Multibeam Tile Registration for Teach and Repeat Path Following of an Underwater Vehicle
Abstract
1. Introduction
Problem Statement
2. Background and Related Work
2.1. Teach and Repeat Path Following
3. Methodology
3.1. Conventions
3.2. Multibeam Sonar
3.3. Pose Merging
3.4. 3D Point Set Generation
3.5. Local Map Generation
3.6. Filtering
3.7. Data Preparation Workflow
4. Teach and Repeat Implementation
4.1. Likelihood
4.2. State Estimation
4.3. Failure Modes
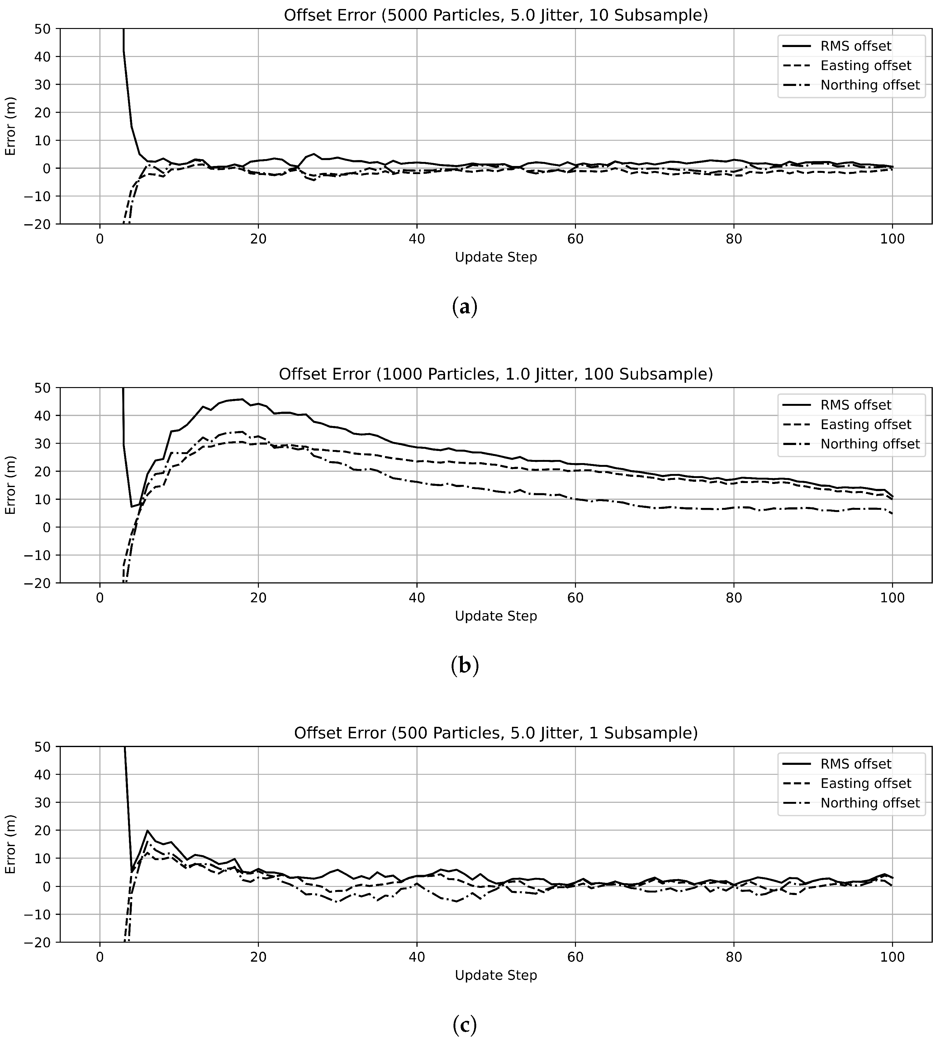
5. Trials and Results
5.1. General
5.2. Data Collection
5.3. Tests
5.4. Computational Efficiency
5.5. Likelihood Performance
5.6. Control Results
5.7. Trial Results
6. Discussion
7. Conclusions and Future Work
Author Contributions
Funding
Data Availability Statement
Acknowledgments
Conflicts of Interest
References
- Jakuba, M.V.; Roman, C.N.; Singh, H.; Murphy, C.; Kunz, C.; Willis, C.; Sato, T.; Sohn, R.A. Long-baseline acoustic navigation for under-ice autonomous underwater vehicle operations. J. Field Robot. 2008, 25, 861–879. [Google Scholar] [CrossRef]
- King, P.; Vardy, A.; Forrest, A.L. Teach-and-repeat path following for an autonomous underwater vehicle. J. Field Robot. 2018, 35, 748–763. [Google Scholar] [CrossRef]
- Paull, L.; Saeedi, S.; Seto, M.; Li, H. Auv navigation and localization: A review. IEEE J. Ocean. Eng. 2014, 39, 131–149. [Google Scholar] [CrossRef]
- McEwen, R.; Thomas, H.; Weber, D.; Psota, F. Performance of an auv navigation system at arctic latitudes. IEEE J. Ocean. Eng. 2005, 30, 443–454. [Google Scholar] [CrossRef]
- Tal, A.; Klein, I.; Katz, R. Inertial navigation system/doppler velocity log (ins) fusion with partial dvl measurements. Sensors 2017, 17, 415. [Google Scholar] [CrossRef] [PubMed]
- Phins Surface. Available online: https://www.ixblue.com/store/phins-surface/ (accessed on 1 December 2022).
- King, P.; Williams, G.; Coleman, R.; Zürcher, K.; Bowden-Floyd, I.; Ronan, A.; Kaminski, C.; Laframboise, J.-M.; McPhail, S.; Wilkinson, J.; et al. Deploying an auv beneath the sørsdal ice shelf: Recommendations from an expert-panel workshop. In Proceedings of the 2018 IEEE/OES Autonomous Underwater Vehicle Workshop (AUV), Porto, Portugal, 6–9 November 2018; pp. 1–6. [Google Scholar] [CrossRef]
- King, P.; Zürcher, K.; Bowden-Floyd, I. A risk-averse approach to mission planning: Nupiri muka at the thwaites glacier. In Proceedings of the 2020 IEEE/OES Autonomous Underwater Vehicles Symposium (AUV), St. Johns, NL, Canada, 30 September–2 October 2020; pp. 1–5. [Google Scholar] [CrossRef]
- Maurelli, F.; Krupiński, S.; Xiang, X.; Petillot, Y. Auv localisation: A review of passive and active techniques. Int. J. Intell. Robot. Appl. 2022, 6, 246–269. [Google Scholar] [CrossRef]
- King, P.; Anstey, B.; Vardy, A. Sonar image registration for localization of an underwater vehicle. J. Ocean. Technol. 2017, 12, 68–90. [Google Scholar]
- Salavasidis, G.; Munafò, A.; Harris, C.A.; Prampart, T.; Templeton, R.; Smart, M.; Roper, D.T.; Pebody, M.; McPhail, S.D.; Rogers, E.; et al. Terrain-aided navigation for long-endurance and deep-rated autonomous underwater vehicles. J. Field Robot. 2019, 36, 447–474. [Google Scholar] [CrossRef]
- Claus, B.; Bachmayer, R. Terrain-aided navigation for an underwater glider. J. Field Robot. 2015, 32, 935–951. [Google Scholar] [CrossRef]
- Williams, S.B.; Pizarro, O.; Jakuba, M.V.; Mahon, I.; Ling, S.D.; Johnson, C.R. Repeated auv surveying of urchin barrens in north eastern tasmania. In Proceedings of the 2010 IEEE International Conference on Robotics and Automation, Anchorage, AK, USA, 3–7 May 2010; pp. 293–299. [Google Scholar] [CrossRef]
- Mahon, I.; Williams, S.B.; Pizarro, O.; Johnson-Roberson, M. Efficient view-based slam using visual loop closures. IEEE Trans. Robot. 2008, 24, 1002–1014. [Google Scholar] [CrossRef]
- Furgale, P.; Barfoot, T.D. Visual teach and repeat for long-range rover autonomy. J. Field Robot. 2010, 27, 534–560. [Google Scholar] [CrossRef]
- Krajník, T.; Majer, F.; Halodová, L.; Vintr, T. Navigation without localisation: Reliable teach and repeat based on the convergence theorem. In Proceedings of the 2018 IEEE/RSJ International Conference on Intelligent Robots and Systems (IROS), Madrid, Spain, 1–5 October 2018; pp. 1657–1664. [Google Scholar] [CrossRef]
- Nguyen, T.; Mann, G.K.; Gosine, R.G.; Vardy, A. Appearance-based visual-teach-and-repeat navigation technique for micro aerial vehicle. J. Intell. Robot. Syst. 2016, 84, 217–240. [Google Scholar]
- Möller, R.; Vardy, A. Local visual homing by matched-filter descent in image distances. Biol. Cybern. 2006, 95, 413–430. [Google Scholar] [CrossRef] [PubMed]
- Liu, M.; Pradalier, C.; Pomerleau, F.; Siegwart, R. Scale-only visual homing from an omnidirectional camera. In Proceedings of the 2012 IEEE International Conference on Robotics and Automation, Saint Paul, MN, USA, 14–18 May 2012; pp. 3944–3949. [Google Scholar]
- Brooks, R. Visual map making for a mobile robot. In Proceedings of the 1985 IEEE International Conference on Robotics and Automation, St. Louis, MO, USA, 25–28 March 1985; Volume 2, pp. 824–829. [Google Scholar]
- Matsumoto, Y.; Inaba, M.; Inoue, H. Visual navigation using view-sequenced route representation. In Proceedings of the IEEE International conference on Robotics and Automation, Minneapolis, MN, USA, 22–28 April 1996; Volume 1, pp. 83–88. [Google Scholar]
- Simhon, S.; Dudek, G. A global topological map formed by local metric maps. In Proceedings of the 1998 IEEE/RSJ International Conference on Intelligent Robots and Systems. Innovations in Theory, Practice and Applications (Cat. No.98CH36190), Victoria, BC, Canada, 17 October 1998; Volume 3, pp. 1708–1714. [Google Scholar] [CrossRef]
- SNAME. Nomenclature for Treating the Motion of a Submerged Body Through a Fluid; The Society of Naval Architects and Marine Engineers, Technical and Research Bulletin: Jersey City, NJ, USA, 1950; pp. 1–5. [Google Scholar]
- Virtanen, P.; Gommers, R.; Oliphant, T.E.; Haberland, M.; Reddy, T.; Cournapeau, D.; Burovski, E.; Peterson, P.; Weckesser, W.; Bright, J.; et al. SciPy 1.0 Contributors, SciPy 1.0: Fundamental Algorithms for Scientific Computing in Python. Nat. Methods 2020, 17, 261–272. [Google Scholar] [CrossRef] [PubMed]
- Barkby, S.; Williams, S.; Pizarro, O.; Jakuba, M. An efficient approach to bathymetric slam. In Proceedings of the 2009 IEEE/RSJ International Conference on Intelligent Robots and Systems, St. Louis, MO, USA, 10–15 October 2009; pp. 219–224. [Google Scholar] [CrossRef]
- Zhang, Z. Iterative point matching for registration of free-form curves and surfaces. Int. J. Comput. Vis. 1994, 13, 119–152. [Google Scholar] [CrossRef]
- Thrun, S.; Burgard, W.; Fox, D. Probabilistic Robotics (Intelligent Robotics and Autonomous Agents); The MIT Press: Cambridge, MA, USA, 2005. [Google Scholar]
- Engelson, S.P.; McDermott, D.V. Error correction in mobile robot map learning. In Proceedings of the 1992 IEEE International Conference on Robotics and Automation, IEEE Computer Society, Nice, France, 12–14 May 1992; pp. 2555–2556. [Google Scholar]
- Choset, H.; Lynch, K.; Hutchinson, S.; Kantor, G.; Burgard, W.; Kavraki, L.; Thrun, S. Principles of Robot Motion: Theory, Algorithms, and Implementations; MIT Press: Cambridge, MA, USA, 2007. [Google Scholar]
- Li, T.; Sattar, T.P.; Sun, S. Deterministic resampling: Unbiased sampling to avoid sample impoversishment in particle filters. Signal Process. 2012, 92, 1637–1645. [Google Scholar] [CrossRef]
- Elfring, J.; Torta, E.; van de Molengraft, R. Particle Filters: A Hands-On Tutorial. Sensors 2021, 21, 438. [Google Scholar] [CrossRef] [PubMed]
- International Submarine Engineering. Explorer AUV. Available online: https://ise.bc.ca/product/explorer/ (accessed on 1 February 2018).
- Imagenex Technology Corp. 837B Delta T 6000 m Profiling. Available online: https://imagenex.com/products/837b-delta-t-6000-m-profiling (accessed on 1 May 2017).














| Symbol | Name | Frame | Unit |
|---|---|---|---|
| N | North | NED | meters |
| E | East | NED | meters |
| Z | depth | NED | meters |
| Heading | NED | degrees | |
| x | x-position | Body | meters |
| y | y-position | Body | meters |
| z | range | Body | meters |
| u | forward speed | Body | meters-per-second |
| v | transverse speed | Body | meters-per-second |
| p | roll | Body | degrees |
| q | pitch | Body | degrees |
| r | yaw | Body | degrees |
| Particles | Jitter (m) | Sub-Sample | N to Converge | Error (m) | Maintained |
|---|---|---|---|---|---|
| 500 | 0.5 | 1 | 4 | 34.6 | Y |
| 10 | 4 | 51.6 | Y | ||
| 100 | 4 | 26.6 | Y | ||
| 1 | 1 | 4.5 | 72.7 | Y | |
| 10 | 4 | 36.4 | Y | ||
| 100 | 4 | 40.1 | Y | ||
| 5 | 1 | 4 | 4.5 | Y | |
| 10 | 4.5 | 22.1 | Y | ||
| 100 | 5 | 8.6 | Y | ||
| 1000 | 0.5 | 1 | 3 | 24.9 | Y |
| 10 | 3 | 23.4 | Y | ||
| 100 | 4 | 18.0 | Y | ||
| 1 | 1 | 3.5 | 12.6 | Y | |
| 10 | 3 | 15.6 | Y | ||
| 100 | 3.5 | 18.6 | Y | ||
| 5 | 1 | 4 | 5.2 | Y | |
| 10 | 4 | 12.2 | Y | ||
| 100 | 3 | 7.9 | Y | ||
| 5000 | 0.5 | 1 | 4 | 6.4 | Y |
| 10 | 4 | 3.6 | Y | ||
| 100 | 4 | 8.2 | Y | ||
| 1 | 1 | 4 | 5.2 | Y | |
| 10 | 3.5 | 11.4 | Y | ||
| 100 | 3.5 | 10.0 | Y | ||
| 5 | 1 | 4 | 4.2 | Y | |
| 10 | 4 | 2.7 | Y | ||
| 100 | 4 | 3.7 | Y |
| Particles | Jitter (m) | Sub-Sample | N to Converge | Error (m) | Maintained |
|---|---|---|---|---|---|
| 1000.0 | 0.5 | 10.0 | 3.5 | 16.0 | Y |
| 1.0 | 10.0 | 3.0 | 101.2 | Y | |
| 5.0 | 10.0 | 2.5 | 31.9 | Y | |
| 5000.0 | 0.5 | 10.0 | 3.5 | 26.4 | Y |
| 1.0 | 10.0 | 3.0 | 24.8 | Y | |
| 5.0 | 10.0 | 3.5 | 37.5 | Y |
Disclaimer/Publisher’s Note: The statements, opinions and data contained in all publications are solely those of the individual author(s) and contributor(s) and not of MDPI and/or the editor(s). MDPI and/or the editor(s) disclaim responsibility for any injury to people or property resulting from any ideas, methods, instructions or products referred to in the content. |
© 2025 by the authors. Licensee MDPI, Basel, Switzerland. This article is an open access article distributed under the terms and conditions of the Creative Commons Attribution (CC BY) license (https://creativecommons.org/licenses/by/4.0/).
Share and Cite
King, P.; Leong, Z.; Duffy, J. Multibeam Tile Registration for Teach and Repeat Path Following of an Underwater Vehicle. Drones 2025, 9, 631. https://doi.org/10.3390/drones9090631
King P, Leong Z, Duffy J. Multibeam Tile Registration for Teach and Repeat Path Following of an Underwater Vehicle. Drones. 2025; 9(9):631. https://doi.org/10.3390/drones9090631
Chicago/Turabian StyleKing, Peter, Zhi Leong, and Jonathan Duffy. 2025. "Multibeam Tile Registration for Teach and Repeat Path Following of an Underwater Vehicle" Drones 9, no. 9: 631. https://doi.org/10.3390/drones9090631
APA StyleKing, P., Leong, Z., & Duffy, J. (2025). Multibeam Tile Registration for Teach and Repeat Path Following of an Underwater Vehicle. Drones, 9(9), 631. https://doi.org/10.3390/drones9090631

