Drone-Based Instant Delivery Hub-and-Spoke Network Optimization
Abstract
1. Introduction
2. Related Studies
2.1. Instant Delivery
2.2. Hub-and-Spoke Network Optimization
2.3. Drone-Based Facility Location Problems
3. Problem Statement
4. Formulation
4.1. Baseline Hub-and-Spoke Optimization Model
| Sets | |
| is a set of nodes, namely, spokes and potential hubs; H is a set of hubs, and is the number of hubs. | |
| Data | |
| Distance from the node to , = 0 for all ; assume that the triangle inequality is satisfied, | |
| The consolidation (from spokes to hubs), transshipment (among hubs), and distribution (from hubs to spokes) cost discounts. | |
| Cargo flow from the node to | |
| Cargo flow originated from the node | |
| Cargo flow destinated to the node | |
| Number of hubs. | |
| Variables | |
| if the spoke i is assigned to the hub k; otherwise, 0. represents that k is chosen as a hub. | |
| The flow originated from the spoke , through the hubs k and h sequentially to the target spoke |
4.2. Extended Bi-Objective Optimization Models
5. Solution Algorithm
5.1. Solving Bi-Objective Models by -Constraints
5.2. Evaluating Solutions with Determined Hubs
| Algorithm 1. Evaluate an HSN solution determined by given hubs (eval) | |
| Inputs | |
| A set of hubs,. | |
| Outputs | Logistics cost and loss of orders,. |
| Steps | |
| Step 1 | Assign spokes to hubs |
| . | |
| Step 2 | Calculate logistics cost |
| . | |
| . | |
| . | |
| . | |
| Step 3 | Calculate loss of orders |
| . | |
| . | |
| Step 4 | Return |
5.3. Evolutionary Algorithms Based on NSGA-II
5.3.1. Introducing NSGA-II-Based EAs
5.3.2. An Evolutionary Algorithm Framework Based on NSGA-II
| Algorithm 2. An EA based on NSGA-II for HSN optimization (EA) | ||
| Inputs | ||
| Hyperparameters: Population Size ); Maximum number of generations ); Mutation probability ); Crossover probability ); Objective function ). | ||
| Outputs | Pareto front solutions. | |
| Step 1 | Initialization | |
| Set | ||
| Generate an initial population of individuals randomly in the decision variable space. | ||
| Evaluate the objective values for each individual. | ||
| . | ||
| Step 2 | Non-dominated sorting | |
| Perform non-dominated sorting to divide the population into fronts . | ||
| Assign a rank to each individual based on its front. | ||
| Step 3 | Termination | |
| If the termination criterion (e.g.,) is met, Go to Step 8. | ||
| Step 4 | Crowding distance assignment | |
| Calculate the crowding distance for each individual on each front. | ||
| Assign the crowding distance to measure the density of solutions around each individual. | ||
| Step 5 | Create Offspring Population | |
| Initialize an empty offspring population. | ||
| . | ||
| Repeat until the offspring population is filled: | ||
| Perform binary tournament selection based on non-domination and crowding distance to get two individuals from . | ||
| Apply crossover with probability to produce two children. . | ||
| Apply mutation with probability to each child of . . | ||
| Evaluate the objective values for the children. . | ||
| Fill the new offspring into . | ||
| . | ||
| Step 6 | Merge Populations. | |
| Combine the parent and offspring ) populations. | ||
| . | ||
| Step 7 | Tournament selection | |
| Perform non-dominated sorting and crowding distance assignment on the combined population. | ||
| Select the top individuals from individuals in based on non-domination rank and crowding distance. | ||
| . | ||
| . | ||
| Go to Step 2 | ||
| Step 8 | Output | |
| The final set of non-dominated solutions, . | ||
5.3.3. Encoding/Decoding Schemes Based on Permutation and Random Keys
- Permutation-Based Encoding/Decoding Scheme
| Algorithm 3. Permutation-base decoding ) | |
| Inputs | The number of hubs,; A vector of indexed spokes,; A vector of permutated spokes,. |
| Outputs | Values of the two objectives,. |
| Steps | |
| Step 1 | Slice the first genes in in to . . |
| Step 2 | Map each index in s into the spoke as a hub, denoted by . |
| . | |
| Step 3 | Obtain the objective values by Algorithm 1. |
| . | |
| Step 4 | Return |
- 2.
- Random key-based encoding/decoding scheme
| Algorithm 4. Random key-based decoding ) | |
| Inputs | The number of hubs,; A vector of spokes, and its coordinates,; The ranges of spokes’ coordinates,; A vector of random keys,. |
| Outputs | Values of the two objectives,. |
| Steps | |
| Step 1 | Initialize the set of hubs,. |
| Step 2 | Get the random keys for each potential hub i. |
| . | |
| Step 3 | Map the random keys into coordinates for each hub i. |
| . . | |
| Step 4 | For each : |
| Find the nearest spoke to the coordinates for the hub i. | |
| . | |
| Update the hub set:. | |
| Step 5 | Obtain the objective values by Algorithm 1. |
| . | |
| Step 6 | Return |
5.3.4. Evolutionary Operators
6. Numerical Experiments
6.1. Datasets
6.2. Assessment Metrics for Multi-Objective Optimization Solutions
6.3. Experimental Settings
| No. | Purposes | Settings and Steps | Results |
|---|---|---|---|
| 1 | Demonstration | (1) Dataset: [IDEAL] (2) Models and algorithms: [M1],, [EAp], and [EAr]. | Figure 4 |
| 2 | Compare [M1] and [M2] | (1) Dataset: [S10H2i(0–9)]; 2) Models: [M1], [M2], and . | Table 5 |
| 3 | Analyze the EA’s hyperparameters | (1) Dataset: [S60H6i0]; (2) Algorithms: [EAp] and [EAr]. | Table 6 |
| 4 | Compare [M2], [EAh] and [EAr] | (1) Dataset: [S10H3i1]; (2) Model: solve for until there is no change in the objectives; (3) Algorithms: [EAp] and [EAr]. | Figure 5 |
| 5 | Compare [EAh] and [EAr] | (1) Dataset: [S(40, 60, 80, 100)H(4, 6, 8, 10)i0]; (2) Algorithms: [EAp] and [EAr]. | Table 7 Figure 6 |
| 6 | (1) Dataset: [S60H6i0]; (2) Algorithm: [EAr]; (3) The reference values of the four parameters: ; (4) The ratios for adjusting the parameter values: ; | Table 8 Figure 7 | |
| 7 | Number of hubs impacting on the performances | (1) Dataset: [S60H6i0]; (2) Algorithm: [EAr]; (3) Varying the hubs: . | Table 9 Figure 8 |
| 8 | Number of spokes impacting on the performances | (1) Dataset: all datasets generated; (2) Algorithm: [EAr]. | Table 10 |
| 9 | Study the overdue delivery strategy | (1) Dataset: [S60H6i0]; (2) Algorithm: [EAr]; (3) The reference values of the order time ): 1 h; (4) The ratios for adjusting the parameter values: . | Table 11 Figure 9 |
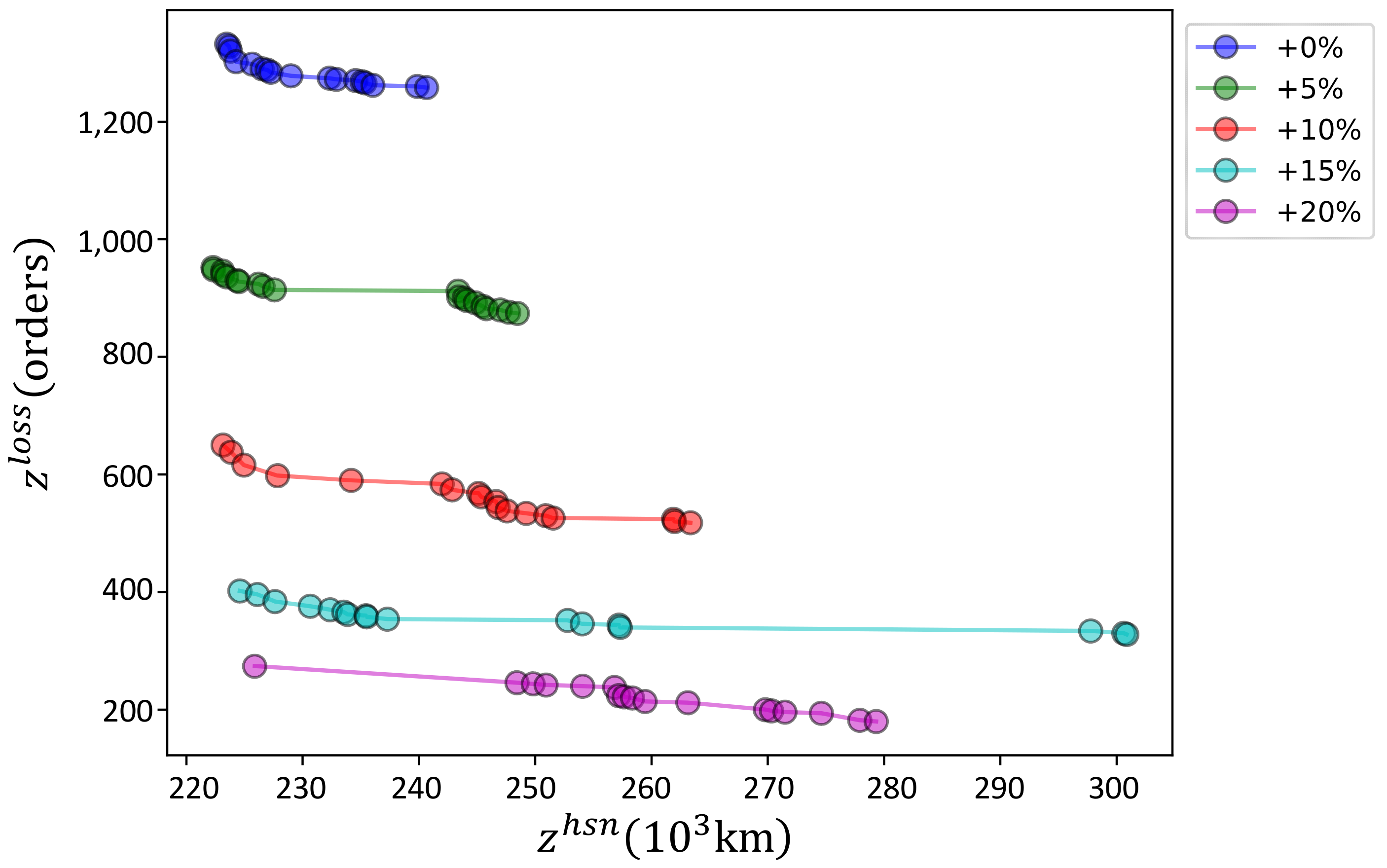
| 10 | Impacts of urban rush hours on the solutions | (1) Dataset: [S60H6i0]; (2) Algorithm: [EAr]; (3) The reference values of the truck speed ): 50 km/h; (4) The ratios for adjusting the parameter values:. | Table 12 Figure 10 |
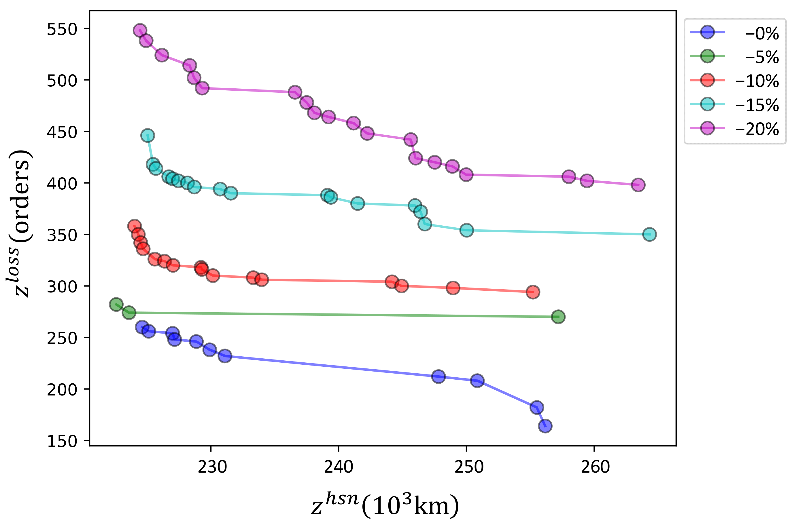
| 11 | Impacts of drone delays on the solutions | (1) Dataset: [S60H6i0]; (2) Algorithm: [EAr]; (3) The reference values of the drone speed ): 50 km/h; (4) The ratios for adjusting the parameter values: . | Table 13 Figure 11 |
| 12 | Impacts of hub busy and even explosion periods on the solutions | (1) Dataset: [S60H6i0]; (2) Algorithm: [EAr]; (3) The reference values of the hub stay time ): 0.3 h; (4) The ratios for adjusting the parameter values: . | Table 14 Figure 12 |
6.4. Results
6.4.1. Demonstration
6.4.2. Compare [M1] and [M2]
6.4.3. Analyze the Hyperparameters of [EAp] and [EAr]
6.4.4. Compare [M2], [EAp], and [EAr]
6.4.5. Compare [EAp] and [EAr]
6.4.6. Sensitivities of Four Parameters
6.4.7. Numbers of Hubs Impacting on the Performances
6.4.8. Numbers of Spokes Impacting on the Performances
6.4.9. Study the Overdue Delivery Strategy
6.4.10. Impacts of Urban Rush Hours on the Solutions
6.4.11. Impacts of Drone Delays on the Solutions
6.4.12. Impacts of Busy Hubs and Even Explosion Periods on the Solutions
6.5. Managerial Implications
7. Conclusions
Author Contributions
Funding
Data Availability Statement
Acknowledgments
Conflicts of Interest
References
- Ghelichi, Z.; Gentili, M.; Mirchandani, P.B. Drone logistics for uncertain demand of disaster-impacted populations. Transp. Res. Part C-Emerg. Technol. 2022, 141, 103735. [Google Scholar] [CrossRef]
- Bonini, T.; Treré, E.; Yu, Z.Z.; Singh, S.; Cargnelutti, D.; López-Ferrández, F.J. Cooperative affordances: How instant messaging apps afford learning, resistance and solidarity among food delivery workers. Convergence 2023, 30, 554–571. [Google Scholar] [CrossRef]
- Zhao, Y.L.; Cattaruzza, D.; Kang, N.X.; Roberti, R. Synchronized Deliveries with a Bike and a Self-Driving Robot. Transp. Sci. 2024, 58, 219–239. [Google Scholar] [CrossRef]
- Leon, S.; Chen, C.; Ratcliffe, A. Consumers’ perceptions of last mile drone delivery. Int. J. Logist. Res. Appl. 2023, 26, 345–364. [Google Scholar] [CrossRef]
- Janke, C.; de Haag, M.U. Implementation of European Drone Regulations-Status Quo and Assessment. J. Intell. Robot. Syst. 2022, 106, 33. [Google Scholar] [CrossRef]
- Sawadsitang, S.; Niyato, D.; Tan, P.S.; Wang, P.; Nutanong, S. Shipper Cooperation in Stochastic Drone Delivery: A Dynamic Bayesian Game Approach. IEEE Trans. Veh. Technol. 2021, 70, 7437–7452. [Google Scholar] [CrossRef]
- Macias, J.E.; Angeloudis, P.; Ochieng, W. Optimal hub selection for rapid medical deliveries using unmanned aerial vehicles. Transp. Res. Part C-Emerg. Technol. 2020, 110, 56–80. [Google Scholar] [CrossRef]
- Majd, A.; Loni, M.; Sahebi, G.; Daneshtalab, M. Improving Motion Safety and Efficiency of Intelligent Autonomous Swarm of Drones. Drones 2020, 4, 48. [Google Scholar] [CrossRef]
- Lappas, V.; Zoumponos, G.; Kostopoulos, V.; Lee, H.I.; Shin, H.S.; Tsourdos, A.; Tantardini, M.; Shomko, D.; Munoz, J.; Amoratis, E.; et al. EuroDRONE, a European Unmanned Traffic Management Testbed for U-Space. Drones 2022, 6, 53. [Google Scholar] [CrossRef]
- Smith, A.; Dickinson, J.E.; Marsden, G.; Cherrett, T.; Oakey, A.; Grote, M. Public acceptance of the use of drones for logistics: The state of play and moving towards more informed debate. Technol. Soc. 2022, 68, 101883. [Google Scholar] [CrossRef]
- Bruni, M.E.; Khodaparasti, S.; Moshref-Javadi, M. A logic-based Benders decomposition method for the multi-trip traveling repairman problem with drones. Comput. Oper. Res. 2022, 145, 105845. [Google Scholar] [CrossRef]
- Huang, H.L.; Savkin, A.V.; Huang, C. Reliable Path Planning for Drone Delivery Using a Stochastic Time-Dependent Public Transportation Network. IEEE Trans. Intell. Transp. Syst. 2021, 22, 4941–4950. [Google Scholar] [CrossRef]
- Meng, Z.Y.; Zhou, Y.T.; Li, E.Y.; Peng, X.Y.; Qiu, R. Environmental and economic impacts of drone-assisted truck delivery under the carbon market price. J. Clean. Prod. 2023, 401, 136758. [Google Scholar] [CrossRef]
- Huang, H.L.; Savkin, A.V. Deployment of Charging Stations for Drone Delivery Assisted by Public Transportation Vehicles. IEEE Trans. Intell. Transp. Syst. 2022, 23, 15043–15054. [Google Scholar] [CrossRef]
- Fehling, C.; Saraceni, A. Technical and legal critical success factors: Feasibility of drones & AGV in the last-mile-delivery. Transp. Bus. Manag. 2023, 50, 101029. [Google Scholar]
- Zhen, L.; Wu, J.W.; Laporte, G.; Tan, Z.Y. Heterogeneous instant delivery orders scheduling and routing problem. Comput. Oper. Res. 2023, 157, 106246. [Google Scholar] [CrossRef]
- Gu, Q.C.; Fan, T.J.; Pan, F.; Zhang, C. A vehicle-UAV operation scheme for instant delivery. Comput. Ind. Eng. 2020, 149, 106809. [Google Scholar] [CrossRef]
- Guo, C.J.; Thompson, R.G.; Foliente, G.; Peng, X.S. Reinforcement learning enabled dynamic bidding strategy for instant delivery trading. Comput. Ind. Eng. 2021, 160, 107596. [Google Scholar] [CrossRef]
- Chauhan, D.R.; Unnikrishnan, A.; Boyles, S.D. Maximum Profit Facility Location and Dynamic Resource Allocation for Instant Delivery Logistics. Transp. Res. Rec. 2022, 2676, 697–710. [Google Scholar] [CrossRef]
- Chen, J.Y.; Fan, T.J.; Gu, Q.C.; Pan, F. Emerging technology-based online scheduling for instant delivery in the O2O retail era. Electron. Commer. Res. Appl. 2022, 51, 101115. [Google Scholar] [CrossRef]
- Cui, S.X.; Sun, Q.; Zhang, Q. A Time-Dependent Vehicle Routing Problem for Instant Delivery Based on Memetic Algorithm. Comput. Intell. Neurosci. 2022, 2022, 5099008. [Google Scholar] [CrossRef] [PubMed]
- Hou, Y.; Guo, X.Y.; Han, H.G.; Wang, J.J. Knowledge-driven ant colony optimization algorithm for vehicle routing problem in instant delivery peak period. Appl. Soft Comput. 2023, 145, 110551. [Google Scholar] [CrossRef]
- Snoeck, A.; Winkenbach, M.; Fransoo, J.C. On-demand last-mile distribution network design with omnichannel inventory. Transp. Res. Part E-Logist. Transp. Rev. 2023, 180, 103324. [Google Scholar] [CrossRef]
- Wu, J.; Zhang, P.W.; Wang, Y.; Shi, J.M. Integrated aviation model and metaheuristic algorithm for hub-and-spoke network design and airline fleet planning. Transp. Res. Part E-Logist. Transp. Rev. 2022, 164, 102755. [Google Scholar] [CrossRef]
- Zhou, S.Q.; Ji, B.; Song, Y.L.; Yu, S.S.; Zhang, D.Z.; Van Woensel, T. Hub-and-spoke network design for container shipping in inland waterways. Expert Syst. Appl. 2023, 223, 119850. [Google Scholar] [CrossRef]
- Zheng, J.F.; Meng, Q.; Sun, Z. Liner hub-and-spoke shipping network design. Transp. Res. Part E-Logist. Transp. Rev. 2015, 75, 32–48. [Google Scholar] [CrossRef]
- Arbabi, H.; Nasiri, M.M.; Bozorgi-Amiri, A. A hub-and-spoke architecture for a parcel delivery system using the cross-docking distribution strategy. Eng. Optim. 2021, 53, 1593–1612. [Google Scholar] [CrossRef]
- Jeong, S.J.; Lee, C.G.; Bookbinder, J.H. The European freight railway system as a hub-and-spoke network. Transp. Res. Part A-Policy Pract. 2007, 41, 523–536. [Google Scholar] [CrossRef]
- De Freitas, C.C.; Aloise, D.J.; Fontes, F.F.D.; Santos, A.C.; Menezes, M.D. A biased random-key genetic algorithm for the two-level hub location routing problem with directed tours. OR Spectr. 2023, 45, 903–924. [Google Scholar] [CrossRef]
- Kemmar, O.; Bouamrane, K.; Gelareh, S. Hub location problem in round-trip service applications. Rairo-Oper. Res. 2021, 55, S2831–S2858. [Google Scholar] [CrossRef]
- Li, Z.C.; Bing, X.; Fu, X.W. A hierarchical hub location model for the integrated design of urban and rural logistics networks under demand uncertainty. Ann. Oper. Res. 2023. [Google Scholar] [CrossRef] [PubMed]
- Hu, Q.M. A reconfiguration optimisation model for hub-and-spoke network mergers. Eur. J. Ind. Eng. 2017, 11, 101–132. [Google Scholar] [CrossRef]
- Pirkul, H.; Schilling, D.A. An efficient procedure for designing single allocation hub and spoke systems. Manag. Sci. 1998, 44, S235–S242. [Google Scholar] [CrossRef]
- Gelareh, S.; Nickel, S.; Pisinger, D. Liner shipping hub network design in a competitive environment. Transp. Res. Part E-Logist. Transp. Rev. 2010, 46, 991–1004. [Google Scholar] [CrossRef]
- Zhao, L.; Bi, X.H.; Dong, Z.H.; Xiao, N.; Zhao, A.N. Robust traveling salesman problem with drone: Balancing risk and makespan in contactless delivery. Int. Trans. Oper. Res. 2024, 31, 167–191. [Google Scholar] [CrossRef]
- Zhu, T.K.; Boyles, S.D.; Unnikrishnan, A. Two-stage robust facility location problem with drones. Transp. Res. Part C-Emerg. Technol. 2022, 137, 103563. [Google Scholar] [CrossRef]
- Salama, M.R.; Srinivas, S. Collaborative truck multi-drone routing and scheduling problem: Package delivery with flexible launch and recovery sites. Transp. Res. Part E-Logist. Transp. Rev. 2022, 164, 102788. [Google Scholar] [CrossRef]
- Zou, B.P.; Wu, S.Q.; Gong, Y.M.; Yuan, Z.; Shi, Y.Q. Delivery network design of a locker-drone delivery system. Int. J. Prod. Res. 2023, 62, 4097–4121. [Google Scholar] [CrossRef]
- Li, H.Q.; Chen, J.; Wang, F.L.; Zhao, Y.B. Truck and drone routing problem with synchronization on arcs. Nav. Res. Logist. 2022, 69, 884–901. [Google Scholar] [CrossRef]
- Yin, Y.Q.; Yang, Y.J.; Yu, Y.G.; Wang, D.J.; Cheng, T. Robust vehicle routing with drones under uncertain demands and truck travel times in humanitarian logistics. Transp. Res. Part B-Methodol. 2023, 174, 102781. [Google Scholar] [CrossRef]
- Kim, D.; Lee, K.; Moon, I. Stochastic facility location model for drones considering uncertain flight distance. Ann. Oper. Res. 2019, 283, 1283–1302. [Google Scholar] [CrossRef]
- Shi, Z. Shenzhen Is Piloting a New Model of Drone Delivery for Takeout. Available online: https://www.thepaper.cn/newsDetail_forward_23169009 (accessed on 6 February 2024).
- Shen, L.; Wang, Y.; Liu, K.; Yang, Z.; Shi, X.; Yang, X.; Jing, K. Synergistic path planning of multi-UAVs for air pollution detection of ships in ports. Transp. Res. Part E Logist. Transp. Rev. 2020, 144, 102128. [Google Scholar] [CrossRef]
- Shen, L.; Hou, Y.; Yang, Q.; Lv, M.; Dong, J.-X.; Yang, Z.; Li, D. Synergistic path planning for ship-deployed multiple UAVs to monitor vessel pollution in ports. Transp. Res. Part D Transp. Environ. 2022, 110, 103415. [Google Scholar] [CrossRef]
- Borghetti, F.; Caballini, C.; Carboni, A.; Grossato, G.; Maja, R.; Barabino, B. The Use of Drones for Last-Mile Delivery: A Numerical Case Study in Milan, Italy. Sustainability 2022, 14, 1766. [Google Scholar] [CrossRef]
- Deb, K.; Pratap, A.; Agarwal, S.; Meyarivan, T. A fast and elitist multiobjective genetic algorithm: NSGA-II. IEEE Trans. Evol. Comput. 2002, 6, 182–197. [Google Scholar] [CrossRef]
- Jensen, M.T. Reducing the run-time complexity of multiobjective EAs: The NSGA-II and other algorithms. IEEE Trans. Evol. Comput. 2003, 7, 503–515. [Google Scholar] [CrossRef]
- Srinivas, N.; Deb, K. Muiltiobjective Optimization Using Nondominated Sorting in Genetic Algorithms. Evol. Comput. 1994, 2, 221–248. [Google Scholar] [CrossRef]
- Deng, W.; Zhang, X.; Zhou, Y.; Liu, Y.; Zhou, X.; Chen, H.; Zhao, H. An enhanced fast non-dominated solution sorting genetic algorithm for multi-objective problems. Inf. Sci. 2022, 585, 441–453. [Google Scholar] [CrossRef]
- Yahyaoui, H.; Kaabachi, I.; Krichen, S.; Dekdouk, A. Two metaheuristic approaches for solving the multi-compartment vehicle routing problem. Oper. Res. 2020, 20, 2085–2108. [Google Scholar] [CrossRef]
- Lin, Q.Z.; Chen, J.Y.; Zhan, Z.H.; Chen, W.N.; Coello, C.A.C.; Yin, Y.L.; Lin, C.M.; Zhang, J. A Hybrid Evolutionary Immune Algorithm for Multiobjective Optimization Problems. IEEE Trans. Evol. Comput. 2016, 20, 711–729. [Google Scholar] [CrossRef]
- Tian, Y.; Cheng, R.; Zhang, X.Y.; Li, M.Q.; Jin, Y.C. Diversity Assessment of Multi-Objective Evolutionary Algorithms: Performance Metric and Benchmark Problems. IEEE Comput. Intell. Mag. 2019, 14, 61–74. [Google Scholar] [CrossRef]
- Zapotecas-Martinez, S.; Lopez-Jaimes, A.; Garcia-Najera, A. LIBEA: A Lebesgue Indicator-Based Evolutionary Algorithm for multi-objective optimization. Swarm Evol. Comput. 2019, 44, 404–419. [Google Scholar] [CrossRef]
- Kumar, S.; Tejani, G.G.; Pholdee, N.; Bureerat, S. Multi-objective modified heat transfer search for truss optimization. Eng. Comput. 2021, 37, 3439–3454. [Google Scholar] [CrossRef]













| Study | Problem Features | TD | Model | Algorithm |
|---|---|---|---|---|
| [16] | Heterogeneous instant delivery order scheduling and routing problems. | T | MILP | CG |
| [17] | Instant delivery by vehicles and drones. | TD | MILP | ACO |
| [18] | An auction-based trading platform to enable procurement for instant delivery. | T | Game | ML |
| [19] | A facility location and demand allocation problem for drone-based instant delivery. | TD | - | HA |
| [20] | Online instant delivery with dynamic orders. | T | MILP | GA |
| [21] | Time-dependent instant delivery considering cost, customer satisfaction, and traffic. | T | MILP | GA, VNS |
| [22] | A VRP in an instant delivery peak period. | T | MILP | ACO |
| This study | An HSN coordinating trucks for transshipments among hubs and drones for first-mile pickup and last-mile distribution. | TD | MILP, MO | NSGA-II, GA |
| Study | Problem Features | PF | Model | Algorithm |
|---|---|---|---|---|
| [31] | A hierarchical urban and rural logistics network with hub capacity and demand uncertainty. | F | MILP | B&C |
| [32] | Reconfiguring the merged HSNs considering vehicle emissions, on-time delivery, and operating costs. | F | MO, MINLP | SOCP |
| [28] | An HSN network for railroad freight with links to concentrated freight flows. | P | MILP | HA |
| [30] | Service networks based on round-trips. | P | MILP | VNS, ML |
| [25] | Inland container shipping HSN networks, determining hubs, feeder port allocation, and fleet deployment. | P | MILP | BD |
| [33] | HSN network design considering congested hubs and links. | F | Queue | NSGA-II, ILS |
| [34] | Hub location considering links with incentive-dependent capacities, affecting the hub selections and flow assignment. | P | Convex | Approx |
| [24] | A cross-docking HSN with electric truck fleets, mobile charging stations, and capacity constraints. | F | Graph | GA |
| This study | Drones undertake transportation between spokes and hubs, while trucks undertake transshipment among hubs. Instant delivery time ranges constrain the connections among hubs. | P | MILP, MO | GA, NSGA-II |
| Study | Problem Features | FL | RN | FD | Model | Algorithm |
|---|---|---|---|---|---|---|
| [37] | Minimize the makespan in TDRP with non-customer stops. | L | R | D | MILP | SA, VNS |
| [29] | TDRP with uncertain demands and drone capacity. | L | R | F | MILP | SAA, GA |
| [38] | TDRP with synchronization on arcs. | L | R | D | MINLP | ALNS |
| [39] | Drone launch/retrieval with a moving truck. | L | N | F | SP | GA, HA |
| [12] | Drone routing constrained by traversal time and limited batteries. | L | R | D | SP | SAA |
| [35] | Locate drone takeoff platforms. | L | R | F | Graph | BD |
| [11] | Robust drone TSP with uncertain travel time. | L | R | D | RO | B&PC, HA |
| [40] | Optimize contactless delivery risk and makespan. | L | FN | F | SP | BD |
| [41] | Minimize customer waiting times in multi-trip one-truck and multi-drone routing. | L | FN | F | MO | NSGA-II, TS |
| This study | Minimize customer waiting times in multi-trip one-truck and multi-drone delivery. | FL | RN | FD | Model | Algorithm |
| Dataset | ||||||
|---|---|---|---|---|---|---|
| S60H6i0 | 8361 | 8361 | 56 | 8361 | 26 | 53.57 |
| S60H6i1 | 9421 | 9421 | 46 | 9421 | 36 | 21.74 |
| S60H6i2 | 5740 | 5740 | 18 | 5740 | 18 | 0.00 |
| S60H6i3 | 10,152 | 10,152 | 72 | 10,152 | 36 | 50.00 |
| S60H6i4 | 9525 | 9525 | 84 | 9525 | 44 | 47.62 |
| S60H6i5 | 9751 | 9751 | 42 | 9751 | 30 | 28.57 |
| S60H6i6 | 9347 | 9347 | 48 | 9347 | 46 | 4.17 |
| S60H6i7 | 11,439 | 11,439 | 78 | 11,439 | 52 | 33.33 |
| S60H6i8 | 7999 | 7999 | 32 | 7999 | 32 | 0.00 |
| S60H6i9 | 8333 | 8333 | 28 | 8333 | 26 | 7.14 |
| Mean | 9006.8 | 9006.8 | 50.4 | 9006.8 | 34.6 | 24.61 |
| [EAp] | [EAr] | ||||||||
|---|---|---|---|---|---|---|---|---|---|
| CT | HV | Spacing | NS | CT | HV | Spacing | NS | ||
| 0.00 | 18.45 | 0.032 | 76.95 | 20 | 2.99 | 0.044 | 2050.63 | 16.54 | |
| 0.25 | 17.90 | 0.048 | 398.24 | 20 | 9.19 | 0.070 | 1644.33 | 18.74 | |
| 0.50 | 17.18 | 0.052 | 656.81 | 20 | 13.01 | 0.078 | 2395.58 | 18.66 | |
| 0.75 | 16.66 | 0.048 | 270.85 | 20 | 14.85 | 0.076 | 3889.27 | 16.06 | |
| 1.00 | 16.47 | 0.056 | 348.98 | 20 | 16.15 | 0.084 | 4738.29 | 14.08 | |
| 0.00 | 17.67 | 0.042 | 31.81 | 20 | 9.77 | 0.062 | 3544.90 | 14.92 | |
| 0.25 | 17.42 | 0.046 | 358.84 | 20 | 10.78 | 0.070 | 2270.35 | 17.68 | |
| 0.50 | 17.68 | 0.046 | 340.67 | 20 | 11.48 | 0.072 | 2726.01 | 17.40 | |
| 0.75 | 16.90 | 0.050 | 586.60 | 20 | 11.98 | 0.074 | 2925.85 | 16.88 | |
| 1.00 | 17.00 | 0.052 | 433.91 | 20 | 12.18 | 0.074 | 3250.99 | 17.20 | |
| [EAp] | [EAr] | |||||||
|---|---|---|---|---|---|---|---|---|
| CT | HV | Spacing | NS | CT | HV | Spacing | NS | |
| S40H4i0 | 29.80 | 0.090 | 693.37 | 20 | 6.13 | 0.072 | 485.86 | 20 |
| S60H6i0 | 66.84 | 0.018 | 0.00 | 20 | 33.09 | 0.020 | 1646.67 | 12 |
| S80H8i0 | 109.64 | 0.052 | 2155.95 | 20 | 96.02 | 0.074 | 3145.04 | 20 |
| S100H10i0 | 179.93 | 0.103 | 8278.05 | 20 | 176.28 | 0.102 | 7077.65 | 20 |
| CT | HV | Spacing | NS | CT | HV | Spacing | NS | ||
|---|---|---|---|---|---|---|---|---|---|
| −10% | 26.76 | 0.037 | 775.43 | 20 | −10% | 27.59 | 0.045 | 627.47 | 20 |
| −5% | 25.55 | 0.070 | 1213.59 | 20 | −5% | 27.41 | 0.056 | 678.49 | 20 |
| 40 km/h | 28.79 | 0.052 | 703.80 | 20 | 50 km/h | 34.00 | 0.063 | 840.17 | 20 |
| +5% | 42.30 | 0.066 | 2875.58 | 20 | +5% | 22.57 | 0.081 | 732.21 | 20 |
| +10% | 25.29 | 0.060 | 624.55 | 20 | +10% | 30.68 | 0.134 | 1588.44 | 20 |
| CT | HV | Spacing | NS | CT | HV | Spacing | NS | ||
| −10% | 31.72 | 0.039 | 1090.38 | 20 | −10% | 27.72 | 0.130 | 661.56 | 20 |
| −5% | 37.62 | 0.065 | 5948.01 | 20 | −5% | 38.73 | 0.190 | 3331.42 | 18 |
| 1.0 h | 30.01 | 0.087 | 1404.75 | 20 | 0.3 h | 40.02 | 0.142 | 1453.31 | 20 |
| +5% | 39.60 | 0.147 | 976.20 | 20 | +5% | 41.18 | 0.136 | 2342.76 | 20 |
| Hubs | CT | HV | Spacing | NS |
|---|---|---|---|---|
| 5 | 20.26 | 0.120 | 873.76 | 20 |
| 10 | 58.55 | 0.135 | 2652.49 | 20 |
| 15 | 62.64 | 0.068 | 2613.29 | 19 |
| 20 | 65.15 | 0.016 | 255.07 | 6 |
| 25 | 67.16 | 0.025 | 6256.34 | 8 |
| Dataset | Spokes | CT | HV | Spacing | NS |
|---|---|---|---|---|---|
| S10H2i(0–9) | 10 | 0.52 | 0.021 | 198.67 | 9.0 |
| S20H2i(0–9) | 20 | 0.91 | 0.066 | 808.51 | 17.8 |
| S30H3i(0–9) | 30 | 2.13 | 0.084 | 362.13 | 20.0 |
| S40H4i(0–9) | 40 | 6.03 | 0.075 | 1349.72 | 18.9 |
| S50H5i(0–9) | 50 | 15.48 | 0.079 | 2150.26 | 20.0 |
| S60H6i(0–9) | 60 | 37.60 | 0.084 | 4649.13 | 19.7 |
| S70H7i(0–9) | 70 | 60.74 | 0.083 | 3728.19 | 19.8 |
| S80H8i(0–9) | 80 | 100.84 | 0.077 | 3447.47 | 19.9 |
| S90H9i(0–9) | 90 | 163.06 | 0.073 | 4785.11 | 20.0 |
| S100H10i(0–9) | 100 | 190.47 | 0.076 | 7020.31 | 19.9 |
| CT | HV | Spacing | NS | |
|---|---|---|---|---|
| 1.00 | 71.23 | 0.021 | 390.23 | 17 |
| 1.05 | 69.21 | 0.027 | 295.87 | 20 |
| 1.10 | 70.67 | 0.054 | 1480.62 | 18 |
| 1.15 | 70.43 | 0.072 | 823.20 | 17 |
| 1.20 | 74.54 | 0.072 | 5247.09 | 17 |
| CT | HV | Spacing | NS | |
|---|---|---|---|---|
| (50 km/h) -0% | 74.44 | 0.061 | 1015.32 | 11 |
| −5% | 69.74 | 0.026 | 18,814.66 | 13 |
| −10% | 71.80 | 0.047 | 1663.90 | 16 |
| −15% | 70.61 | 0.058 | 3305.27 | 18 |
| −20% | 70.44 | 0.065 | 802.18 | 20 |
| CT | HV | Spacing | NS | |
|---|---|---|---|---|
| (40 km/h) -0% | 74.44 | 0.061 | 1015.32 | 11 |
| −5% | 69.74 | 0.026 | 18,814.66 | 13 |
| −10% | 71.80 | 0.047 | 1663.90 | 16 |
| −15% | 70.61 | 0.058 | 3305.27 | 18 |
| −20% | 70.44 | 0.065 | 802.18 | 20 |
| CT | HV | Spacing | NS | |
|---|---|---|---|---|
| 0.300 (+0.00%) | 74.10 | 0.016 | 463.47 | 10 |
| 0.315 (+0.05%) | 74.07 | 0.017 | 178.23 | 13 |
| 0.330 (+0.10%) | 77.26 | 0.013 | 636.95 | 6 |
| 0.345 (+0.15%) | 79.38 | 0.013 | 338.28 | 9 |
| 0.360 (+0.20%) | 82.33 | 0.013 | 128.00 | 9 |
Disclaimer/Publisher’s Note: The statements, opinions and data contained in all publications are solely those of the individual author(s) and contributor(s) and not of MDPI and/or the editor(s). MDPI and/or the editor(s) disclaim responsibility for any injury to people or property resulting from any ideas, methods, instructions or products referred to in the content. |
© 2024 by the authors. Licensee MDPI, Basel, Switzerland. This article is an open access article distributed under the terms and conditions of the Creative Commons Attribution (CC BY) license (https://creativecommons.org/licenses/by/4.0/).
Share and Cite
Hu, Z.-H.; Huang, Y.-L.; Li, Y.-N.; Bao, X.-Q. Drone-Based Instant Delivery Hub-and-Spoke Network Optimization. Drones 2024, 8, 247. https://doi.org/10.3390/drones8060247
Hu Z-H, Huang Y-L, Li Y-N, Bao X-Q. Drone-Based Instant Delivery Hub-and-Spoke Network Optimization. Drones. 2024; 8(6):247. https://doi.org/10.3390/drones8060247
Chicago/Turabian StyleHu, Zhi-Hua, Yan-Ling Huang, Yao-Na Li, and Xiao-Qiong Bao. 2024. "Drone-Based Instant Delivery Hub-and-Spoke Network Optimization" Drones 8, no. 6: 247. https://doi.org/10.3390/drones8060247
APA StyleHu, Z.-H., Huang, Y.-L., Li, Y.-N., & Bao, X.-Q. (2024). Drone-Based Instant Delivery Hub-and-Spoke Network Optimization. Drones, 8(6), 247. https://doi.org/10.3390/drones8060247

