Analysis of the Energy Storage Efficiency of a UAV-Mounted Sensor Launcher Built on Traditional Crossbow Launch Mechanisms
Abstract
1. Introduction
2. Static Energy Storage Model of the Launcher
2.1. Energy Storage Equation
2.2. Performance Indicators of Static Energy Storage
2.3. Model Assumptions
2.4. Input Parameter Settings
3. Analysis of Results for Individual Parameters
3.1. The Influence of the Bow Limb Parameters
3.1.1. Bow Limb Length
3.1.2. Bow Limb Bending Parts
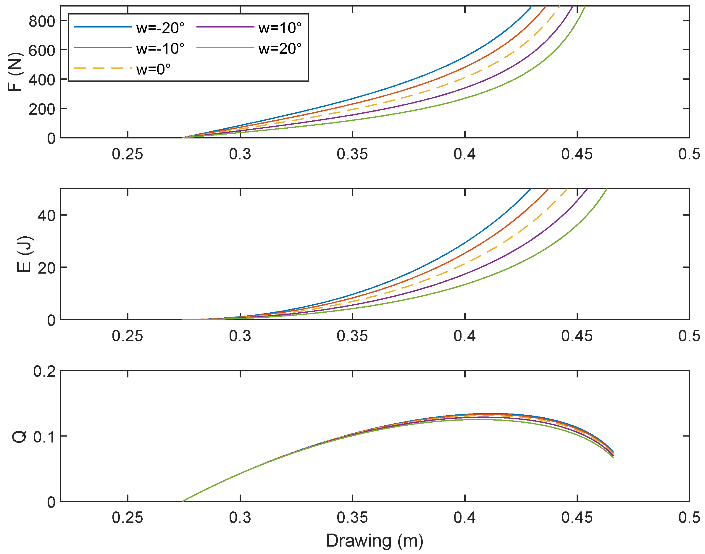
3.1.3. Bow Limb Recurve Angle
3.1.4. Bow Limb Bending Stiffness Coefficient
3.2. Impact of Riser Parameters
3.2.1. Vertical Height of the Bow Riser
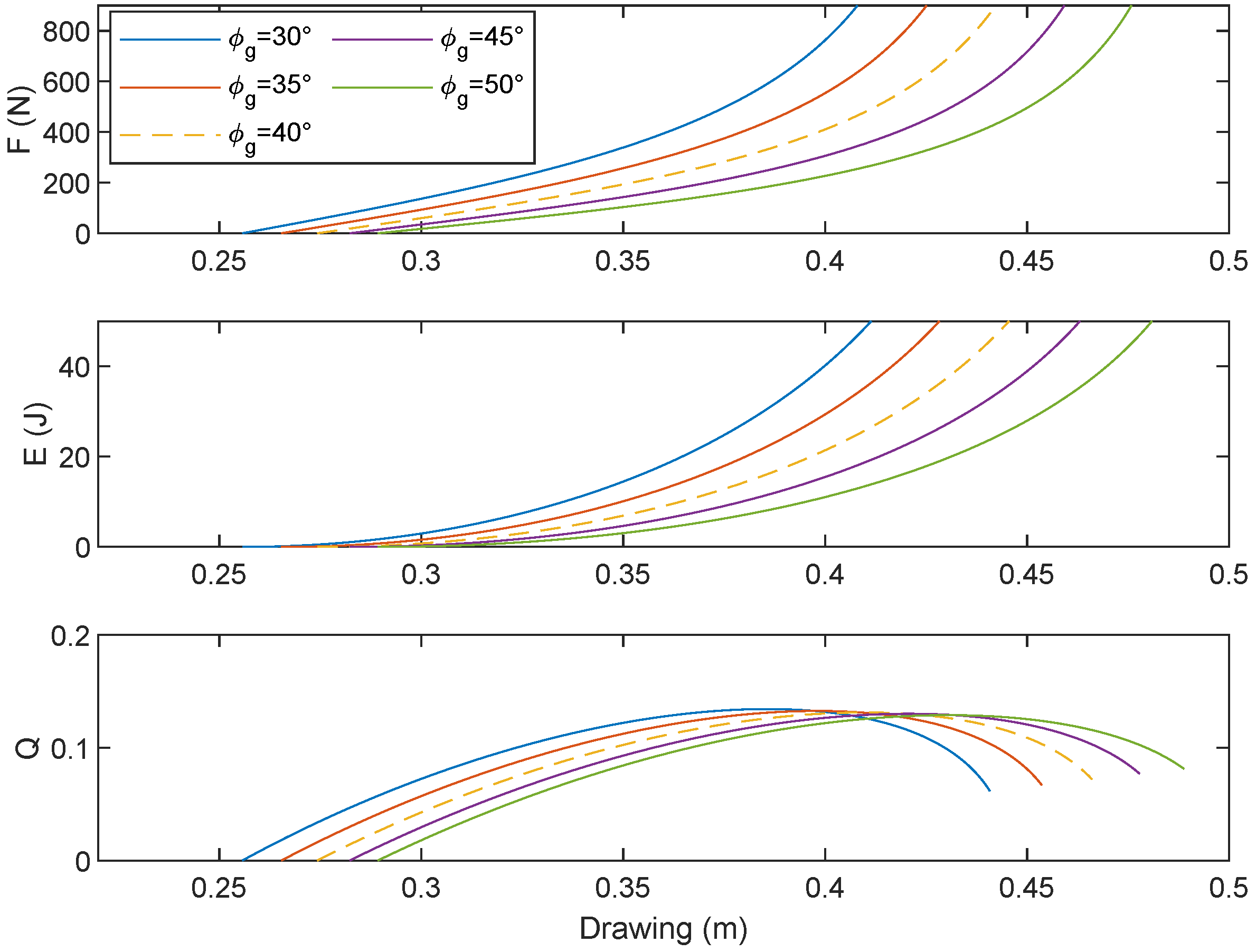
3.2.2. Connection Angle Between Bow Riser and Bow Limb
3.3. String Length
3.4. Multi-Parameter Comprehensive Analysis
4. Conclusions
- The good energy storage performance of a launcher is based on having the maximum energy storage coefficient at the target drawing distance, while the energy storage or maximum drawing force meets the application scenario.
- Through single-parameter analysis, it was found that the six different structural parameters of the launcher impact the maximum drawing force, energy storage, and energy storage coefficient, and they are mutually constrained. However, the bending stiffness coefficient parameter of the launcher’s bow limb only affects the maximum drawing force and energy storage and has no effect on the energy storage coefficient.
- Based on the influence of structural parameters on the energy storage performance of the launcher, a two-step optimization strategy is proposed. The first step is to adopt a particle swarm optimization algorithm to comprehensively optimize the six parameters (without initially considering energy storage or the maximum drawing force) to achieve the maximum energy storage coefficient. The second step is to adjust the bowing stiffness coefficient to ensure that the energy storage or maximum drawing force meets the requirements of the application scenario while maximizing the energy storage coefficient. This method achieves a decoupling of the energy storage coefficient and energy storage size, allowing both to take their maximum values simultaneously.
- According to the above method, after optimization, under the same energy storage, the maximum drawing force was only 0.675 times that of the original plan. Conversely, under the same maximum drawing force, the energy storage was 1.5 times that of the original plan, indicating a significant optimization effect.
Author Contributions
Funding
Data Availability Statement
Conflicts of Interest
References
- Quan, Q. Design and Control of Multirotor Aircraft; Publishing House of Electronics Industry: Beijing, China, 2018. [Google Scholar]
- He, Y. Research on Modeling and Control Methods of Quadcopter Aircraft System; Hangzhou University of Electronic Science and Technology: Hangzhou, China, 2019. [Google Scholar]
- Chen, J. Research on Dynamics Modeling and Control Technology of Quadcopter UAV; Nanjing University of Science and Technology: Nanjing, China, 2016. [Google Scholar]
- Zhang, Y. Hardware Design and Implementation of Flight Control System for Small Quadcopter Aircraft; Shenzhen University: Shenzhen, China, 2018. [Google Scholar]
- Ge, H. Beyond Tactics: Strategic Application, Effects, and Paradoxes of UAV Strike. World Econ. Political Forum 2020, 3, 113–127. [Google Scholar]
- Niu, J. Research on Multi Aircraft Collaborative Attack Mode Under Distributed Layout of UAV Strike Reconnaissance; North China University: Beijing, China, 2019. [Google Scholar]
- Chen, X.; Zhai, W. New Developments and Performance Analysis of Military UAVs in the United States and China. Ship Electron. Eng. 2011, 31, 26–28. [Google Scholar]
- Corke, P.; Hrabar, S.; Peterson, R.; Rus, D.; Saripalli, S.; Sukhatme, G. Autonomous Deployment and Repair of a Sensor Network Using an Unmanned Aerial Vehicle. In Proceedings of the IEEE International Conference on Robotics and Automation (ICRA ’04), New Orleans, LA, USA, 26 April–1 May 2004; Volume 4, pp. 3602–3608. [Google Scholar]
- Hamaza, S.; Georgilas, I.; Fernandez, M.; Sanchez, P.; Richardson, T.; Heredia, G.; Ollero, A. Sensor Installation and Retrieval Operations Using an Unmanned Aerial Manipulator. IEEE Robot. Autom. Lett. 2019, 4, 2793–2800. [Google Scholar] [CrossRef]
- Kovac, M. Learning from Nature How to Land Aerial Robots. Science 2016, 352, 895–896. [Google Scholar] [CrossRef] [PubMed]
- Farinha, A.; Zufferey, R. Unmanned Aerial Sensor Placement for Cluttered Environments. IEEE Robot. Autom. Lett. 2020, 5, 6623–6630. [Google Scholar] [CrossRef]
- Kooi, B.W. Design and Materials in Archery. Mater. Sport. Equip. 2019, 12, 347–374. [Google Scholar]
- Park, J.L. A Compound Archery Body Dynamic Model, Suggesting Modifications to Improve Accuracy. Proc. Inst. Mech. Eng. Part P J. Sports Eng. Technol. 2009, 223, 139–150. [Google Scholar]
- Hickman, C.N. The Dynamics of a Bow and Arrow. J. Appl. Phys. 1937, 8, 404–409. [Google Scholar] [CrossRef]
- Hickman, C.N.; Nagler, F.; Klopsteg, P.E. Archery: The Technical Side; National Field Archery Association: Redlands, CA, USA, 1947. [Google Scholar]
- Kooi, B.W. On the Mechanics of the Bow. J. Eng. Math. 1981, 15, 119–145. [Google Scholar] [CrossRef]
- Kooi, B.W. On the Mechanics of the Bow. Ph.D. Thesis, Rijksuniversiteit Groningen, Groningen, The Netherlands, 1983. [Google Scholar]
- Wang, X. Characteristics Analysis and Experimental Study of the Reverse Bow System; Southwest Petroleum University: Chengdu, China, 2005. [Google Scholar]
- Liang, S.; Zhu, Y. The Influence of Gradual Thinning Process on the Energy Conversion Efficiency of Reverse Bow. J. Chengdu Univ. (Nat. Sci. Ed.) 2019, 38, 190–193. [Google Scholar]
- Zhang, H. Structural Optimization and Casting Process Design of Bow; Hefei University of Technology: Hefei, China, 2016. [Google Scholar]
- Zhang, B. Research on Ancient Bow Machinery Theory and Implementation of Information Management; Xi’an University of Technology: Xi’an, China, 2016. [Google Scholar]
- Tiermas, M. An advanced model of the round-wheel compound bow. In Meccanica; Springer: Berlin/Heidelberg, Germany, 2016; Volume 51, pp. 1201–1207. [Google Scholar]
- Jain, M.; Saihjpal, V.; Singh, N.; Singh, S.B. An Overview of Variants and Advancements of PSO Algorithm. Appl. Sci. 2022, 12, 8392. [Google Scholar] [CrossRef]
- Dhiman, G.; Garg, M.; Nagar, A.; Kumar, V.; Dehghani, M. A Novel Algorithm for Global Optimization: Rat Swarm Optimizer. J. Ambient. Intell. Humaniz. Comput. 2020, 12, 8457–8482. [Google Scholar] [CrossRef]
- Kanoh, H.; Chen, S. Particle Swarm Optimization with Transition Probability for Timetabling Problems. In Adaptive and Natural Computing Algorithms; Lecture Notes in Computer Science; Springer: Berlin/Heidelberg, Germany, 2013; Volume 7824, pp. 256–264. [Google Scholar]
- Kennedy, J.; Eberhart, R. Particle Swarm Optimization. In Proceedings of the IEEE International Conference on Neural Networks, Perth, Australia, 27 November–1 December 1995; pp. 1942–1945. [Google Scholar]
- Mezura-Montes, E.; Coello Coello, C.A. Constraint-handling in nature-inspired numerical optimization: Past, present and future. Swarm Evol. Comput. 2011, 1, 173–194. [Google Scholar] [CrossRef]
- Pedersen, M.E. Good Parameters for Particle Swarm Optimization; Hvass Laboratories: Luxembourg, 2010. [Google Scholar]
- Dixon, L.C.W.; Szego, G.P. (Eds.) Towards Global Optimisation 2; Elsevier Science Ltd.: Amsterdam, The Netherlands, 1978. [Google Scholar]
- Yang, S.; Wang, H.; Xu, Y.; Guo, Y.; Pan, L.; Zhang, J.; Guo, X.; Meng, D.; Wang, J. A Coupled Simulated Annealing and Particle Swarm Optimization Reliability-Based Design Optimization Strategy under Hybrid Uncertainties. Mathematics 2023, 11, 4790. [Google Scholar] [CrossRef]











| Parameter | Value Change |
|---|---|
| Bow limb length L (cm) | 28, 30, 32, 34, 36 |
| Bow limb recurve angle w (°) | −20, −10, 0, 10, 20 |
| Bow limb bending ratio g | 0.5, 0.55, 0.6, 0.65, 0.7 |
| Bow limb bending stiffness coefficient k (N/rad) | 200, 300, 400, 500, 600 |
| Vertical height of bow riser (cm) | 20, 30, 40, 50, 60 |
| Bow riser angle (°) | 30, 35, 40, 45, 50 |
| String length (cm) | 50, 55, 60, 65, 70 |
| Parameter | Value Change |
|---|---|
| Bow limb length L (cm) | [25, 36] |
| Bow limb recurve angle w (°) | [−20, 20] |
| Bow limb bending ratio g | [0.5, 0.7] |
| Bow limb bending stiffness coefficient k (N/rad) | [20, 60] |
| Vertical height of bow riser (cm) | [30, 50] |
| Bow riser angle (°) | [50, 70] |
| L (cm) | F (N) | E (J) | Q |
|---|---|---|---|
| 28 | 664.2 | 36.5 | 0.137 |
| 30 | 513.5 | 28.1 | 0.137 |
| 32 | 410.4 | 21.4 | 0.130 |
| 34 | 333.4 | 15.9 | 0.119 |
| 36 | 269.8 | 11.3 | 0.105 |
| g | F (N) | E (J) | Q |
|---|---|---|---|
| 0.50 | 847.1 | 38.2 | 0.113 |
| 0.55 | 546.3 | 27.5 | 0.126 |
| 0.60 | 410.4 | 21.4 | 0.130 |
| 0.65 | 332.7 | 17.5 | 0.131 |
| 0.70 | 280.2 | 14.6 | 0.130 |
| w (°) | F (N) | E (J) | Q |
|---|---|---|---|
| −20 | 552 | 29.4 | 0.133 |
| −10 | 481.2 | 25.4 | 0.132 |
| 0 | 410.4 | 21.4 | 0.130 |
| 10 | 339.5 | 17.4 | 0.128 |
| 20 | 268.7 | 13.4 | 0.125 |
| k (N/rad) | F (N) | E (J) | Q |
|---|---|---|---|
| 200 | 205.2 | 10.7 | 0.130 |
| 300 | 307.8 | 16.0 | 0.130 |
| 400 | 410.4 | 21.4 | 0.130 |
| 500 | 512.9 | 26.7 | 0.130 |
| 600 | 615.5 | 32.1 | 0.130 |
| (cm) | F (N) | E (J) | Q |
|---|---|---|---|
| 20 | 1045.7 | 39.7 | 0.095 |
| 30 | 573.9 | 27.4 | 0.120 |
| 40 | 410.4 | 21.4 | 0.130 |
| 50 | 323.5 | 17.6 | 0.136 |
| 60 | 268.8 | 15.1 | 0.140 |
| (°) | F (N) | E (J) | Q |
|---|---|---|---|
| 30 | 764.1 | 40.2 | 0.132 |
| 35 | 554.1 | 29.4 | 0.132 |
| 40 | 410.4 | 21.4 | 0.130 |
| 45 | 305.6 | 15.4 | 0.126 |
| 50 | 226.4 | 11.0 | 0.122 |
| (cm) | F (N) | E (J) | Q |
|---|---|---|---|
| 50 | 2118.7 | 60.3 | 0.071 |
| 55 | 679.1 | 31.4 | 0.116 |
| 60 | 410.4 | 21.4 | 0.130 |
| 65 | 288.7 | 16.2 | 0.140 |
| 70 | 218.4 | 13.1 | 0.150 |
| Parameter Name for Launcher | Change in Parameter Value of Launcher | Change in Drawing Force | Change in Energy Storage | Change in Energy Storage Coefficient |
|---|---|---|---|---|
| Vertical height of bow riser (cm) | ↑ 1 | ↓ | ↓ | ↑ |
| Bow riser angle (°) | ↓ 2 | ↑ | ↑ | ↑ |
| Bow limb length L (cm) | ↓ | ↑ | ↑ | ↑ |
| Bow limb recurve angle w (°) | ↑ | ↑ | ↑ | ↑ |
| Bow limb bending ratio g | ↑ | ↓ | ↓ | ↑ |
| Bending stiffness coefficient k (N/rad) | ↑ | ↑ | ↑ | - 3 |
| String length (cm) | ↑ | ↓ | ↓ | ↑ |
| Parameter | Value |
|---|---|
| Vertical height of bow riser (cm) | 31.9 |
| Bow riser angle (°) | 47 |
| Bow limb length L (cm) | 28 |
| Bow limb recurve angle w (°) | −20 |
| Bow limb bending ratio g | 0.5 |
| String length (cm) | 70 |
| k (°/rad) | F (N) | E (J) | Q |
|---|---|---|---|
| Original plan: 400 | 410.4 | 21.4 | 0.13 |
| Improvement plan: 400 | 277.2 | 21.8 | 0.197 |
| Improvement plan: 590 | 408.9 | 32.2 | 0.197 |
| Improvement plan: 1100 | 762.3 | 60.1 | 0.197 |
Disclaimer/Publisher’s Note: The statements, opinions and data contained in all publications are solely those of the individual author(s) and contributor(s) and not of MDPI and/or the editor(s). MDPI and/or the editor(s) disclaim responsibility for any injury to people or property resulting from any ideas, methods, instructions or products referred to in the content. |
© 2024 by the authors. Licensee MDPI, Basel, Switzerland. This article is an open access article distributed under the terms and conditions of the Creative Commons Attribution (CC BY) license (https://creativecommons.org/licenses/by/4.0/).
Share and Cite
He, Y.; Xu, H.; Wang, L.; Di, L.; Liu, W.; Liu, L. Analysis of the Energy Storage Efficiency of a UAV-Mounted Sensor Launcher Built on Traditional Crossbow Launch Mechanisms. Drones 2024, 8, 712. https://doi.org/10.3390/drones8120712
He Y, Xu H, Wang L, Di L, Liu W, Liu L. Analysis of the Energy Storage Efficiency of a UAV-Mounted Sensor Launcher Built on Traditional Crossbow Launch Mechanisms. Drones. 2024; 8(12):712. https://doi.org/10.3390/drones8120712
Chicago/Turabian StyleHe, Yanan, Huiqi Xu, Lei Wang, Lingsong Di, Weihua Liu, and Liang Liu. 2024. "Analysis of the Energy Storage Efficiency of a UAV-Mounted Sensor Launcher Built on Traditional Crossbow Launch Mechanisms" Drones 8, no. 12: 712. https://doi.org/10.3390/drones8120712
APA StyleHe, Y., Xu, H., Wang, L., Di, L., Liu, W., & Liu, L. (2024). Analysis of the Energy Storage Efficiency of a UAV-Mounted Sensor Launcher Built on Traditional Crossbow Launch Mechanisms. Drones, 8(12), 712. https://doi.org/10.3390/drones8120712

