Adaptive Control for Small-Scale Unmanned Helicopters: Enhancing Speed Regulation
Abstract
1. Introduction
2. Control System Architecture
2.1. PID Attitude Controllers
2.2. PID Heading Hold and Altitude Hold Controllers
2.3. Adaptive Speed Hold Controllers
3. Helicopter Mathematical Model
- The earth is flat and fixed;
- Mass, inertia, and center of gravity position are constant, and the vehicle presents a longitudinal plane of symmetry;
- Gravity acceleration is considered independent of height and hence constant.
3.1. Main Rotor Model
- Blade flow stall and compressibility were not taken into account;
- Rotor blades were rigid in torsion and bending;
- Linear blade twist;
- Flapping angles were small, and the simple strip theory was applied [49];
- Blade flapping was approximated by the first harmonic terms with time-varying coefficients, that is,where are the coning, longitudinal, and lateral flapping angles, and is blade azimuth.
3.2. Tail Rotor and Fuselage Model
4. Simulation Results
4.1. PID Speed Control Simulations
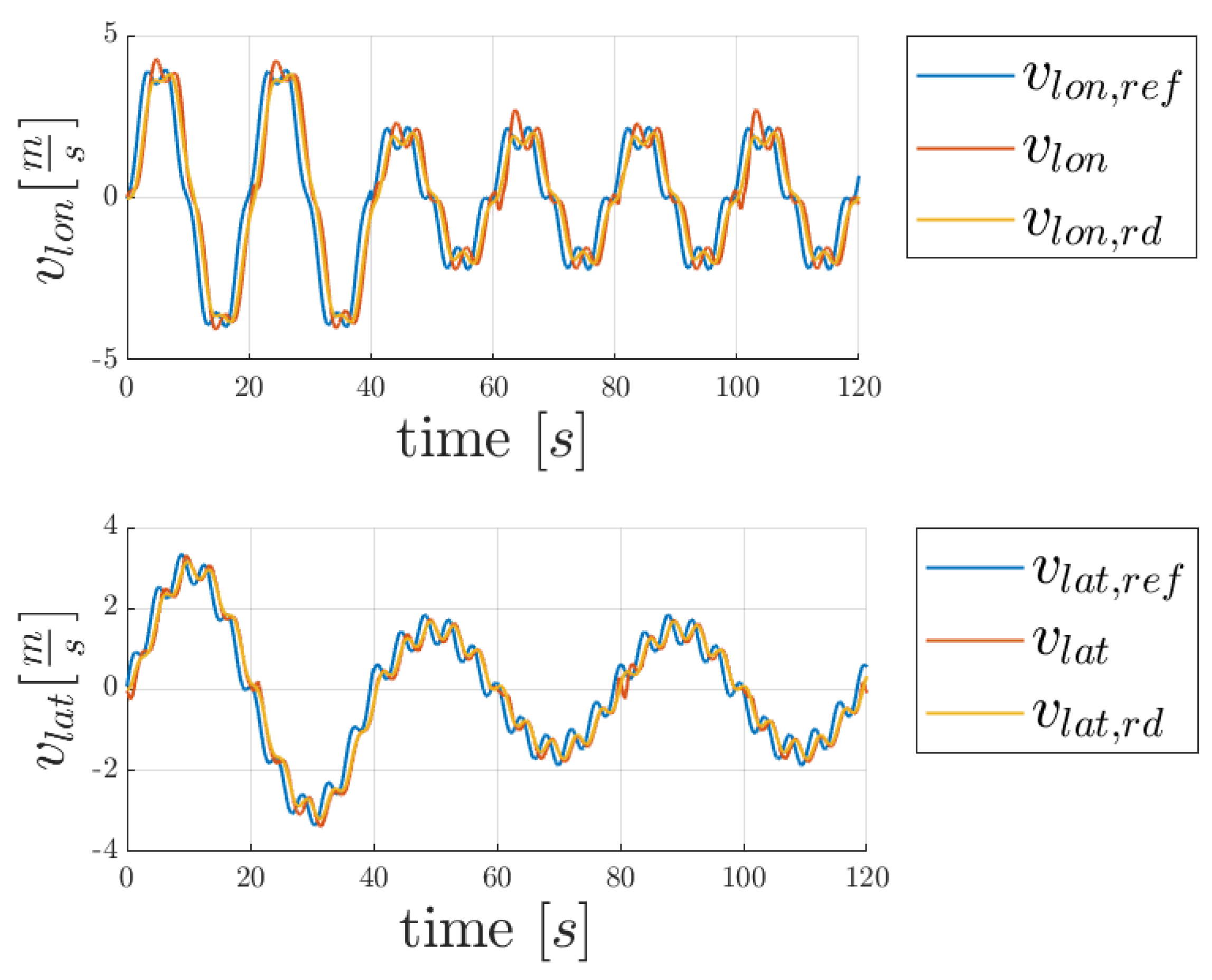
4.2. Speed Control Simulations
4.3. Speed Reference Tracking Performance Assessment
5. Experimental Results
5.1. Experimental Test Setup
5.2. Experimental Data Analysis
- Manual take-off (around 50 s in the following plots);
- Switch from flight mode 0 to 1 and then to 2 at 70 s (that corresponds to speed control);
- Hovering starting at 90 s up to 160 s;
- Lateral speed command;
- Longitudinal speed command: forward, backward, and forward;
- Lateral speed command;
- Longitudinal speed command: forward and backward;
- Flight mode switch from 2 to 1 and then to 0;
- Manual land (around 293 s).
6. Conclusions
Author Contributions
Funding
Data Availability Statement
Conflicts of Interest
Abbreviations
| Symbol | Description | Units |
| Rotor coning angle | rad | |
| Longitudinal TPP deflection angle in rotor–hub system | rad | |
| Lateral cyclic angle | rad | |
| Lateral TPP deflection angle in rotor–hub system | rad | |
| Longitudinal cyclic angle | rad | |
| Thrust coefficient | ||
| Pitching moment coefficient | ||
| Roll moment coefficient | ||
| Unitary gain low pass filter | ||
| d | Disturbance | |
| Force vector | N | |
| Reference frame | ||
| g | Gravity acceleration | m/s2 |
| Reference model transfer function | ||
| Plant transfer function | ||
| I | Inertia tensor | kg/m2 |
| K | Feedforward constant | |
| Integral PID gain | ||
| Proportional PID gain | ||
| Nonlinear version of the inflow gains matrix | ||
| L | Lipschitz constant | |
| m | Mass | kg |
| Moment vector | Nm | |
| Matrix of apparent mass terms | ||
| Rotor radius | m | |
| s | Complex variable | |
| t | Time variable | s |
| Rotation matrix | ||
| u | Control input | |
| input | ||
| Velocity vector | m/s | |
| Vertical speed in hub-body frame | m/s | |
| Position vector | m | |
| y | Output | |
| Predictor output | ||
| Blade flapping | rad | |
| Sideslip angle | rad | |
| Error signals | ||
| Adaptive gain | ||
| Roll, pitch, yaw Euler angles | rad | |
| Density | kg/m3 | |
| Inflow ratio | ||
| Uniform inflow ratio | ||
| Longitudinal inflow ratio | ||
| Lateral inflow ratio | ||
| Adaptive term | ||
| Estimated adaptive term | ||
| Blade collective | rad | |
| Yaw command | rad | |
| Angular velocity vector | rad/s | |
| Rotor angular velocity | rad/s | |
| Azimuth blade angle | rad | |
| (a) | Aerodynamical | |
| b | Body reference frame | |
| CG | Center of gravity | |
| des | Desired | |
| (e) | External | |
| E | North–east–down reference frame | |
| (g) | Gravitational | |
| lat | Lateral | |
| lon | Longitudinal | |
| Main rotor | ||
| Tail rotor | ||
| Buttline | ||
| North–east–down | ||
| Proportional–integral–derivative | ||
| Reference frame | ||
| Stationline | ||
| Tip path plane | ||
| Unmanned aerial vehicle | ||
| Waterline |
Appendix A
| Parameter | Symbol | Value | Units |
|---|---|---|---|
| UAV DATA | |||
| Mass | m | 4.8 | kg |
| Center of gravity stationline | 0.34 | m | |
| Center of gravity buttline | 0 | m | |
| Center of gravity waterline | 0.174 | m | |
| Moment of inertia | 0.0465, 0.2971, 0.2567 | kg m2 | |
| Inertia products | 0.0079, 0.0033, 0.0006 | kg m2 | |
| MAIN ROTOR (MR) | |||
| Number of blades | 2 | - | |
| Radius | 0.79 | m | |
| Chord | 0.06 | m | |
| Rotational speed | 1995.3 | rpm | |
| Hinge offset | 0.0314 | m | |
| Flapping spring constant | 162.69 | N m/rad | |
| Tangent of | 0 | - | |
| Blade twist | 0 | rad | |
| Precone angle | 0 | rad | |
| Solidity | 0.0479 | - | |
| Lift curve slope | 2* | 1/rad | |
| Blade inertia moment | 0.0344 | kg m2 | |
| MR hub stationline | 0.3305 | m | |
| MR hub buttline | 0 | m | |
| MR hub waterline | 0.35 | m | |
| TAIL ROTOR (TR) | |||
| Number of blades | 2 | - | |
| Radius | 0.115 | m | |
| Chord | 0.031 | m | |
| Rotational speed | 9976 | rpm | |
| Tangent of | 0 | - | |
| Blade twist | 0 | rad | |
| Solidity | 0.1716 | - | |
| Lift curve slope | 2* | 1/rad | |
| Blade inertia moment | 0.00002665 | kg m2 | |
| TR hub stationline | 1.385 | m | |
| TR hub buttline | 0.052 | m | |
| TR hub waterline | 0.205 | m | |
| FUSELAGE (FUS) | |||
| Fus. aerodynamic ref. point stationline | 0 | m | |
| Fus. aerodynamic ref. point buttline | 0 | m | |
| Fus. aerodynamic ref. point waterline | 0 | m | |
| Frontal area | 0.02042 | m2 | |
| Lateral area | 0.0633 | m2 | |
| Top area | 0.09739 | m2 | |
References
- Manfreda, S.; McCabe, M.F.; Miller, P.E.; Lucas, R.; Madrigal, V.P.; Mallinis, G.; Dor, E.B.; Helman, D.; Estes, L.; Ciraolo, G.; et al. On the Use of Unmanned Aerial Systems for Environmental Monitoring. Remote Sens. 2018, 10, 641. [Google Scholar] [CrossRef]
- Zhang, Z.; Zhu, L. A Review on Unmanned Aerial Vehicle Remote Sensing: Platforms, Sensors, Data Processing Methods, and Applications. Drones 2023, 7, 398. [Google Scholar] [CrossRef]
- Fang, Z.; Savkin, A.V. Strategies for Optimized UAV Surveillance in Various Tasks and Scenarios: A Review. Drones 2024, 8, 193. [Google Scholar] [CrossRef]
- Telli, K.; Kraa, O.; Himeur, Y.; Ouamane, A.; Boumehraz, M.; Atalla, S.; Mansoor, W. A Comprehensive Review of Recent Research Trends on Unmanned Aerial Vehicles (UAVs). Systems 2023, 11, 400. [Google Scholar] [CrossRef]
- Ahmed, F.; Mohanta, J.C.; Keshari, A.; Yadav, P.S. Recent Advances in Unmanned Aerial Vehicles: A Review. Arab. J. Sci. Eng. 2022, 47, 7963–7984. [Google Scholar] [CrossRef]
- Jong, D.; Kang, T.; Dharmayanda, H.; Budiyono, A. H-Infinity Attitude Control System Design for a Small Scale Autonomous Helicopter with Nonlinear Dynamics and Uncertainties. J. Aerosp. Eng. 2012, 25, 501–518. [Google Scholar] [CrossRef]
- Nair, V.V.; Jayasree, P.R.; Parvathy, G. Robust control of helicopter with suspended load. In Proceedings of the 2017 International Conference on Circuit, Power and Computing Technologies (ICCPCT), Kollam, India, 20–21 April 2017; pp. 1–6. [Google Scholar] [CrossRef]
- Raptis, I.A.; Valavanis, K.P. Linear and Nonlinear Control of Small-Scale Unmanned Helicopters. In Intelligent Systems, Control and Automation: Science and Engineering; Springer: Dordrecht, The Netherlands, 2011; Volume 45. [Google Scholar] [CrossRef]
- Zhao, W.; Meng, Z.; Wang, K.; Zhang, H. Backstepping control of an unmanned helicopter subjected to external disturbance and model uncertainty. Appl. Sci. 2021, 11, 5331. [Google Scholar] [CrossRef]
- Wan, M.; Chen, M.; Lungu, M. Integral Backstepping Sliding Mode Control for Unmanned Autonomous Helicopters Based on Neural Networks. Drones 2023, 7, 154. [Google Scholar] [CrossRef]
- Xian, B.; Jianchuan, G.; Yao, Z.; Bo, Z. Sliding mode tracking control for miniature unmanned helicopters. Chin. J. Aeronaut. 2015, 28, 277–284. [Google Scholar] [CrossRef]
- Halbe, O.; Hajek, M. Robust helicopter sliding mode control for enhanced handling and trajectory following. J. Guid. Control. Dyn. 2020, 43, 1805–1821. [Google Scholar] [CrossRef]
- Liceaga-Castro, E.; Bradley, R.; Castro-Linares, R. Helicopter control design using feedback linearization techniques. In Proceedings of the 28th IEEE Conference on Decision and Control, Tampa, FL, USA, 13–15 December 1989; Volume 1, pp. 533–534. [Google Scholar] [CrossRef]
- Nidya, M.V.; Mija, S.J.; Jacob, J. Feedback-linearization based robust relatively optimal trajectory tracking controller for 3-DOF helicopter. Eng. Sci. Technol. Int. J. 2022, 31, 101050. [Google Scholar] [CrossRef]
- Mohammadzahri, M.; Khaleghifar, A.; Ghodsi, M.; Soltani, P.; AlSulti, S. A discrete approach to feedback linearization, yaw control of an unmanned helicopter. Unmanned Syst. 2023, 11, 57–66. [Google Scholar] [CrossRef]
- Pavel, M.; Shanthakumaran, P.; Chu, Q.; Stroosma, O.; Wolfe, M.; Cazemier, H. Incremental nonlinear dynamic inversion for the Apache AH-64 helicopter control. J. Am. Helicopter Soc. 2020, 65. [Google Scholar] [CrossRef]
- Zhang, S.; Zhang, H.; Ji, K. Incremental nonlinear dynamic inversion attitude control for helicopter with actuator delay and saturation. Aerospace 2023, 10, 521. [Google Scholar] [CrossRef]
- Liu, C.; Chen, W.H.; Andrews, J. Model predictive control for autonomous helicopters with computational delay. In Proceedings of the UKACC International Conference on Control, Coventry, UK, 7–10 September 2010; pp. 1–6. [Google Scholar] [CrossRef]
- Joelianto, E.; Sumarjono, E.; Budiyono, A.; Penggalih, D. Model predictive control for autonomous unmanned helicopters. Aircr. Eng. Aerosp. Technol. Int. J. 2011, 83, 375–387. [Google Scholar] [CrossRef]
- Greer, W.B.; Sultan, C. Infinite horizon model predictive control tracking application to helicopters. Aerosp. Sci. Technol. 2020, 98, 105675. [Google Scholar] [CrossRef]
- Chikasha, P.N.; Dube, C. Adaptive model predictive control for a quadrotor. IFAC-PapersOnLine 2017, 50, 157–162. [Google Scholar] [CrossRef]
- Dutta, L.; Das, D. Adaptive model predictive control design using multiple model second level adaptation for parameter estimation of two-degree freedom of helicopter model. Int. J. Robust Nonlinear Control 2021, 31, 3248–3278. [Google Scholar] [CrossRef]
- Wang, Y.; Li, A.; Yang, S.; Li, Q.; Ma, Z. A neural network based MRAC scheme with application to an autonomous nonlinear rotorcraft in the presence of input saturation. ISA Trans. 2021, 115, 1–11. [Google Scholar] [CrossRef]
- Wang, Y.; Li, A.; Yang, S.; Tian, H. A model reference adaptive control scheme of a high-order nonlinear helicopter subject to input and state constraints. J. Frankl. Inst. 2022, 359, 6709–6734. [Google Scholar] [CrossRef]
- Sadeghzadeh, I.; Mehta, A.; Zhang, Y. Fault tolerant control of a quadrotor helicopter using model reference adaptive control. In Proceedings of the International Design Engineering Technical Conferences and Computers and Information in Engineering Conference, Washington, DC, USA, 28–31 August 2011; Volume 54808, pp. 997–1004. [Google Scholar]
- Xu, W.; Zhang, F.; Lin, D. System identification and adaptive control of micro helicopter. In Journal of Physics: Conference Series; IOP Publishing: Bristol, UK, 2021; Volume 1780, p. 012026. [Google Scholar]
- Subramanian, R.G.; Elumalai, V.K. Robust MRAC augmented baseline LQR for tracking control of 2 DoF helicopter. Robot. Auton. Syst. 2016, 86, 70–77. [Google Scholar] [CrossRef]
- Cao, C.; Hovakimyan, N. Design and analysis of a novel l1 adaptive controller, part I: Control signal and asymptotic stability. In Proceedings of the 2006 American Control Conference, Minneapolis, MN, USA, 14–16 June 2006; IEEE: Piscataway, NJ, USA, 2006; pp. 3397–3402. [Google Scholar]
- Cao, C.; Hovakimyan, N. Stability margins of L1 adaptive controller: Part ii. In Proceedings of the American Control Conference, New York, NY, USA, 9–13 July 2007. [Google Scholar]
- Cao, C.; Hovakimyan, N. L1 adaptive controller for systems with unknown time-varying parameters and disturbances in the presence of non-zero trajectory initialization error. Int. J. Control 2008, 81, 1148–1162. [Google Scholar] [CrossRef]
- Cao, C.; Hovakimyan, N. Design and analysis of a novel L1 adaptive control architecture with guaranteed transient performance. IEEE Trans. Autom. Control 2008, 53, 586–591. [Google Scholar] [CrossRef]
- Cao, C.; Hovakimyan, N. L1 adaptive output feedback controller for systems of unknown dimension. IEEE Trans. Autom. Control 2008, 53, 815–821. [Google Scholar] [CrossRef]
- Wnag, J.; Vijay, V.P.; Cao, C.; Hovakimyan, N.; Lavretsky, E. Novel L1 adaptive control methodology for aerial refueling with guaranteed transient performance. J. Guid. Control. Dyn. 2008, 31, 182–193. [Google Scholar] [CrossRef]
- Gregory, I.; Cao, C.; Xargay, E.; Hovakimyan, N.; Zou, X. L1 adaptive control design for NASA AirSTAR flight test vehicle. In Proceedings of the AIAA Guidance, Navigation, and Control Conference, Chicago, IL, USA, 10–13 August 2009. [Google Scholar] [CrossRef]
- Hellmundt, F.; Wildschek, A.; Maier, R.; Osterhuber, R.; Holzapfel, F. Comparison of L1 Adaptive Augmentation Strategies for a Differential PI Baseline Controller on a Longitudinal F16 Aircraft Model. In Advances in Aerospace Guidance, Navigation and Control; Springer: Cham, Switzerland, 2018; pp. 99–118. [Google Scholar] [CrossRef]
- Bichlmeier, M.; Holzapfel, F.; Xargay, E.; Hovakimyan, N. L1 Adaptive Augmentation of a Helicopter Baseline Controller. In Proceedings of the AIAA Guidance, Navigation, and Control (GNC) Conference, Boston, MA, USA, 19–22 August 2013. [Google Scholar]
- Song, T.; Wang, J.; Lin, D.; Pei, P. L1 adaptive control design of a helicopter in vertical flight. Proc. Inst. Mech. Eng. Part J. Aerosp. Eng. 2020, 234, 2089–2099. [Google Scholar]
- Guerreiro, B.J.; Silvestre, C.; Cunha, R.; Cao, C.; Hovakimyan, N. L1 adaptive control for autonomous rotorcraft. In American Control Conference; IEEE: Piscataway, NJ, USA, 2009; pp. 3250–3255. [Google Scholar]
- Ryals, A.D.; Bertolani, G.; Pollini, L.; Giulietti, F. L1 adaptive attitude augmentation of a small scale unmanned helicopter. In Proceedings of the 2023 International Conference on Unmanned Aircraft Systems (ICUAS), Warsaw, Poland, 6–9 June 2023; pp. 1081–1088. [Google Scholar] [CrossRef]
- Bertolani, G.; Ryals, A.D.; Pollini, L.; Giulietti, F. L1 adaptive speed control for a helicopter. In Proceedings of the 48th European Rotorcraft Forum, ERF 2022, Winterthur, Switzerland, 6–8 September 2022. [Google Scholar]
- Harada, M.; Ichikawa, R.; Watanabe, S.; Bollino, K. L1 Adaptive Control for a Single Coaxial Rotor MAV. In Proceedings of the AIAA Guidance, Navigation, and Control Conference, San Diego, CA, USA, 4–8 January 2016; American Institute of Aeronautics and Astronautics: Reston, VA, USA. [Google Scholar] [CrossRef]
- Szafranski, G.; Roman, C. Different approaches of PID control UAV type quadrotor. In Proceedings of the International Micro Air Vehicles Conference, Harde, The Netherlands, 12–15 September 2011; pp. 70–75. [Google Scholar]
- Lavretsky, E.; Gibson, T.E. Projection Operator in Adaptive Systems. arXiv 2012, arXiv:1112.4232. [Google Scholar]
- Mettler, B. Identification Modeling and Characteristics of Miniature Rotorcraft; Springer: Cham, Switzerland, 2002. [Google Scholar]
- Talbot, P.D.; Tinling, B.E.; Decker, W.A.; Chen, R.T.N. A mathematical Model for a Single Main Rotor Helicopter for Piloted Simulation; Ames Reasearch Center Moffett: Field, CA, USA, 1982. [Google Scholar]
- Heffley, R.; Mnich, M.A. Minimum Complexity Helicopter Simulation Math Model. Ames Research Center: Mountain View, CA, USA, 1988. [Google Scholar]
- Peters, D.A.; HaQuang, N. Dynamic inflow for practical applications. J. Am. Helicopter Soc. 1988, 33, 64–68. [Google Scholar] [CrossRef]
- NOAA-S/T 76-1562; U.S. Standard Atmosphere. U.S. Government Printing Office: Washington, DC, USA, 1976.
- Leishman, J.G. Principles of Helicopter Aerodynamics; Cambridge aerospace series 12; Cambridge University Press: Cambridge, UK, 2000. [Google Scholar]
- Dormand, J.; Prince, P. A family of embedded Runge-Kutta formulae. J. Comput. Appl. Math. 1980, 6, 19–26. [Google Scholar] [CrossRef]
- U.S. Military Specification MIL-F-8785C. 1980. Available online: http://www2.coe.pku.edu.cn/tpic/2011971042474.pdf (accessed on 1 July 2024).
- U.S. Military Handbook MIL-HDBK-1797B. 2012. Available online: https://www.abbottaerospace.com/downloads/mil-hdbk-1797-department-of-defense-interface-standard-flying-qualities-of-piloted-aircraft/ (accessed on 1 July 2024).
- Pixhawk Website. Available online: https://pixhawk.org/ (accessed on 1 July 2024).
- UAV Toolbox Support Package for PX4 Autipilots Website. Available online: https://www.mathworks.com/help/uav/px4-spkg.html (accessed on 1 July 2024).















| Control Parameters | Values | Units |
|---|---|---|
| 10,000 | ||
| 2 | rad/s | |
| 1 | ||
| 40 | rad/s | |
| 1 | ||
ine | 0.18 0.26 |
| Control Parameters | Values |
|---|---|
Disclaimer/Publisher’s Note: The statements, opinions and data contained in all publications are solely those of the individual author(s) and contributor(s) and not of MDPI and/or the editor(s). MDPI and/or the editor(s) disclaim responsibility for any injury to people or property resulting from any ideas, methods, instructions or products referred to in the content. |
© 2024 by the authors. Licensee MDPI, Basel, Switzerland. This article is an open access article distributed under the terms and conditions of the Creative Commons Attribution (CC BY) license (https://creativecommons.org/licenses/by/4.0/).
Share and Cite
Bertolani, G.; Ryals, A.D.; de Angelis, E.L.; Pollini, L.; Giulietti, F.
Bertolani G, Ryals AD, de Angelis EL, Pollini L, Giulietti F.
Bertolani, Giulia, Andrea Dan Ryals, Emanuele Luigi de Angelis, Lorenzo Pollini, and Fabrizio Giulietti.
2024. "
Bertolani, G., Ryals, A. D., de Angelis, E. L., Pollini, L., & Giulietti, F.
(2024).

