributed under the terms and conditions of the Creative Commons Attribution (CC BY) license (https://creativecommons.org/licenses/by/4.0/).
Share and Cite
Keller, D.; Wegener, K. Reducing Oxidation during Direct Metal Deposition Process: Effects on Ti6Al4V Microstructure and Mechanical Properties. J. Manuf. Mater. Process. 2024, 8, 89. https://doi.org/10.3390/jmmp8030089
Keller D, Wegener K. Reducing Oxidation during Direct Metal Deposition Process: Effects on Ti6Al4V Microstructure and Mechanical Properties. Journal of Manufacturing and Materials Processing. 2024; 8(3):89. https://doi.org/10.3390/jmmp8030089
Chicago/Turabian StyleKeller, Dominik, and Konrad Wegener. 2024. "Reducing Oxidation during Direct Metal Deposition Process: Effects on Ti6Al4V Microstructure and Mechanical Properties" Journal of Manufacturing and Materials Processing 8, no. 3: 89. https://doi.org/10.3390/jmmp8030089
APA StyleKeller, D., & Wegener, K. (2024). Reducing Oxidation during Direct Metal Deposition Process: Effects on Ti6Al4V Microstructure and Mechanical Properties. Journal of Manufacturing and Materials Processing, 8(3), 89. https://doi.org/10.3390/jmmp8030089
