Next Article in Journal
Small Drone Detection Using Hybrid Beamforming 24 GHz Fully Integrated CMOS Radar
Previous Article in Journal
New Methods for Waterfowl and Habitat Survey Using AI and Drone Imagery
 
 
Font Type:
Arial Georgia Verdana
Font Size:
Aa Aa Aa
Line Spacing:
Column Width:
Background:
Article

Distributed Prescribed-Time Formation Tracking Control for Multi-UAV Systems with External Disturbances

1
School of Aeronautics and Astronautics, University of Electronic Science and Technology of China, Chengdu 611731, China
2
Aircraft Swarm Intelligent Sensing and Cooperative Control Key Laboratory of Sichuan Province, Chengdu 611731, China
3
College of Aerospace Science and Engineering, National University of Defense Technology, Changsha 410073, China
*
Author to whom correspondence should be addressed.
Drones 2025, 9(7), 452; https://doi.org/10.3390/drones9070452
Submission received: 22 May 2025 / Revised: 12 June 2025 / Accepted: 19 June 2025 / Published: 20 June 2025

Abstract

In time-sensitive aerial missions such as urban surveillance, emergency response, and adversarial airspace operations, achieving rapid and reliable formation control of multi-UAV systems is crucial. This paper addresses the challenge of ensuring robust and efficient formation control under stringent time constraints. The proposed singularity-free prescribed-time formation (PTF) control scheme guarantees task completion within a user-defined time, independent of initial conditions and control parameters. Unlike existing scaling-based prescribed-time methods plagued by unbounded gains and fixed-time strategies with non-tunable convergence bounds, the proposed scheme uses fixed-time stability theory and systematic parameter tuning to avoid singularity issues while ensuring robustness and predictable convergence. The method also accommodates directed communication topologies and unknown external disturbances, allowing follower UAVs to track a dynamic leader and maintain the desired geometric formation. Finally, some simulation results demonstrate the effectiveness of the proposed control strategy, showcasing its superiority over existing methods and validating its potential for practical applications.

1. Introduction

With the rapid proliferation of unmanned aerial vehicles (UAVs) in diverse real-world applications, including urban surveillance, disaster response, infrastructure inspection, and military reconnaissance, the demand for intelligent, robust, and cooperative control strategies has become increasingly imperative [1,2,3]. These applications often involve complex, time-sensitive, and dynamic environments where individual UAVs are insufficient to accomplish mission objectives alone. Cooperative control of multi-UAV systems has gained considerable attention due to its ability to address complex tasks that individual agents cannot accomplish. Multi-UAV systems offer numerous advantages, such as flexibility, adaptability, robustness, cost-effectiveness, and enhanced system efficiency. It is important to note that the cooperative control of multi-UAV systems encompasses various interconnected topics, including consensus [4], tracking [5], formation [6,7], enclosing [8], flocking [9], and containment [10].
Formation control constitutes a fundamental problem in the cooperative control of multi-UAV systems, as it requires the design of distributed control strategies that enable multiple agents to form and maintain a specified geometric configuration. Unlike consensus, which aims at reaching agreement on scalar or vector states, formation control focuses on maintaining prescribed relative positions among agents over time. Murray [11] summarized some typical applications of formation control, such as military systems, aerial surveillance, transportation systems, and air traffic control. Existing formation control approaches can be broadly categorized into the following three main classes: behavior-based methods [12,13], leader-following strategies [14,15], and virtual structure techniques [16,17,18], each with distinct modeling assumptions and coordination mechanisms.
In recent years, consensus-based formation control strategies, which rely on localized information exchange among agents to achieve coordinated group behaviors, have garnered significant research attention. By appropriately selecting the information states over which consensus is reached, such as positions, velocities, or control inputs, consensus algorithms can be effectively tailored to address various formation control problems (see, e.g., [19,20,21,22,23,24,25]). For instance, in [19], a consensus-based approach was proposed for second-order multi-agent systems (MASs), wherein both position and velocity consensus were achieved to facilitate formation tracking. It was shown that many classical strategies, including leader–follower and virtual structure-based schemes, can be unified under a generalized consensus framework. Further advancements have extended consensus-based formation control to various MAS models, including first-order, second-order, and general linear dynamics [20,21,22]. In parallel, practical applications, such as multi-robot coordination, UAV formation flight, and autonomous underwater vehicle (AUV) deployment, have driven the development of distributed consensus protocols capable of handling real-world constraints and dynamic environments [23,24,25]. Despite these developments, many existing consensus-based methods assume ideal communication, perfect model knowledge, or disturbance-free environments, which limits their robustness in practical deployments. In scenarios involving uncertain dynamics, external disturbances, or limited actuation capabilities, maintaining formation accuracy and system stability becomes considerably more challenging. Therefore, it is both theoretically significant and practically necessary to develop enhanced formation control strategies that ensure robust performance in the presence of such uncertainties.
From a practical standpoint, studying robust formation control is crucial for understanding how agents coordinate their movements and achieve collective goals in complex and dynamically changing environments. It is well known that the settling time characterizes the convergence rate of a closed-loop system, which is an important indicator of the performance and stability of MASs and has already attracted extensive attention from researchers [26]. The convergence within a finite-time interval can be categorized into several types, including finite-time, fixed-time, and prescribed-time. Most of the aforementioned work has focused on achieving asymptotic convergence. However, achieving faster convergence is typically desirable for better system performance and robustness in practice. In this context, many works have been done on designing finite-time formation control methods to provide faster convergence and improved robustness [27,28,29]. However, in these works, the finite-time control approaches depend on the initial states of agents, which implies that when initial states approach infinity, the system tends to diverge, significantly reducing its potential for prescribed-time convergence. Recently, fixed-time formation control algorithms have been developed to guarantee convergence within a uniform upper bound that is independent of the system’s initial conditions [30,31,32]. Despite this advancement, existing fixed-time control protocols typically lack an explicit functional relationship between the control parameters and the convergence rate. Consequently, the estimated settling time is often overly conservative, leading to a misrepresentation of the system’s actual performance. This limitation poses significant challenges in applications where strict temporal constraints are imposed, as it hinders the ability to precisely regulate convergence within a user-specified time frame.
To mitigate the overestimation of settling time and reduce its dependence on design parameters, the concept of prescribed-time control was initially introduced by Song et al. [33]. In contrast to finite-time and fixed-time control, prescribed-time control offers a more precise, efficient, and flexible framework for multi-agent coordination. Specifically, it guarantees that the system reaches its control objectives within a designer-specified convergence time, which is incorporated directly into the control protocol and remains independent of the agents’ initial conditions. This property makes prescribed-time control particularly attractive for time-critical applications where strict temporal guarantees are essential. Owing to these advantages, recent research efforts have increasingly focused on developing various prescribed-time control strategies tailored to different classes of nonlinear, uncertain, or networked systems. Ning et al. have thoroughly reviewed some results on prescribed-time consensus in [34]. Currently, there are mainly two implementations of prescribed-time control methods based on time-varying functions. First, some prescribed-time consensus controllers only allow the system to operate prior to the prescribed time, such as [35,36]. However, these prescribed-time control methods, which are implemented through the setting of a predefined time function, can encounter singularity issues at the prescribed-time points. Alternatively, the controllers are set to a constant after the prescribed-time instant, like [37,38,39,40]. In both scenarios, the agreement state of the agents can be easily broken even by minor external disturbances. Ways to explore more intuitive and flexible methods to ensure system responses converge within the designated time frame are crucial for applications that require precise timing and robustness against variations in initial conditions.
On the other hand, external disturbances caused by unpredictable environmental conditions inevitably degrade system performance and may even destabilize the system. Consequently, developing robust formation control strategies for multi-UAV systems under external disturbances has become a critical research focus. In recent years, numerous robust formation control strategies have been developed to mitigate the adverse effects of external disturbances. Representative approaches include sliding mode control [41,42], disturbance observer-based control (DOBC) [32,43], and neural network-based methods [6,44,45], among others. To achieve predefined-time convergence in multi-spacecraft formation systems, Zhang et al. [46] proposed a fixed-time disturbance observer in conjunction with a distributed predefined-time formation controller. However, the settling time of the disturbance estimation error is only guaranteed to be less than the predefined time rather than exactly at it. To address mismatched disturbances and measurement errors in second-order MASs, Li et al. [47] developed a distributed prescribed-time formation (PTF) control scheme based on integral sliding mode control. In a related effort, Jiang et al. [48] introduced a control framework that integrates a neural network-based function approximator with a disturbance observer to handle both internal system uncertainties and external disturbances in second-order nonlinear MASs. This scheme employs a Barrier Lyapunov function and two performance functions, ensuring the system achieves bounded convergence within a prescribed time. Despite extensive research on formation control, the development of a streamlined PTF control framework for MASs subject to external disturbances and directed communication topologies remains insufficiently addressed. In particular, achieving both guaranteed convergence within a user-specified time and robust disturbance rejection poses significant theoretical and practical challenges. Such capabilities are crucial in safety-critical and time-sensitive applications, including autonomous swarm coordination, formation-based sensing, and cooperative aerial surveillance, where robustness and precise temporal performance are essential.
According to the above discussion, this paper investigates the challenge of achieving robust PTF tracking for multi-UAV systems under unknown external disturbances. The principal innovations of this work are threefold as follows:
(1)
A novel PTF control scheme is proposed for multi-UAV systems operating under a directed communication topology and subjected to unknown external disturbances. Unlike existing approaches [46,47,48] that often trade off between robustness and simplicity, the proposed method ensures that all followers, guided by a leader, converge to the desired formation within a user-specified time. The controller simultaneously guarantees prescribed-time convergence, robustness to disturbances, and structural simplicity that facilitates practical implementation.
(2)
In contrast to finite-time and fixed-time control strategies commonly found in the literature [27,32], where convergence time depends on initial conditions or is bounded but not explicitly defined, the proposed scheme achieves convergence within an exact, designer-specified time. Notably, this convergence time is entirely independent of both the initial states and the selection of control parameters, thereby offering stronger predictability and making the scheme particularly suitable for time-critical applications.
(3)
Unlike traditional prescribed-time controllers [35,49] that rely on time-varying control gains and often suffer from singularities near the convergence time, this paper introduces a novel prescribed-time lemma grounded in fixed-time stability theory using carefully constructed constant parameters. This formulation not only eliminates singularity issues but also significantly enhances disturbance rejection capability, thereby improving the overall robustness of the control system.
The structure of the paper is as follows. Section 2 introduces essential preliminaries on graph theory and presents a formal problem statement. In Section 3, a novel PTF control strategy is developed to handle external disturbances affecting the follower agents. Section 4 demonstrates the effectiveness of the proposed approach through comprehensive simulation studies. Finally, Section 5 summarizes the main findings and discusses potential avenues for future work.

2. Preliminaries

This section first introduces relevant concepts from graph theory and essential preliminaries required for the control design. Subsequently, the leader–follower formation tracking problem is formally formulated. These elements collectively provide the theoretical foundation for the analysis and controller development presented in the subsequent sections.

2.1. Graph Theory

Consider a weighted directed graph G = V , E , A that models a multi-UAV system with N follower UAVs. Here, if each UAV represents a node, V = 1 , 2 , , N denotes the node set, E = V × V denotes the edges set, and  A = a i j R N × N represents the adjacency matrix. If UAV i receives the information from UAV j, that is, a i j > 0 , j , i E ; otherwise, a i j = 0 . The diagonal element a i i = 0 as self-loops are prohibited. The set of neighbors of agent i is denoted as N i = { j ( j , i ) E } , and its cardinality, | N i | , represents the number of agents directly connected to agent i. The Laplacian matrix associated with the directed graph G is defined as L = [ l i j ] R N × N , where the elements are given by
l i j = j = 1 N a i j , if i = j , a i j , if i j .
Here, the diagonal entry l i i corresponds to the out-degree of node i, reflecting the total weight of all edges emanating from it. A directed path from node i to node j is a finite sequence of directed edges ( i , i 1 ) , ( i 1 , i 2 ) , , ( i k , j ) connecting distinct nodes. The graph G is said to be connected if, for any pair of nodes, there exists at least one such directed path linking them.
In the leader–follower formation tracking scenario, the leader UAV is labeled as 0. The connectivity between follower UAVs and the leader UAV is encoded in the diagonal adjacency matrix B = d i a g b 1 , , b N , where b i > 0 indicates a direct adjacency from the leader to follower i; otherwise, b i = 0 . The overall topology information of the leader–follower multi-UAV systems is represented by H = L + B .
Assumption 1.
The communication topology describing the information exchange between the leader and the followers contains a directed spanning tree rooted at the leader. This implies that there exists a directed path from the leader to every follower, ensuring that information from the leader can reach all followers, either directly or indirectly.
Lemma 1
([50]). Based on Assumption 1, there exists a positive definite diagonal matrix Z = diag ( ζ ) , where ζ = [ ζ 1 , ζ 2 , , ζ N ] T and each element ζ i is defined as the reciprocal of the i-th entry of H T 1 1 . With this construction, the matrix H ¯ = Z H + H T Z is ensured to be symmetric and positive definite.

2.2. Useful Lemmas

To support the subsequent prescribed-time convergence analysis, the following lemmas are established as foundational tools.
Lemma 2
([51]). Consider the nonlinear system
x ˙ = f x ( t ) , x ( 0 ) = x 0 ,
where x ( t ) = [ x 1 , x 2 , , x n ] T R n denotes the system state. Suppose there exists a scalar function V ( x ) : R n R such that the following inequality holds:
d d t V ( x ) ρ 1 V p ( x ) ρ 2 , x ( t ) R n { 0 } ,
where ρ 1 > 0 , ρ 2 > 0 , and  p > 1 are constants. Under this condition, the origin of the system is fixed-time stable, and the upper bound of the settling time T f is given by
T f = 1 ρ 1 ( p 1 ) + 1 ρ 2 .
Lemma 3
([52]). Let y 1 , y 2 , , y m 0 and q > 1 . Then the following inequality holds:
i = 1 m y i p m 1 q i = 1 m y i q .

2.3. Problem Formulation

The cooperative formation control of multi-UAV systems under directed communication topologies and external disturbances presents significant challenges, particularly in scenarios with strict temporal constraints. To address these issues, this paper considers a networked system composed of one leader and N follower UAVs, where each agent communicates over a directed interaction graph. In practice, most autonomous UAV platforms adopt a hierarchical flight control architecture consisting of an outer loop and an inner loop. The outer loop is responsible for generating position and velocity commands based on high-level mission objectives, while the inner loop stabilizes the attitude dynamics to follow the desired trajectories. This study focuses on the outer-loop control layer, which governs the cooperative motion planning and formation tracking behaviors of the UAV network, providing a clear starting point for analyzing the theoretical performance and robustness of control strategies. Accordingly, the kinematic model of the i-th follower UAV is described as follows:
p ˙ i ( t ) = u i ( t ) + d i ( t ) , i V ,
where p i ( t ) R n , u i ( t ) R n , and  d i ( t ) R n represent the state, control input, and external disturbance of the i-th follower UAV, respectively. The state vector, control input vector, and disturbance vector for all followers are denoted as
p ( t ) = p 1 , p 2 , , p N T , u ( t ) = u 1 , u 2 , , u N T , d ( t ) = d 1 , d 2 , , d N T .
For the leader UAV, the dynamics are given by
p ˙ 0 ( t ) = u 0 ( t ) ,
where p 0 R n represents the leader’s state and u 0 ( t ) R n denotes its control input.
Assumption 2.
For each UAV in (5), the external disturbance d i ( t ) is assumed to be bounded such that d i ( t ) d max holds for all i V , where d max R + denotes an unknown but finite positive constant.
Assumption 3.
The leader’s control input u 0 t in (6) is an unknown time-varying signal with bounded magnitude, i.e.,  u 0 t u 0 max , where u 0 max R + represents the maximum allowable input amplitude.
Remark 1.
The boundedness assumption of disturbances is standard in the robust control literature and serves as a minimal requirement to ensure the well-posedness of the system under uncertainty. Importantly, the exact value of d max is not required in the controller design; rather, the control gains can be selected to be sufficiently large to dominate any admissible disturbance within this unknown bound. Moreover, the presence of a leader plays a pivotal role in formation control, serving as a reference that guides the collective motion and coordination of the multi-UAV system. The leader UAV is equipped with an independent control input channel, allowing real-time trajectory adjustment in response to dynamic environments. When u 0 ( t ) = 0 , the leader’s trajectory is fully determined by its initial conditions. In contrast, the availability of input freedom enables the leader to actively adapt to environmental changes, such as obstacle avoidance or mission replanning, while ensuring safe and goal-directed navigation. Furthermore, the incorporation of an input saturation constraint u 0 max prevents actuator overloading and ensures compatibility with practical implementation constraints.
This paper aims to design a distributed PTF controller for multi-UAV systems under directed communication topologies and unknown disturbances. The controller must ensure that all followers converge to a predefined geometric configuration relative to the leader within a user-specified time T p , independent of initial conditions and external disturbances, defined as follows.
Definition 1.
The PTF problem of multi-UAV systems (5) and (6) is said to be achieved by introducing a control law such that given any initial states p i ( t 0 ) , i V , there exists a prescribed settling time T p 0 , by user, which satisfies the following equation  
lim t T p ( p i ( t ) p 0 ( t ) h i ) = 0 , p i ( t ) p 0 ( t ) h i = 0 , t > T p
where h = [ h 1 , h 2 , , h N ] is the rigid desired formation vector.
For the ith UAV, if the error p ¯ i = p i ( t ) h i is defined, then the dynamics of the error is described by
p ¯ ˙ i t = u i t + d i t , i V .
It is worth noting that the formation control problem can be reformulated as a leader-following consensus problem under a unified framework. In particular, the consensus tracking problem emerges as a special case of formation control when the desired relative formation offsets are zero, i.e.,  h = 0 N . This equivalence allows consensus-based techniques to be directly employed for formation tasks, and it also highlights that formation control generalizes consensus by incorporating nonzero formation vectors that define desired geometric configurations among agents.
Despite the well-defined problem formulation, there are several key challenges in developing PTF control for multi-UAV systems under directed topology and unknown disturbances. First, it is essential to prevent the controller from exhibiting unbounded singularities as it approaches the prescribed-time point. Second, the system’s robustness and convergence accuracy after the prescribed time must be ensured. Third, the prescribed time should be entirely determined by the user, eliminating any dependency on the initial state or design parameters. Lastly, it is necessary to simplify the complex theoretical framework to facilitate practical implementation.

3. Main Results

In this section, a prescribed-time corollary is rigorously constructed to build the foundation for convergence guarantees independent of initial states and design parameters. Building upon this result, a robust PTF controller is proposed to address the challenges of directed communication topologies and external disturbances, while maintaining the prescribed-time convergence. The controller ensures that the first-order follower UAVs with input disturbances can achieve the desired geometric configuration driven by the leader UAV within a predefined time. Moreover, Figure 1 shows the research process described in this paper.

3.1. Prescribed-Time Stability Theory

Before introducing the prescribed-time stability theory, we present some traditional prescribed-time control methods. Existing prescribed-time control methods in the literature primarily adopt the following two frameworks: state scaling-based [35] and time scaling-based frameworks [38,53].
A widely adopted monotonically increasing function in a state scaling-based approach is defined as follows:
μ ( t ) = T T t , t 0 , T
where μ ( t ) satisfied μ ( 0 ) = 1 and μ ( T ) + as t T . By designing a control law to ensure the boundedness of z = μ ( t ) x , the original state x is implicitly driven to zero when t approaches T.
A common temporal axis mapping function in a time scaling-based approach is defined as follows:
t = T ( 1 e τ ) , i . e . , τ = a ( t ) = ln T ln ( T t )
with the properties (1) a ( 0 ) > 0 and a ( T ) = + ; (2) a ( t ) is smooth ( C 1 -continuous) over t 0 , T ; and (3) the derivative a ( t ) > 0 diverges as t T .
While these prescribed-time control approaches offer advantages over traditional fixed-time approaches, there are two fundamental limitations in existing state scaling-based and time scaling-based approaches. One issue is unbounded controller gain at the prescribed time. This singularity risks actuator saturation, thus affecting real-world applicability. Another is that the controller either restricts the operation to a finite interval t [ 0 , T p ) or sets it to zero after the prescribed-time instant. This leaves the system uncontrolled outside of the prescribed time, making it susceptible to disturbances that can disrupt the system’s performance even under minor disturbances.
Corollary 1.
From Lemma 2, the settling time T f can be predefined as T p if the parameters ρ 1 , ρ 2 are chosen as
ρ 1 = 1 ( p 1 ) ( 1 γ ) T p , ρ 2 = 1 γ T p
where γ is a positive constant satisfying 0 < γ < 1 , and  T p is independent of initial states and design parameters.
Proof. 
Substituting the expressions for ρ 1 and ρ 2 from Lemma 2 into Equation (3) yields
T f = 1 ( 1 ( p 1 ) ( 1 γ ) T p ) ( p 1 ) + 1 1 γ T p = ( 1 γ ) T p + γ T p = T p
Thus, the settling time T f is equal to the desired predefined time T p and T f T p holds.    □
Remark 2.
The fixed-time stability result established in Lemma 2 ensures that the system states converge to the equilibrium within a uniform upper bound T f , regardless of the initial conditions. Building upon this, Corollary 1 demonstrates that the convergence time can be precisely prescribed to any desired value T p by appropriately designing the Lyapunov function or tuning the control parameters—specifically, the functions ρ 1 and ρ 2 in Equation (11). This prescribed-time convergence capability is particularly beneficial for time-critical applications, such as missile interception, real-time robotic coordination, and deadline-constrained task execution, where strict temporal guarantees are essential for mission success.
Remark 3.
Corollary 1 presents a novel, flexible, and easily implementable approach to achieve prescribed-time convergence. By properly designing specific parameters, it guarantees prescribed-time stability while effectively avoiding the singularity issues that commonly arise in traditional methods based on state and time scaling near the convergence instant. This framework explicitly establishes the relationship between the prescribed-time T p and the design parameters ( ρ 1 , ρ 2 , γ). In particular,  parameter γ serves as a tuning knob to balance the respective contributions of ρ 1 and ρ 2 to the settling time, thereby enabling a more versatile and robust control strategy. It is worth emphasizing that the choice of T p should carefully consider the physical limitations of the actuators to prevent potential input saturation during execution.

3.2. Prescribed-Time Formation Tracking Controller Design

Designing distributed PTF tracking control protocols for multi-UAV systems under directed topologies and external disturbances requires addressing the following two conflicting objectives: achieving prescribed-time convergence without singularity and maintaining robustness against unknown disturbances. Existing prescribed-time methods often rely on time-varying scaling functions, which can potentially lead to actuator saturation or destabilize the system when subjected to disturbances. To overcome these limitations, we propose a novel protocol for follower i based on Corollary 1 as follows
u i t = c sgn j = 1 N a i j p ¯ i t p ¯ j t + b i 0 ( p ¯ i ( t ) p 0 ( t ) ) c j = 1 N a i j p ¯ i t p ¯ j t + b i 0 ( p ¯ i ( t ) p 0 ( t ) ) α ,
where α > 1 and c > 0 . Here, the signum function ( sgn · ) provides active disturbance rejection by compensating for bounded perturbations, while the power-exponential term ( · α = · α sgn ( · ) ) ensures finite-time convergence acceleration. Crucially,  exponent α and gain c are systematically designed (see Theorem 1) to eliminate singularity at t = T p , unlike traditional time-varying approaches.
Remark 4.
The introduction of the signum function in the controller is primarily aimed at handling disturbances and achieving a fast convergence rate. However, its discontinuous nature introduces challenges such as high-frequency oscillations or chattering. In application, one can consider rewriting it using functions that provide similar functionality but with smoother behavior, such as the tan h ( ) function. These alternatives can help mitigate the chattering issue while still achieving the desired control objectives.
Remark 5.
In some existing prescribed-time controllers, a gain truncation method was proposed to solve the singularity issue, which sets the controller to a constant when time exceeds the prescribed time. This can make the system state vulnerable to external disturbances. In contrast, the controller proposed in this paper is defined for the entire period. It not only avoids the singularity problem but also offers better disturbance rejection capabilities. This unified design makes it ideal for safety-critical tasks like spacecraft formation or robotic swarms in dynamic environments.
To rigorously characterize the deviation of each follower from the desired formation configuration, we define the formation tracking error for follower i as
ξ i = p ¯ i ( t ) p 0 ( t ) .
By differentiating Equation (14) with respect to time t, the dynamics of the formation tracking error ξ i ( t ) can be derived as follows
ξ i ˙ ( t ) = c sgn j = 1 N a i j ξ i t ξ j t + b i 0 ξ i ( t ) c j = 1 N a i j ξ i t ξ j t + b i 0 ξ i ( t ) α + d i ( t ) u 0 ( t ) .
Let ξ = ξ 1 , , ξ N denote the formation tracking error vector. Its time derivative is derived as
ξ ˙ = c sgn H I n ξ ( t ) c ( H I n ) ξ ( t ) α + d ( t ) u 0 ( t ) 1
To simplify analysis, an auxiliary error variable δ i ( t ) is introduced as
δ i t = j = 1 N a i j p ¯ i t p ¯ j t + b i 0 ( p ¯ i ( t ) p 0 ( t ) ) = j = 1 N a i j ξ i t ξ j t + b i 0 ξ i
By incorporating the formation tracking error dynamics (16) into (17), the time derivative of the error function (17) can be compactly expressed as
δ ˙ ( t ) = H c sgn δ ( t ) c δ ( t ) α + d ( t ) u 0 ( t ) 1
where δ t = δ 1 t , , δ N t T , δ = H I n ξ .
Theorem 1.
Under Assumptions 1–3, the PTF objective for the multi-UAV system governed by Equations (5) and (6) can be achieved by implementing the control law (13). Notably, the convergence time T p is user-defined and remains independent of both the initial system states and the specific control parameters. Once T p is selected, the remaining parameters involved in the control design are computed as follows:  
γ = 2 ( α 1 ) β 1 2 ( α 1 ) β 1 + α + 1 ,
β 1 = N 2 N ζ max 2 α α + 1 ,
c = 4 + 2 ε γ T p λ min ( H ¯ ) γ T p ,
where ζ max denotes the largest element of the vector ζ defined in Lemma 1. At the same time, to ensure the effectiveness of the controller, the power exponent must satisfy α > 1 and the control gain must satisfy c > 2 ε λ min ( H ¯ ) , where ε = Z L d max + Z B u 0 max is a combination term related to the magnitude of the disturbance.
In order to clarify the parameter design process and ensure that the control protocol meets the prescribed-time convergence and robustness requirements, a systematic parameter determination algorithm is proposed. The algorithm is based on the stability condition of Theorem 1, and the specific flow is shown in Algorithm 1.
Algorithm 1 Algorithm to determine the control parameters for PTF control
Input: User-specified prescribed-time T p ; The parameters d max ,   u 0 max ; Matrices related to communication topology L , B ; Design constraints α > 1 , 0 < γ < 1 .
Output: Singular-free PTF control protocol u i ( t ) (13) with parameters c , α .
Begin:
Step 1: Calculate λ min ( H ¯ ) , ζ max , ε .
Step 2: Determine the range of values of γ based on (19) and (20).
Step 3: Select γ and caculate c, α , then integrate into control law.
Step 4: Validate the control parameter c satisfies the constraint
ϕ = 1 2 c λ min H ¯ ε > 0 .
Step 5: Adjust γ and repeat step 3 through step 4 to balance the system performance and control efficiency.
End

3.3. Stability Analysis

To address the formation tracking problem of multi-UAV systems subject to external disturbances, the proposed control strategy is formulated within a Lyapunov-based framework. This design not only guarantees convergence within a prescribed time but also enhances robustness against bounded disturbances.
Proof. 
Consider the following Lyapunov candidate function:
V ( δ ( t ) ) = i = 1 N ζ i | δ i ( t ) | + i = 1 N ζ i | δ i ( t ) | α + 1 α + 1 ,
where ζ i > 0 are positive weights specified in Lemma 1. This function facilitates the stability analysis by showing that V ( δ ( t ) ) monotonically decreases over time, thereby ensuring the system’s convergence.
Taking the derivative of V with respect to time, we get
V ˙ δ ( t ) = i = 1 N ζ i sgn δ i ( t ) δ ˙ i ( t ) + i = 1 N ζ i sgn δ i ( t ) δ i ( t ) α e ˙ i .
Substituting the error dynamics into the derivative of V, we derive
V ˙ δ ( t ) = sgn δ ( t ) + δ ( t ) α T Z H c sgn δ ( t ) c δ ( t ) α + d ( t ) u 0 ( t ) 1 1 2 c λ min H ¯ sgn δ ( t ) + δ ( t ) α 2 + sgn δ ( t ) + δ ( t ) α T Z H d ( t ) u 0 ( t ) 1 ,
where the matrix H ¯ = Z H + H T Z is introduced in Lemma 1. The second term in (24) can be approximated by deriving an upper bound as follows:
sgn δ ( t ) + δ ( t ) α T Z H d ( t ) u 0 ( t ) 1 i = 1 n ζ i sgn δ i ( t ) + δ i ( t ) α H i d ( t ) u 0 ( t ) 1 ,
where H i denotes the ith row of H .
Since the signum function sgn δ i ( t ) and the power-exponential term δ i ( t ) α exhibit identical sign properties, it follows that
sgn δ i ( t ) + δ i ( t ) α sgn δ i ( t ) + δ i ( t ) α 2 .
To derive the upper bound of Equation (25), substituting Equation (26) into it yields
sgn δ ( t ) + δ ( t ) α T Z H d ( t ) u 0 ( t ) 1 sgn δ ( t ) + δ ( t ) α 2 Z H d ( t ) u 0 ( t ) 1 Z L d max + Z B u 0 max sgn δ ( t ) + δ ( t ) α 2 = ε sgn δ ( t ) + δ ( t ) α 2 .
where ε = Z L d max + Z B u 0 max . Furthermore, substituting (27) into (24) yields
V ˙ δ ( t ) 1 2 c λ min H ¯ sgn δ ( t ) + δ ( t ) α 2 + ε sgn δ ( t ) + δ ( t ) α 2 = ϕ i = 1 N sgn δ i ( t ) + 2 δ i ( t ) α + δ i ( t ) 2 α ,
where ϕ = 1 2 c λ min H ¯ ε > 0 .
We observe that the inequality sgn δ i ( t ) + δ i ( t ) α δ i ( t ) 2 α / α + 1 holds for α > 2 α α + 1 > 1 . Utilizing the result from Lemma 3, we further obtain
i = 1 N sgn δ i ( t ) + 2 δ i ( t ) α + δ i ( t ) 2 α i = 1 N δ i ( t ) 2 α / α + 1 + δ i ( t ) 2 α N 1 2 α α + 1 i = 1 N δ i ( t ) 2 α α + 1 + N 1 2 α α + 1 i = 1 N δ i ( t ) α + 1 2 α α + 1 2 N 1 2 α α + 1 i = 1 N δ i ( t ) + i = 1 N δ i ( t ) α + 1 2 α α + 1 .
Moreover, according to Equation (22), one gets
V δ ( t ) ζ max i = 1 N δ i ( t ) + i = 1 N δ i ( t ) α + 1 .
The time derivative of Lyapunov function V, obtained via the inequalities (28)–(30), satisfies
V ˙ δ ( t ) ϕ i = 1 N sgn δ i ( t ) + 2 δ i ( t ) α + δ i ( t ) 2 α ϕ 2 × 2 N 1 2 α α + 1 V δ ( t ) ζ max 2 α α + 1 ϕ 2 ϕ 2 × 2 N V δ ( t ) 2 N ζ max 2 α α + 1 ϕ 2 = ϕ β 1 V 2 α α + 1 δ ( t ) ϕ / 2 ,
where β 1 = N 2 N ζ max 2 α / α + 1 . Consequently, the Lyapunov function V δ ( t ) is guaranteed to converge to zero within a finite time. From the relationship ξ ( t ) = H 1 δ ( t ) = p ¯ ( t ) p 0 ( t ) 1 and given the invertibility of H , the formation tracking error stabilizes at the origin for all t T p . Further, according to Lemma 2 and Corollary 1, there exists a parameter γ satisfying 0 < γ < 1 such that, for any specified prescribed-time T p , the following equation is satisfied.
ϕ β 1 = 1 ( 2 α α + 1 1 ) ( 1 γ ) T p , ϕ 2 = 1 γ T p .
With parameters chosen according to Lemma 1, it is easy to see that the convergence time is T p , which can be predefined by the user without relying on any initial states or any design parameter. The proof is complete. □
In this section, a novel prescribed-time control strategy was developed to address the formation tracking problem of multi-UAV systems subject to external disturbances. Distinct from conventional scaling-based methods, the proposed scheme exploits a fixed-time stability lemma to construct a singularity-free control protocol that guarantees convergence within a user-defined time, independent of the initial states and control parameter selections. By integrating a Lyapunov-based analytical framework, the controller not only ensures prescribed-time stability but also enhances robustness against unknown but bounded disturbances. The proposed method is further validated under directed communication topologies, wherein all follower UAVs, guided by a dynamic leader, achieve and maintain the desired geometric formation precisely within the prescribed time horizon.
Remark 6.
It is worth noting that the proposed PTF controller allows followers to converge to the desired trajectory within the prescribed-time even in the presence of external disturbance, regardless of the initial states of the agents. Given prescribed-time T p and control parameter γ, the remaining parameters can be calculated according to Equations (19)–(21). It should be particularly pointed out that parameter γ is confined to a strict subset of ( 0 , 1 ) rather than being freely chosen over the whole interval as described in Lemma 1. This is because the system of nonlinear Equation (32) for the parameters γ, c, and α is derived rigorously by constructing a stability analysis based on the Lyapunov function. Therefore, the proposed control strategy in this paper simultaneously satisfies the dual requirements of prescribed-time convergence and external disturbance rejection at the cost of strict parameter constraints.
Remark 7.
Although the prescribed-time as a prior condition is independent of the initial states and design parameters, the tuning parameter γ affects the controller performance by influencing both α and c, the two key controller parameters. The parameter c, as the control gain, is primarily responsible for suppressing disturbances, while α, as the exponent, primarily governs the acceleration of convergence speed. As γ increases, control gain c decreases. Exponent α shows a non-monotonic dependence on γ, meaning that for a given γ, there can be multiple valid α values. Smaller values of both α and c result in lower energy consumption for control inputs but slower convergence speed, and vice versa. Therefore, γ can be used as an adjustable knob to balance system performance and controller efficiency.
Remark 8.
Compared with traditional prescribed-time methods that rely on introducing additional time-varying scaling functions or temporal mapping mechanisms, the proposed Lyapunov-based parameter design offers a more concise and feasible framework. Furthermore, the designed controller inherently integrates robustness against external disturbances without compromising the prescribed-time convergence guarantee. This dual capability of precise timing and disturbance rejection is particularly critical for safety-critical applications such as autonomous drone swarms in dynamic environments, industrial automation systems with real-time constraints, or collaborative robotics requiring strict synchronization. The unified structure ensures seamless operation across the entire time domain, avoiding post-convergence instability risks caused by abrupt gain truncation in conventional methods.

4. Simulation Results

This section presents two numerical examples to verify the effectiveness of the proposed control scheme. Example 1 illustrates the prescribed-time convergence property of the multi-UAV system under two distinct sets of initial conditions. Example 2 investigates the influence of the tuning parameter γ on the system’s convergence performance and control effort.
Example 1.
To validate the effectiveness of the proposed PTF control protocol (13), numerical simulations are conducted on a networked multi-UAV system comprising a leader and six followers. The leader’s dynamics are governed by p ˙ 0 t = [ 0.8 + cos ( 0.8 t ) , cos ( 2 t ) ] T . Each follower is subjected to bounded external disturbances given as
d i t = [ 0.4 sin 2 t , 0.5 sin ( t ) ] T .
The directed communication graph G contains a directed spanning tree rooted at the leader, as shown in Figure 2. This connectivity ensures that all followers can access the leader’s state through directed paths. The corresponding Laplacian matrix is defined as
L = 2 1 0 0 0 1 1 1 0 0 0 0 0 1 1 0 0 0 0 0 1 1 0 0 0 0 0 1 1 0 0 0 0 0 1 1 .
The followers are tasked with maintaining a hexagonal configuration centered around the leader. The prescribed-time is set as T p = 2 s . Following the parameter selection criteria in Equations (19)–(21), the control parameters of the proposed PTF control protocol (13) are taken as c = 222.44 and α = 1.5 . To demonstrate that the prescribed time is independent of the initial states of the agents, two cases with distinct initial conditions are tested.
Case 1 initializes the leader at p 0 = [ 3 , 2 ] T , with followers positioned at 0.5 , 1 T , 0.5 , 3 T , 1 , 1.5 T , 1 , 2.5 T , 2 , 1.2 T , and 2.2 , 1 T . Case 2 initializes the leader at p 0 = [ 15 , 10 ] T , with followers positioned at 10 , 5 T , 12 , 5 T , 10 , 7 T , 12 , 7 T , 8 , 6 T , and 10 , 8 T .
The simulation results are depicted in Figure 3, Figure 4, Figure 5 and Figure 6, from which we can clearly find out the effectiveness of the proposed PTF control law. Figure 3 illustrates the followers’ formation trajectories and the leader’s trajectory for case 1. It shows that six followers can quickly track the leader from any initial position and form a stable hexagonal formation centered around the leader within the prescribed time, T p = 2 s . Moreover, the desired formation shape can still be maintained after the prescribed time, T p , even in the presence of external disturbances, confirming the robustness of the proposed control protocol and its ability to avoid singularity issues. Figure 3 shows that the formation tracking error of all agents converges to zero within the prescribed time, which well demonstrates Theorem 1 effectively.
To further demonstrate that the settling time is independent of the initial state, the simulation results for Case 2 are presented in Figure 5 and Figure 6. As in Case 1, it is evident that formation tracking is achieved within T p = 2 s . Notably, the settling times in both cases are nearly identical, underscoring the independence of the prescribed time from the initial states. This characteristic sets the proposed control protocol apart from traditional time-varying gain methods, which often encounter singularity issues.
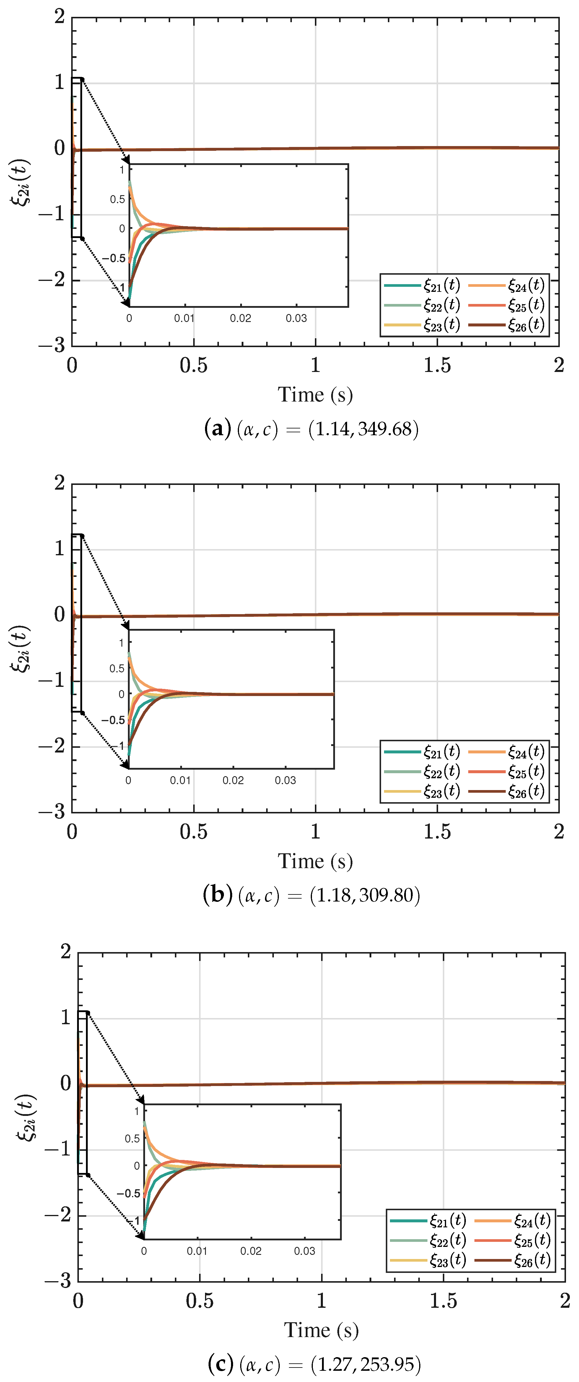
Example 2.
To further investigate the impact of tuning parameter γ on the system performance and controller efficiency while keeping the prescribed time unchanged, three different values of γ are selected for simulation as follows: (1) γ = 0.007 ; (2) γ = 0.008 ; and (3) γ = 0.010 . The prescribed time is set as T p = 2 s for all cases. The system dynamics, communication topology, and initial conditions remain the same as in case 1 of Example 1. Variations in parameter γ influence the values of α , c , subsequently affecting the performance of the controller. Table 1 presents three sets of parameters.
The simulation results are depicted in Figure 7 and Figure 8. We can see that the formation tracking errors converge to zero within the prescribed time across all cases. This confirms that the followers can quickly track the leader within the prescribed time and form a stable hexagonal formation centered around the leader. Notably, the specified prescribed-time convergence can be achieved under diverse ( α , c ) control parameter pairs, which demonstrates that the prescribed time, as a control parameter, is entirely user-specified and independent of other control parameters. However, parameters c and α directly affect the energy consumption of the control input. Table 1 illustrates that as γ increases, control gain c decreases while exponent α exhibits non-monotonic behavior. Theoretically, larger c and α values enhance disturbance rejection and accelerate convergence but demand higher energy consumption. Therefore, according to the actual application requirements, the appropriate controller parameters can be selected by adjusting γ to balance the system performance and control efficiency. For instance, case 1 ( γ = 0.007 ) demonstrates rapid stabilization with a high control gain c = 349.68 . However, this configuration results in significant energy costs of 1.03 × 10 7 , making it suitable for time-critical applications such as collision avoidance. In contrast, case 3 ( γ = 0.010 ) achieves energy-efficient operation with reduced control gain c = 253.95 and energy consumption 7.55 × 10 6 . This configuration is better suited for scenarios prioritizing energy conservation over speed, such as long-term environmental monitoring.
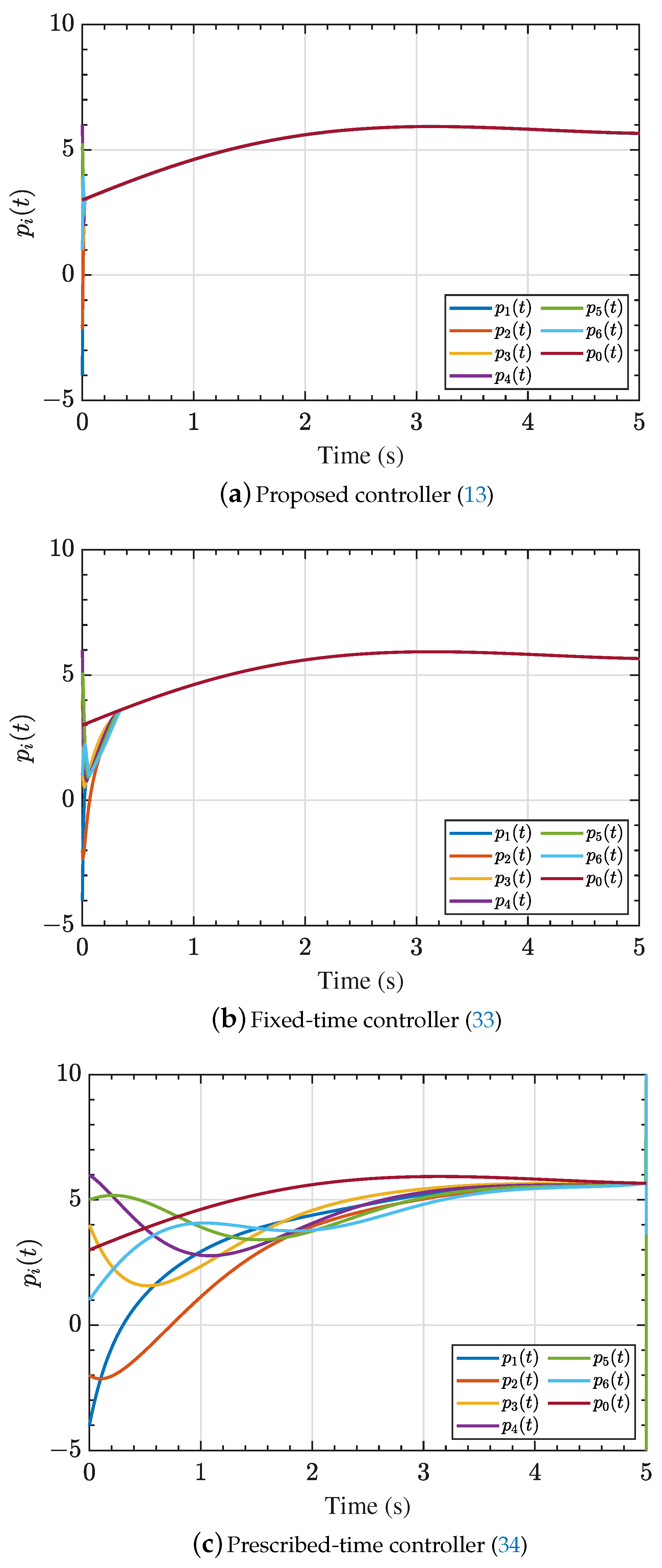
Example 3.
To demonstrate the superiority of the proposed prescribed-time controller, we conducted a simulation comparison with the fixed-time controller (33) and prescribed-time controller (34) described in reference [34]. The purpose of the comparison is to highlight its superior performance in terms of convergence speed and accuracy within the prescribed time, as well as its effectiveness after the prescribed time. The comparison controllers mentioned above are as follows:
u i = α j N i a i j ( x j x i ) + b i ( x 0 x i ) 1 a b + β j N i a i j ( x j x i ) + b i ( x 0 x i ) 1 + a b + γ sign j N i a i j ( x j x i ) + b i ( x 0 x i ) ,
u i = η 1 t p r e t j N i a i j ( x j x i ) + b i ( x 0 x i ) , t ( 0 , t p r e ) , 0 , t [ t p r e , ) .
For simplicity, we set the rigid desired formation vector h as a zero vector, simplifying the formation tracking problem to a leader–follower consensus problem. The topology remains consistent with Example 1. The leader’s dynamics are governed by p ˙ 0 t = 0.8 + cos ( 0.8 t ) . Each follower is subjected to bounded external disturbances given as d i t = 0.5 sin ( t ) . The initial state of the leader UAV is set as p 0 = 3 . The initial states of the followers are set as p = [ 4 , 2 , 4 , 6 , 5 , 1 ] . The parameters of the comparison controllers are selected according to the guidelines in the reference, outlined as follows: a = 4 , b = 9 , α = 1.5 , β = 9 , γ = 8 , and η 1 = 8 .The prescribed time is set as T p = 5 s .
Figure 9 illustrates the trajectories of all UAVs before the prescribed time. It is evident that under all controllers, the leader–follower consensus can be successfully achieved prior to the prescribed time. Table 2 further presents a comparison of key quantitative metrics, including the settling time, tracking error, and energy consumption. The proposed controller (13) exhibits the fastest convergence rate, followed by the fixed-time controller (33), while the prescribed-time controller (34) converges exactly at the prescribed time. From the perspective of the root mean square error of the tracking error, the proposed controller demonstrates superior convergence accuracy compared to both the fixed-time controller (33) and the prescribed-time controller (34). This is attributed to the larger control inputs utilized by the proposed controller, which drive the system to converge more rapidly toward the target trajectory. However, the prescribed-time controller (34) exhibits the highest control energy consumption due to infinite control gain at the prescribed-time point.
To further validate the robustness and effectiveness of the proposed controller (13) after the prescribed time, the simulation time is extended to 8 s. Traditional prescribed-time controllers (34) are generally defined only before the prescribed time, and their control actions are set to zero thereafter. Figure 10 shows the trajectories of all UAVs after the prescribed time. It can be observed that, even in the presence of external disturbances, the proposed controller remains effective throughout the entire time domain. In contrast, the prescribed-time controller (34) results in a discontinuity in the follower’s state at the prescribed time. After the prescribed time, this controller fails to suppress disturbances and accurately track the leader. This demonstrates the robustness of the proposed control protocol and its ability to avoid singularity issues. In comparison with the fixed-time controller (33), although it maintains leader–follower consensus after the prescribed time, it lacks guidelines for selecting controller parameters that depend on the prescribed time. In summary, the proposed controller exhibits superior robustness and effectiveness, particularly in terms of parameter tuning, disturbance rejection, and avoidance of control singularities.

5. Conclusions

This paper has developed a new control scheme to address the PTF tracking problem for multi-UAV systems under external disturbances and directed communication topologies. A novel prescribed-time stability result was established by extending fixed-time stability theory through parameterized Lyapunov design, enabling singularity-free convergence within a user-defined finite time. Based on this theoretical foundation, a robust PTF controller was constructed to ensure convergence under directed topologies and disturbance conditions. Rigorous Lyapunov-based analysis and graph-theoretic tools were employed to establish the stability of the closed-loop system. Numerical simulations further validated the proposed approach, demonstrating that the formation tracking errors converge to zero within the prescribed time and the desired formation configuration is maintained despite disturbances beyond this time. Notably, the prescribed-time convergence is independent of initial conditions and control parameters, enhancing predictability and implementation robustness. Moreover, the controller includes a tunable parameter, γ , which enables flexible adjustment between transient performance and control effort based on specific application requirements.
Future research will aim to extend the proposed control framework to a broader class of dynamical systems beyond the first-order model considered in this study. In particular, efforts will be directed toward the development of resilient and adaptive control protocols capable of relaxing some of the current structural assumptions, such as the boundedness of external disturbances and the idealized communication topology. Addressing challenges posed by unbounded or rapidly varying disturbances, intermittent communication, and potential denial-of-service (DoS) attacks will be essential for enhancing system robustness in adversarial or highly dynamic environments. In addition, future work will involve the implementation and validation of the proposed control scheme on real-world hardware platforms, such as quadrotor UAVs or robotic swarms, to assess its performance under practical constraints including sensor noise, actuator saturation, and computational limitations. These experimental efforts will bridge the gap between theoretical analysis and field deployment, thereby demonstrating the applicability and scalability of the proposed PTF tracking method in complex, uncertain, and time-sensitive mission scenarios.

Author Contributions

R.R.: Conceptualization, Methodology, and Writing—original draft. M.S. and B.L.: Writing—original draft—and Numerical simulation. M.L. and K.Q.: Validation and Writing—review and editing. Z.L.: Validation; Writing—review and editing; and Supervision. All authors have read and agreed to the published version of the manuscript.

Funding

This work was supported by the Natural Science Foundation of Sichuan Province (2024NSFSC0021), the Sichuan Science and Technology Programs (MZGC20240139), the Fundamental Research Funds for the Central Universities (ZYGX2024K028, ZYGX2025K028).

Data Availability Statement

The original contributions presented in the study are included in the article, further inquiries can be directed to the corresponding author.

Conflicts of Interest

The authors declare that they have no known competing financial interests or personal relationships that could have appeared to influence the work reported in this paper.

References

  1. Javed, S.; Hassan, A.; Ahmad, R.; Ahmed, W.; Ahmed, R.; Saadat, A.; Guizani, M. State-of-the-art and future research challenges in uav swarms. IEEE Internet Things J. 2024, 11, 19023–19045. [Google Scholar] [CrossRef]
  2. Khodaverdian, M.; Hajshirmohamadi, S.; Hakobyan, A.; Ijaz, S. Predictor-based constrained fixed-time sliding mode control of multi-UAV formation flight. Aerosp. Sci. Technol. 2024, 148, 109113. [Google Scholar] [CrossRef]
  3. Citroni, R.; Di Paolo, F.; Livreri, P. A novel energy harvester for powering small UAVs: Performance analysis, model validation and flight results. Sensors 2019, 19, 1771. [Google Scholar] [CrossRef]
  4. Chang, X.; Yang, Y.; Zhang, Z.; Jiao, J.; Cheng, H.; Fu, W. Consensus-Based Formation Control for Heterogeneous Multi-Agent Systems in Complex Environments. Drones 2025, 9, 175. [Google Scholar] [CrossRef]
  5. Li, W.; Qin, K.; Li, G.; Shi, M.; Zhang, X. Robust bipartite tracking consensus of multi-agent systems via neural network combined with extended high-gain observer. ISA Trans. 2023, 136, 31–45. [Google Scholar] [CrossRef] [PubMed]
  6. Lan, J.; Liu, Y.J.; Yu, D.; Wen, G.; Tong, S.; Liu, L. Time-varying optimal formation control for second-order multiagent systems based on neural network observer and reinforcement learning. IEEE Trans. Neural Netw. Learn. Syst. 2022, 35, 3144–3155. [Google Scholar] [CrossRef]
  7. Liang, C.; Liu, L.; Li, L.; Yan, D. Distributed Event-Triggered-Based Adaptive Formation Tracking Control for Multi-UAV Systems Under Fixed and Switched Topologies. Drones 2025, 9, 259. [Google Scholar] [CrossRef]
  8. Li, W.; Yue, J.; Shi, M.; Lin, B.; Qin, K. Neural network-based dynamic target enclosing control for uncertain nonlinear multi-agent systems over signed networks. Neural Netw. 2025, 184, 107057. [Google Scholar] [CrossRef]
  9. Liu, X.; Xiang, X.; Chang, Y.; Yan, C.; Zhou, H.; Tang, D. Hierarchical weighting vicsek model for flocking navigation of drones. Drones 2021, 5, 74. [Google Scholar] [CrossRef]
  10. Li, W.; Shi, M.; Shi, L.; Lin, B.; Qin, K. Containment tracking for networked agents subject to nonuniform communication delays. IEEE Trans. Netw. Sci. Eng. 2023, 10, 3658–3669. [Google Scholar] [CrossRef]
  11. Murray, R.M. Recent research in cooperative control of multivehicle systems. J. Dyn. Syst. Meas. Control 2007, 129, 571–583. [Google Scholar] [CrossRef]
  12. Tan, G.; Zhuang, J.; Zou, J.; Wan, L. Coordination control for multiple unmanned surface vehicles using hybrid behavior-based method. Ocean Eng. 2021, 232, 109147. [Google Scholar] [CrossRef]
  13. Balch, T.; Arkin, R.C. Behavior-based formation control for multirobot teams. IEEE Trans. Robot. Autom. 1998, 14, 926–939. [Google Scholar] [CrossRef]
  14. Liu, Z.Q.; Ge, X.; Xie, H.; Han, Q.L.; Zheng, J.; Wang, Y.L. Secure leader-follower formation control of networked mobile robots under replay attacks. IEEE Trans. Ind. Inform. 2023, 20, 4149–4159. [Google Scholar] [CrossRef]
  15. Cui, R.; Ge, S.S.; How, B.V.E.; Choo, Y.S. Leader–follower formation control of underactuated autonomous underwater vehicles. Ocean Eng. 2010, 37, 1491–1502. [Google Scholar] [CrossRef]
  16. Ding, W.; Zhang, L.; Zhang, G.; Wang, C.; Chai, Y.; Yang, T.; Mao, Z. Research on obstacle avoidance of multi-AUV cluster formation based on virtual structure and artificial potential field method. Comput. Electr. Eng. 2024, 117, 109250. [Google Scholar] [CrossRef]
  17. Ren, W.; Beard, R.W. Formation feedback control for multiple spacecraft via virtual structures. IEE Proc.-Control Theory Appl. 2004, 151, 357–368. [Google Scholar] [CrossRef]
  18. Lewis, M.A.; Tan, K.H. High precision formation control of mobile robots using virtual structures. Auton. Robot. 1997, 4, 387–403. [Google Scholar] [CrossRef]
  19. Ren, W. Consensus strategies for cooperative control of vehicle formations. IET Control Theory Appl. 2007, 1, 505–512. [Google Scholar] [CrossRef]
  20. Liu, B.; Wang, L.; Wang, Q.; Fu, B. Time-varying formation tracking of multi-agent systems with multiple leaders based on aperiodic time-triggered intermittent control. Chaos Solitons Fractals 2024, 188, 115545. [Google Scholar] [CrossRef]
  21. Dong, X.; Hu, G. Time-varying formation control for general linear multi-agent systems with switching directed topologies. Automatica 2016, 73, 47–55. [Google Scholar] [CrossRef]
  22. Guo, M.; Zavlanos, M.M.; Dimarogonas, D.V. Controlling the relative agent motion in multi-agent formation stabilization. IEEE Trans. Autom. Control 2013, 59, 820–826. [Google Scholar] [CrossRef]
  23. Li, W.; Zhou, S.; Shi, M.; Yue, J.; Lin, B.; Qin, K. Collision avoidance time-varying group formation tracking control for multi-agent systems. Appl. Intell. 2025, 55, 175. [Google Scholar] [CrossRef]
  24. Zhang, A.; Wang, Z.; Qin, H.; Xue, Y. Average consensus time-varying formation control of underactuated autonomous underwater vehicles based on event triggering decoupling mechanism. Ocean Eng. 2024, 291, 116490. [Google Scholar] [CrossRef]
  25. Kuriki, Y.; Namerikawa, T. Consensus-based cooperative formation control with collision avoidance for a multi-UAV system. In Proceedings of the 2014 American Control Conference, Portland, OR, USA, 4–6 June 2014; IEEE: Piscataway, NJ, USA, 2014; pp. 2077–2082. [Google Scholar]
  26. Amirkhani, A.; Barshooi, A.H. Consensus in multi-agent systems: A review. Artif. Intell. Rev. 2022, 55, 3897–3935. [Google Scholar] [CrossRef]
  27. Peng, H.; Huang, B.; Jin, M.; Zhu, C.; Zhuang, J. Distributed finite-time bearing-based formation control for underactuated surface vessels with Levant differentiator. ISA Trans. 2024, 147, 239–251. [Google Scholar] [CrossRef]
  28. Shou, Y.; Xu, B.; Lu, H.; Zhang, A.; Mei, T. Finite-time formation control and obstacle avoidance of multi-agent system with application. Int. J. Robust Nonlinear Control 2022, 32, 2883–2901. [Google Scholar] [CrossRef]
  29. Nair, R.R.; Behera, L.; Kumar, S. Event-triggered finite-time integral sliding mode controller for consensus-based formation of multirobot systems with disturbances. IEEE Trans. Control Syst. Technol. 2017, 27, 39–47. [Google Scholar] [CrossRef]
  30. Wang, J.; Li, Y.; Wu, Y.; Liu, Z.; Chen, K.; Chen, C.P. Fixed-time formation control for uncertain nonlinear multi-agent systems with time-varying actuator failures. IEEE Trans. Fuzzy Syst. 2024, 32, 1965–1977. [Google Scholar] [CrossRef]
  31. Wang, N.; Li, H. Leader–follower formation control of surface vehicles: A fixed-time control approach. ISA Trans. 2022, 124, 356–364. [Google Scholar] [CrossRef] [PubMed]
  32. Gao, Z.; Guo, G. Fixed-time sliding mode formation control of AUVs based on a disturbance observer. IEEE/CAA J. Autom. Sin. 2020, 7, 539–545. [Google Scholar] [CrossRef]
  33. Song, Y.; Wang, Y.; Holloway, J.; Krstic, M. Time-varying feedback for regulation of normal-form nonlinear systems in prescribed finite time. Automatica 2017, 83, 243–251. [Google Scholar] [CrossRef]
  34. Ning, B.; Han, Q.L.; Zuo, Z.; Ding, L.; Lu, Q.; Ge, X. Fixed-time and prescribed-time consensus control of multiagent systems and its applications: A survey of recent trends and methodologies. IEEE Trans. Ind. Inform. 2022, 19, 1121–1135. [Google Scholar] [CrossRef]
  35. Yong, C.; Guangming, X.; Huiyang, L. Reaching consensus at a preset time: Single-integrator dynamics case. In Proceedings of the 31st Chinese Control Conference, Hefei, China, 25–27 July 2012; IEEE: Piscataway, NJ, USA, 2012; pp. 6220–6225. [Google Scholar]
  36. Liu, Y.; Li, Y. Prescribed-Time Formation Control for Unmanned Surface Vehicle Systems under Switching Topology. IEEE Trans. Intell. Veh. 2024, 9, 5750–5760. [Google Scholar] [CrossRef]
  37. Wang, Y.; Song, Y.; Hill, D.J.; Krstic, M. Prescribed-time consensus and containment control of networked multiagent systems. IEEE Trans. Cybern. 2018, 49, 1138–1147. [Google Scholar] [CrossRef]
  38. Pal, A.K.; Kamal, S.; Yu, X.; Nagar, S.K.; Xiong, X. Free-will arbitrary time consensus for multiagent systems. IEEE Trans. Cybern. 2020, 52, 4636–4646. [Google Scholar] [CrossRef] [PubMed]
  39. Li, X.; Zhu, Y.; Zhao, X.; Lu, J. Bearing-based prescribed time formation tracking for second-order multi-agent systems. IEEE Trans. Circuits Syst. II Express Briefs 2022, 69, 3259–3263. [Google Scholar] [CrossRef]
  40. Ding, T.F.; Ge, M.F.; Xiong, C.; Liu, Z.W.; Ling, G. Prescribed-time formation tracking of second-order multi-agent networks with directed graphs. Automatica 2023, 152, 110997. [Google Scholar] [CrossRef]
  41. Jiang, X.; Xia, G. Sliding mode formation control of leaderless unmanned surface vehicles with environmental disturbances. Ocean Eng. 2022, 244, 110301. [Google Scholar] [CrossRef]
  42. Lü, H.; He, W.; Han, Q.L.; Ge, X.; Peng, C. Finite-time containment control for nonlinear multi-agent systems with external disturbances. Inf. Sci. 2020, 512, 338–351. [Google Scholar] [CrossRef]
  43. Zheng, C.B.; Pang, Z.H.; Wang, J.X.; Gao, S.; Sun, J.; Liu, G.P. Time-varying formation prescribed performance control with collision avoidance for multi-agent systems subject to mismatched disturbances. Inf. Sci. 2023, 633, 517–530. [Google Scholar] [CrossRef]
  44. Wang, D.; Zong, Q.; Tian, B.; Shao, S.; Zhang, X.; Zhao, X. Neural network disturbance observer-based distributed finite-time formation tracking control for multiple unmanned helicopters. ISA Trans. 2018, 73, 208–226. [Google Scholar] [CrossRef]
  45. Yang, S.; Bai, W.; Li, T.; Shi, Q.; Yang, Y.; Wu, Y.; Chen, C.P. Neural-network-based formation control with collision, obstacle avoidance and connectivity maintenance for a class of second-order nonlinear multi-agent systems. Neurocomputing 2021, 439, 243–255. [Google Scholar] [CrossRef]
  46. Zhang, Z.; Bao, W.; Hou, Q.; Ju, Y.; Gao, Y. Disturbance Estimation and Predefined-Time Control Approach to Formation of Multi-Spacecraft Systems. Sensors 2024, 24, 5671. [Google Scholar] [CrossRef] [PubMed]
  47. Li, B.; Gong, W.; Xiao, B.; Yang, Y. Distributed prescribed-time leader-following formation control for second-order multi-agent systems with mismatched disturbances. Int. J. Robust Nonlinear Control 2023, 33, 9781–9803. [Google Scholar] [CrossRef]
  48. Jiang, Y.; Liu, Z.; Chen, Z. Prescribed-time distributed formation control for a class of nonlinear multi-agent systems subject to internal uncertainties and external disturbances. Nonlinear Dyn. 2023, 111, 1643–1655. [Google Scholar] [CrossRef]
  49. Song, Y.; Wang, Y.; Krstic, M. Time-varying feedback for stabilization in prescribed finite time. Int. J. Robust Nonlinear Control 2019, 29, 618–633. [Google Scholar] [CrossRef]
  50. Li, Z.; Wen, G.; Duan, Z.; Ren, W. Designing fully distributed consensus protocols for linear multi-agent systems with directed graphs. IEEE Trans. Autom. Control 2014, 60, 1152–1157. [Google Scholar] [CrossRef]
  51. Hu, C.; Yu, J.; Chen, Z.; Jiang, H.; Huang, T. Fixed-time stability of dynamical systems and fixed-time synchronization of coupled discontinuous neural networks. Neural Netw. 2017, 89, 74–83. [Google Scholar] [CrossRef]
  52. Hardy, G.H.; Littlewood, J.E.; Pólya, G. Inequalities; Cambridge University Press: Cambridge, UK, 1952. [Google Scholar]
  53. Cui, B.; Wang, Y.; Liu, K.; Xia, Y. Sliding mode based prescribed-time consensus tracking control of second-order multi-agent systems. Automatica 2023, 158, 111296. [Google Scholar] [CrossRef]
Figure 1. Flowchart of the proposed prescribed-time formation control scheme.
Figure 1. Flowchart of the proposed prescribed-time formation control scheme.
Drones 09 00452 g001
Figure 2. Directed graph among agents.
Figure 2. Directed graph among agents.
Drones 09 00452 g002
Figure 3. Trajectories of agents in case 1.
Figure 3. Trajectories of agents in case 1.
Drones 09 00452 g003
Figure 4. Formation tracking errors of 6 followers on the X-axis and Y-axis in case 1.
Figure 4. Formation tracking errors of 6 followers on the X-axis and Y-axis in case 1.
Drones 09 00452 g004
Figure 5. Trajectories of agents in case 2.
Figure 5. Trajectories of agents in case 2.
Drones 09 00452 g005
Figure 6. Formation tracking errors of 6 followers on the X-axis and Y-axis in case 2.
Figure 6. Formation tracking errors of 6 followers on the X-axis and Y-axis in case 2.
Drones 09 00452 g006
Figure 7. Prescribed-time controller (34).
Figure 7. Prescribed-time controller (34).
Drones 09 00452 g007
Figure 8. Formation tracking errors of 6 followers on Y-axis.
Figure 8. Formation tracking errors of 6 followers on Y-axis.
Drones 09 00452 g008
Figure 9. Trajectories of all UAVs before the prescribed time under three controllers.
Figure 9. Trajectories of all UAVs before the prescribed time under three controllers.
Drones 09 00452 g009
Figure 10. Trajectories of all UAVs after the prescribed time under three controllers.
Figure 10. Trajectories of all UAVs after the prescribed time under three controllers.
Drones 09 00452 g010
Table 1. Controller parameters for different values of γ when T p = 2 s .
Table 1. Controller parameters for different values of γ when T p = 2 s .
Case γ α c 1 N i = 1 N u i 2 dt
10.0071.14/3.35349.68 1.03 × 10 7 / 3.46 × 10 8
20.0081.18/2.89309.80 8.92 × 10 6 / 4.85 × 10 7
30.0101.27/2.22253.95 7.55 × 10 6 / 1.31 × 10 7
Table 2. Comparison of performance indicators of three controllers.
Table 2. Comparison of performance indicators of three controllers.
ControllersSettling Time ξ RMSE 1 N i = 1 N u i 2 dt
Proposed controller (13)0.03 s0.1051 7.33 × 10 8
Fixed-time controller (33)0.32 s0.4695 1.46 × 10 7
Prescribed-time controller (34)5 s1.7836 1.93 × 10 14
Disclaimer/Publisher’s Note: The statements, opinions and data contained in all publications are solely those of the individual author(s) and contributor(s) and not of MDPI and/or the editor(s). MDPI and/or the editor(s) disclaim responsibility for any injury to people or property resulting from any ideas, methods, instructions or products referred to in the content.

Share and Cite

MDPI and ACS Style

Ren, R.; Qin, K.; Luo, Z.; Lin, B.; Li, M.; Shi, M. Distributed Prescribed-Time Formation Tracking Control for Multi-UAV Systems with External Disturbances. Drones 2025, 9, 452. https://doi.org/10.3390/drones9070452

AMA Style

Ren R, Qin K, Luo Z, Lin B, Li M, Shi M. Distributed Prescribed-Time Formation Tracking Control for Multi-UAV Systems with External Disturbances. Drones. 2025; 9(7):452. https://doi.org/10.3390/drones9070452

Chicago/Turabian Style

Ren, Ruichi, Kaiyu Qin, Zhenbing Luo, Boxian Lin, Meng Li, and Mengji Shi. 2025. "Distributed Prescribed-Time Formation Tracking Control for Multi-UAV Systems with External Disturbances" Drones 9, no. 7: 452. https://doi.org/10.3390/drones9070452

APA Style

Ren, R., Qin, K., Luo, Z., Lin, B., Li, M., & Shi, M. (2025). Distributed Prescribed-Time Formation Tracking Control for Multi-UAV Systems with External Disturbances. Drones, 9(7), 452. https://doi.org/10.3390/drones9070452

Article Metrics

Back to TopTop