Performance Analysis of Multiple UAV-Based Hybrid Free-Space Optical/Radio Frequency Aeronautical Communication System in Mobile Scenarios
Abstract
1. Introduction
- The current literature extensively studies the use of UAV relay-assisted communication. However, these studies are rarely studied in aeronautical communication systems and the mobility of source and destination nodes is neglected.
- To the best of our knowledge, existing research almost ignores the impact of varying velocity variance among mobile platforms on system performance.
- Currently, extensive research has been conducted on relay selection modes; however, there is a lack of performance comparison and applicability analysis for various modes in mobile scenarios.
- In aeronautical communication scenarios, a single FSO link is susceptible to platform movement and atmospheric interference, thereby compromising information transmission reliability. Therefore, incorporating an RF backup link is crucial for enhancing the overall system performance.
- First, we propose a novel air-to-ground aeronautical communication system model based on multiple parallel UAV relays. To ensure reliable communication, we consider employing a hybrid RF/FSO communication link between the AWACS and the mobile GS.
- Next, the mobility of the AWACS platform, UAV relays, and mobile GS is considered. The impacts of velocity variance variation of the AWACS and GS on the outage and average BER performance in the aeronautical communication system are analyzed in detail. Additionally, the influence of the Doppler effect is also discussed.
- Moreover, four relay selection modes are proposed, and the exact closed-form expressions for end-to-end outage probability under different modes are derived. In addition, unlike other research, we do not make direct comparisons to determine the advantage of any mode. Instead, we consider the complexity of each case and the mobile characteristics of the platform in order to analyze the applicability of different modes in mobile scenarios.
- Furthermore, the optimal number of relays is determined through simulation analysis, while the numerical analysis of the impact of UAV relay deployment altitude on system performance is conducted under different relay selection modes.
- Finally, a valuable design guideline is provided that is useful for aeronautical communication system designers.
2. System and Signal Model
2.1. Space Environment
2.2. FSO Link
2.3. RF Link
2.4. Mode of Relay Selection
2.4.1. Case 1 (Max-Select)
2.4.2. Case 2 (Source-Relay-Select)
2.4.3. Case 3 (Relay-Destination-Select)
2.4.4. Case 4 (Dual-Distributed-Select)
3. Channel Model
3.1. FSO Channel
3.1.1. Atmospheric Attenuation
3.1.2. Turbulence-Induced Fading
3.1.3. Pointing Error
- AWACS-to-UAV link:
- 2.
- UAV-to-GS link:
3.1.4. AOA Fluctuations
3.1.5. Doppler Effect
3.1.6. Overall Channel Statistical Characteristics
3.2. RF Channel
4. Performance Evaluation
4.1. Outage Probability
4.1.1. Outage Analysis of Max-Select Relaying
4.1.2. Outage Analysis of Source-Relay-Select Relaying
4.1.3. Outage Analysis of Relay-Destination-Select Relaying
4.1.4. Outage Analysis of Dual-Distributed-Select Relaying
4.2. Average BER
5. Numerical Results and Discussion
- The use of UAV relays improves the system’s performance. The increase in the number of relays improves outage performance to some extent when . However, when N > 4, increasing the number of relays does not have a positive impact on outage probability. Considering cost-saving, it is recommended that the total number of relays in this system should not exceed four.
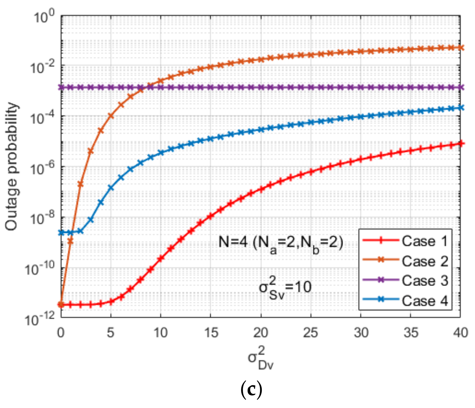
- In mobile scenarios, the velocity variance of the AWACS and GS directly impact the outage and average BER performance of the hybrid FSO/RF aeronautical communication system. Excessive velocity variance in either AWACS or GS can lead to degradation in system performance.
- In the multi-UAV relay system, the outage performance varies among different relay selection modes. Generally, the Max-Select mode demonstrates the best performance; however, it requires the most feedback channels. In fact, for lower values and higher , the simpler Relay-Destination-Select mode can replace Max-Select mode. In addition, for higher values and lower , the Source-Relay-Select mode can replace Max-Select mode. When both and exhibit large values, the Dual-Distributed-Select mode can also serve as a viable alternative for approximating performance. The tradeoffs between complexity and performance vary depending on the actual usage.
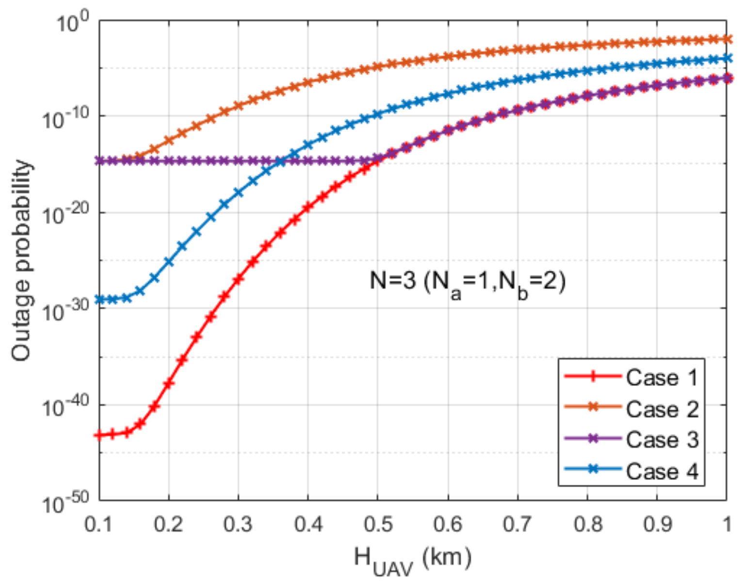
- The end-to-end outage probability of the system is influenced by the deployment altitude of UAV relays. Within the acceptable range of UAV flight characteristics, lower flight altitudes result in enhanced outage performance. When , to ensure that the outage probability is controlled within , the flight altitude should not exceed 1 km for cases 1 and 3, 800 m for case 4, and 500 m for case 2.
6. Conclusions
Author Contributions
Funding
Data Availability Statement
Conflicts of Interest
References
- Dabiri, M.T.; Khankalantary, S.; Piran, M.J.; Ansari, I.S.; Uysal, M.; Saad, W.; Hong, C.S. UAV-assisted free space optical communication system with amplify-and-forward relaying. IEEE Trans. Veh. Technol. 2021, 70, 8926–8936. [Google Scholar] [CrossRef]
- Erdogan, E.; Altunbas, I.; Kabaoglu, N.; Yanikomeroglu, H. A cognitive radio enabled RF/FSO communication model for aerial relay networks: Possible configurations and opportunities. IEEE Open J. Veh. Technol. 2020, 2, 45–53. [Google Scholar] [CrossRef]
- Fawaz, W.; Abou-Rjeily, C.; Assi, C. UAV-aided cooperation for FSO communication systems. IEEE Commun. Mag. 2018, 56, 70–75. [Google Scholar] [CrossRef]
- Dabiri, M.T.; Rezaee, M.; Ansari, I.S.; Yazdanian, V. Channel modeling for UAV-based optical wireless links with nonzero boresight pointing errors. IEEE Trans. Veh. Technol. 2020, 69, 14238–14246. [Google Scholar] [CrossRef]
- Dabiri, M.T.; Sadough SM, S.; Ansari, I.S. Tractable optical channel modeling between UAVs. IEEE Trans. Veh. Technol. 2019, 68, 11543–11550. [Google Scholar] [CrossRef]
- Dabiri, M.T.; Sadough SM, S.; Khalighi, M.A. Channel modeling and parameter optimization for hovering UAV-based free-space optical links. IEEE J. Sel. Areas Commun. 2018, 36, 2104–2113. [Google Scholar] [CrossRef]
- Choi, M.; Song, S.; Ko, D.E.; Chung, J.M. Trajectory optimization for fso based u-iot backhaul networks. IEEE Trans. Netw. Sci. Eng. 2023, 10, 2030–2044. [Google Scholar] [CrossRef]
- Nguyen, T.V.; Le, H.D.; Pham, A.T. On the design of RIS–UAV relay-assisted hybrid FSO/RF satellite–aerial–ground integrated network. IEEE Trans. Aerosp. Electron. Syst. 2022, 59, 757–771. [Google Scholar] [CrossRef]
- Zhang, X.; Zhao, S.; Wang, Y.; Wang, X.; Song, X.; Li, X.; Li, J. 3D Trajectory Optimization for UAV-Assisted Hybrid FSO/RF Network with Moving Obstacles. IEEE Trans. Aerosp. Electron. Syst. 2024, 32, 45–53. [Google Scholar] [CrossRef]
- Wang, P.; Cao, T.; Guo, L.; Wang, R.; Yang, Y. Performance analysis of multihop parallel free-space optical systems over exponentiated Weibull fading channels. IEEE Photonics J. 2015, 7, 7900715. [Google Scholar] [CrossRef]
- Cao, T.; Wang, P.; Guo, L.; Yang, B.; Li, J.; Yang, Y. Average bit error rate of multi-hop parallel decode-and-forward-based FSO cooperative system with the max–min criterion under the gamma–gamma distribution. Chin. Opt. Lett. 2015, 13, 080101. [Google Scholar]
- Miglani, R.; Malhotra, J.S. An innovative approach for performance enhancement of 320 Gbps free space optical communication system over turbulent channel. Opt. Quantum Electron. 2019, 51, 289. [Google Scholar] [CrossRef]
- Fadhil, H.A.; Amphawan, A.; Shamsuddin, H.A.; Abd, T.H.; Al-Khafaji, H.M.; Aljunid, S.; Ahmed, N. Optimization of free space optics parameters: An optimum solution for bad weather conditions. Optik 2013, 124, 3969–3973. [Google Scholar] [CrossRef]
- Zhang, X.; Zhao, S.; Wang, Y.; Wang, X.; Tian, Q.; Song, X.; Li, X. A weather-dependent UAV relay-assisted hybrid FSO/RF airborne communication system. Opt. Commun. 2024, 554, 130196. [Google Scholar] [CrossRef]
- Touati, A.; Abdaoui, A.; Touati, F.; Uysal, M.; Bouallegue, A. On the effects of combined atmospheric fading and misalignment on the hybrid FSO/RF transmission. J. Opt. Commun. Netw. 2016, 8, 715–725. [Google Scholar] [CrossRef]
- Wang, J.Y.; Ma, Y.; Lu, R.R.; Wanga, J.-B.; Lin, M.; Cheng, J. Hovering UAV-based FSO communications: Channel modelling, performance analysis, and parameter optimization. IEEE J. Sel. Areas Commun. 2021, 39, 2946–2959. [Google Scholar] [CrossRef]
- Fernandes, M.A.; Loureiro, P.A.; Fernandes, G.M.; Monteiro, P.P.; Guiomar, F.P. Digitally mitigating Doppler shift in high-capacity coherent FSO LEO-to-earth links. J. Light. Technol. 2023, 41, 3993–4001. [Google Scholar] [CrossRef]
- “MeijerG function,” Wolfram Research. 2020. Available online: https://functions.wolfram.com/PDF/MeijerG.pdf (accessed on 1 January 2022).
- Usman, M.; Yang, H.C.; Alouini, M.S. Practical switching-based hybrid FSO/RF transmission and its performance analysis. IEEE Photonics J. 2014, 6, 7902713. [Google Scholar] [CrossRef]
- Michailidis, E.; Nomikos, N.; Bithas, P.; Vouyioukas, D.; Kanatas, A.G. Outage probability of triple-hop mixed RF/FSO/RF stratospheric communication systems. In Proceedings of the SPACOMM 2018: The Tenth International Conference on Advances in Satellite and Space Communications, Athens, Greece, 22–26 April 2018. [Google Scholar]
- Sandalidis, H.G.; Tsiftsis, T.A.; Karagiannidis, G.K.; Uysal, M. BER performance of FSO links over strong atmospheric turbulence channels with pointing errors. IEEE Commun. Lett. 2008, 12, 44–46. [Google Scholar] [CrossRef]
- Swaminathan, R.; Sharma, S.; Vishwakarma, N.; Madhukumar, A.S. HAPS-based relaying for integrated space–air–ground networks with hybrid FSO/RF communication: A performance analysis. IEEE Trans. Aerosp. Electron. Syst. 2021, 57, 1581–1599. [Google Scholar]
- Morgado, E.; Mora-Jimenez, I.; Vinagre, J.J.; Ramos, J.; Caamano, A.J. End-to-end average BER in multi-hop wireless networks over fading channels. IEEE Trans. Wirel. Commun. 2010, 9, 2478–2487. [Google Scholar] [CrossRef]
- Le, H.D.; Nguyen, T.V.; Pham, A.T. Cloud attenuation statistical model for satellite-based FSO communications. IEEE Antennas Wirel. Propag. Lett. 2021, 20, 643–647. [Google Scholar] [CrossRef]









| Parameters | Values |
|---|---|
| The altitude of AWACS | 10 km |
| The zenith angle | |
| Wavelength | 1550 nm |
| Responsivity | 0.9 |
| Noise variance | |
| Turbulent factors of SR link - | 7.2–6.2 |
| Turbulent factors of RD link - | 5.6–4.1 |
| Cloud liquid water content | |
| Cloud droplet concentration | |
| Field-of-view angle | 8 mrad |
| Detector radius | 0.1 m |
| SD of UAV position | 0.1 m |
| SD of UAV orientation | 1.2 mrad |
| RF | 20 GHz |
| Antenna gain = | 45 dB |
| Threshold | 5 dB |
| Oxygen attenuation coefficient | 0.1 dB/km |
| Specific attenuation coefficient | 0.5 (dB/km)/(g/m3) |
| Time interval | 1 s |
Disclaimer/Publisher’s Note: The statements, opinions and data contained in all publications are solely those of the individual author(s) and contributor(s) and not of MDPI and/or the editor(s). MDPI and/or the editor(s) disclaim responsibility for any injury to people or property resulting from any ideas, methods, instructions or products referred to in the content. |
© 2024 by the authors. Licensee MDPI, Basel, Switzerland. This article is an open access article distributed under the terms and conditions of the Creative Commons Attribution (CC BY) license (https://creativecommons.org/licenses/by/4.0/).
Share and Cite
Zhang, X.; Zhao, S.; Wang, Y.; Hu, H.; Yang, G.; Song, X.; Li, X.; Li, J. Performance Analysis of Multiple UAV-Based Hybrid Free-Space Optical/Radio Frequency Aeronautical Communication System in Mobile Scenarios. Drones 2024, 8, 729. https://doi.org/10.3390/drones8120729
Zhang X, Zhao S, Wang Y, Hu H, Yang G, Song X, Li X, Li J. Performance Analysis of Multiple UAV-Based Hybrid Free-Space Optical/Radio Frequency Aeronautical Communication System in Mobile Scenarios. Drones. 2024; 8(12):729. https://doi.org/10.3390/drones8120729
Chicago/Turabian StyleZhang, Xiwen, Shanghong Zhao, Yuan Wang, Hang Hu, Guangmingzi Yang, Xinkang Song, Xin Li, and Jianjia Li. 2024. "Performance Analysis of Multiple UAV-Based Hybrid Free-Space Optical/Radio Frequency Aeronautical Communication System in Mobile Scenarios" Drones 8, no. 12: 729. https://doi.org/10.3390/drones8120729
APA StyleZhang, X., Zhao, S., Wang, Y., Hu, H., Yang, G., Song, X., Li, X., & Li, J. (2024). Performance Analysis of Multiple UAV-Based Hybrid Free-Space Optical/Radio Frequency Aeronautical Communication System in Mobile Scenarios. Drones, 8(12), 729. https://doi.org/10.3390/drones8120729

