Synchronized Tracking Control of Dynamic System of Unmanned Rear-Wheel Vehicles Based on Dynamic Analysis
Abstract
:1. Introduction
- In general, unmanned vehicle systems are typically analyzed based on their center of mass in dynamic studies due to its greater convenience for deduction, discussion, and demonstration purposes. Compared with the studies [21,27,30], instead of a mass-center vehicle, the rear-wheel drive unmanned vehicle system is studied. The corresponding dynamic control is proved and analyzed in this paper.
- The objective of our study is to develop a control scheme for an unmanned rear-wheel vehicle system that focuses on two critical control parameters: the velocity () and heading angular velocity (). By analyzing the system’s stability, we are able to derive a new control condition presented in Equation (11).
- Simulations to demonstrate the effectiveness of our proposed control scheme and system model are conducted. Moreover, the control parameters are explained and analyzed in Remark 1 and Example 2.
2. Materials and Methods
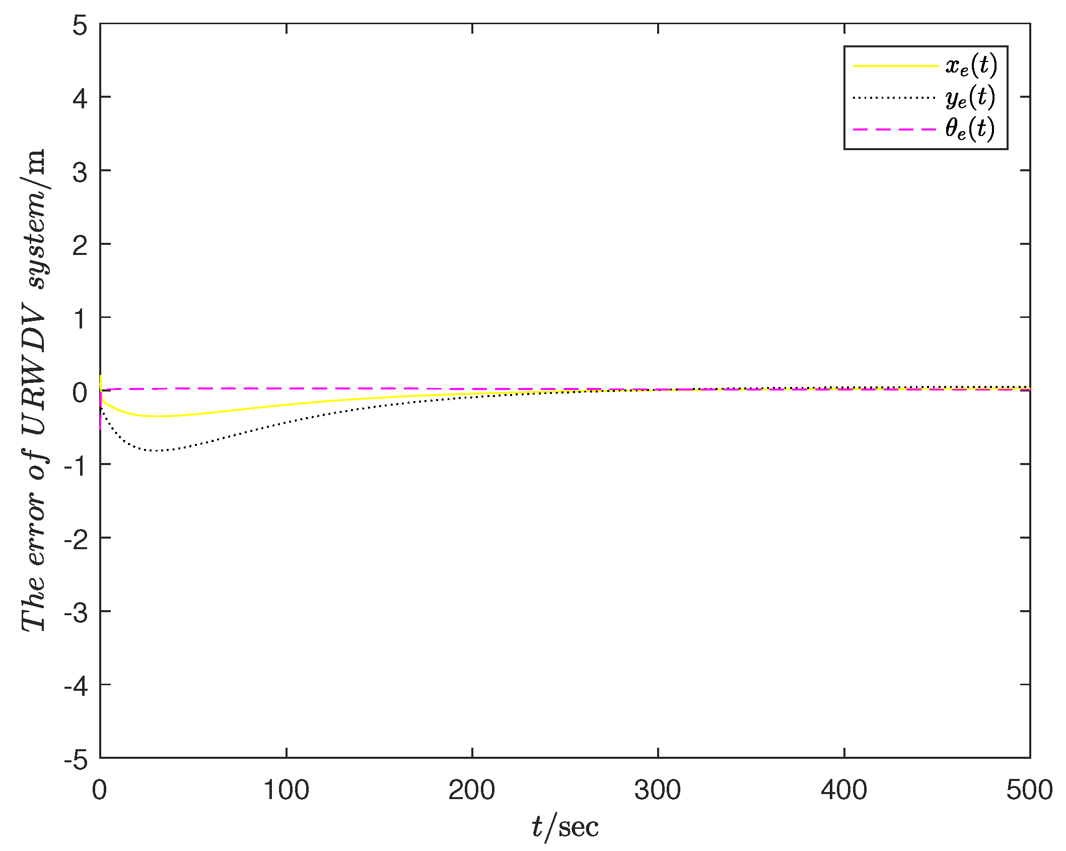
3. Results
4. Discussion
5. Conclusions
Author Contributions
Funding
Institutional Review Board Statement
Informed Consent Statement
Data Availability Statement
Conflicts of Interest
References
- Mantel, R.J.; Landeweerd, H. Design and operational control of an AGV system. Int. J. Prod. Econ. 1995, 41, 257–266. [Google Scholar] [CrossRef] [Green Version]
- Farahvash, P.; Boucher, T.O. A multi-agent architecture for control of AGV systems. Robot. Comput. Integr. Manuf. 2004, 20, 473–483. [Google Scholar] [CrossRef]
- Sun, H.; Zong, G.; Cui, J.; Shi, K. Fixed-time sliding mode output feedback tracking control for autonomous underwater vehicle with prescribed performance constraint. Ocean. Eng. 2022, 1, 247. [Google Scholar] [CrossRef]
- Luo, Z.; Tang, Y.Q.; Li, D.; Wang, L.J. AGV rectifying method based on optimal deviation path. Chin. J. Sci. Instrum. 2017, 38, 853–860. [Google Scholar]
- Zheng, K.; Tang, D.; Gu, W.; Dai, M. Distributed control of multi-AGV system based on regional control model. Prod. Eng. 2013, 7, 433–441. [Google Scholar] [CrossRef]
- Li, Q.; Udding, J.T.; Pogromsky, A.Y. Modeling and control of the AGV system in an automated container terminal. Stud. Surf. Sci. Catal. 2010, 110, 711–720. [Google Scholar]
- Zheng, B.K.; Lai, Y.Z.; Feng, Y.E. Design and implementation of the magnetic navigation AGV control system. Autom. Instrum. 2014, 29, 6–10. [Google Scholar]
- Maxwell, W.L.; Muckstadt, J.A. Design of Automated Guided Vehicle Systems. IIE Trans. 1982, 14, 114–124. [Google Scholar] [CrossRef]
- Shi, L.; Li, W.; Shi, M.; Shi, K.; Cheng, Y. Opinion Polarization Over Signed Social Networks with Quasi Structural Balance. IEEE Trans. Autom. Control 2023. early access. [Google Scholar] [CrossRef]
- Zhang, T.; Li, Q.; Zhang, C.S.; Liang, H.W.; Li, P.; Wang, T.M.; Li, S.; Zhu, Y.L.; Wu, C. Current trends in the development of intelligent unmanned autonomous systems. Front. Inf. Technol. Electron. Eng. 2017, 18, 68–85. [Google Scholar] [CrossRef] [Green Version]
- Shi, L.; Liu, Q.; Shao, J.; Cheng, Y.; Zheng, W. A Cooperation-Competition Evolutionary Dynamic Model Over Signed Networks. IEEE Trans. Autom. Control 2023. early acess. [Google Scholar] [CrossRef]
- Sujit, P.B.; Saripalli, S.; Sousa, J.B. Unmanned aerial vehicle path following: A survey and analysis of algorithms for fixed-wing unmanned aerial vehicles. IEEE Control Syst. Mag. 2014, 34, 42–59. [Google Scholar]
- Benaoumeur, I.; Laredj, B.; Reda, H.; Zoubir, A.F. Backstepping Approach for Autonomous Mobile Robot Trajectory Tracking. Indones. J. Electr. Eng. Comput. Sci. 2016, 2, 478–485. [Google Scholar] [CrossRef]
- Shi, L.; Cheng, Y.; Shao, J.; Sheng, H.; Liu, Q. Cucker-Smale flocking over cooperation-competition networks. Automatica 2022, 135, 109988. [Google Scholar] [CrossRef]
- He, H.; Liu, Z.; Zhu, L.; Liu, X. Dynamic Coordinated Shifting Control of Automated Mechanical Transmissions without a Clutch in a Plug-In Hybrid Electric Vehicle. Energies 2012, 5, 3094–3109. [Google Scholar] [CrossRef] [Green Version]
- Shi, L.; Zheng, W.X.; Shao, J.; Chen, Y.H. Sub/super-stochastic matrix with applications to bipartite tracking control over signed networks. SIAM J. Control Optim. 2021, 59, 4563–4589. [Google Scholar] [CrossRef]
- Mu, X.; Yan, S. Adaptive Leader-Following Consensus Tracking Control of Multiple UAVs Subject to Deception Attacks. Processes 2022, 10, 757. [Google Scholar] [CrossRef]
- Shi, L.; Cheng, Y.; Shao, J.; Zhang, X. Collective Behavior of Multileader Multiagent Systems with Random Interactions Over Signed Digraphs. IEEE Trans. Control Netw. Syst. 2021, 8, 1394–1405. [Google Scholar] [CrossRef]
- Han, S.; Zhong, Q.; Wang, Y.; Shi, K.; Zhong, S. Nonfragile consensus of nonlinear multiagent systems with intrinsic delays via aperiodic memory sampled-data control. Int. J. Robust Nonlinear Control 2022, 9, 32. [Google Scholar] [CrossRef]
- Zhang, K.; Su, R.; Zhang, H.; Tian, Y. Adaptive Resilient Event-Triggered Control Design of Autonomous Vehicles with an Iterative Single Critic Learning Framework. IEEE Trans. Neural Networks Learn. Syst. 2021, 32, 5502–5511. [Google Scholar] [CrossRef]
- Shang, J.; Zhang, J.; Li, C. Trajectory tracking control of AGV based on time-varying state feedback. EURASIP J. Wirel. Commun. Netw. 2021, 2021, 162. [Google Scholar] [CrossRef]
- Liu, X.; Chen, T. Synchronization of complex networks via aperiodically intermittent pinning control. IEEE Trans. Autom. Control 2015, 60, 3316–3321. [Google Scholar] [CrossRef]
- Fiori, S.; Cervigni, I.; Ippoliti, M.; Menotta, C. Synchronization of dynamical systems on Riemannian manifolds by an extended PID-type control theory: Numerical evaluation. Discret. Contin. Dyn. Syst.-B 2022, 27, 7373–7408. [Google Scholar] [CrossRef]
- Zhao, C.; Cao, J.; Shi, K.; Tang, Y.; Zhong, S.; Alsaadi, F.E. Improved Nonfragile Sampled-Data Event-Triggered Control for the Exponential Synchronization of Delayed Complex Dynamical Networks. Mathmetics 2022, 10, 3504. [Google Scholar] [CrossRef]
- Kesen, S.E.; Baykoç, O.F. Simulation of automated guided vehicle (AGV) systems based on just-in-time (JIT) philosophy in a job-shop environment. Simul. Model. Pract. Theory 2007, 15, 272–284. [Google Scholar] [CrossRef]
- Ullrich, G. Automated Guided Vehicle Systems: A Primer with Practical Applications; Springer: Berlin/Heidelberg, Germany, 2014; pp. 1–14. [Google Scholar]
- Kanayama, Y.; Kimura, Y.; Miyazaki, F.; Noguchi, T. A stable tracking control method for an autonomous mobile robot. In Proceedings of the IEEE International Conference on Robotics and Automation, Cincinnati, OH, USA, 13–18 May 1990; Volume 20, pp. 384–389. [Google Scholar]
- Lu, Y.M.; Ma, Y.T.; Hou, X. Trajectory tracking control for 4wd vehicles using MPC and adaptive fuzzy control. In Proceedings of the 36th Chinese Control Conference (CCC), Dalian, China, 26–28 July 2017; Volume 26, pp. 9367–9372. [Google Scholar]
- Pratama, P.S.; Gulakari, A.V.; Setiawan, Y.D.; Kim, D.H.; Kim, S.B. Trajectory Tracking and Fault Detection Algorithm for Automatic Guided Vehicle Based on Multiple Positioning Modules. Int. J. Control Autom. Syst. 2016, 14, 400–410. [Google Scholar] [CrossRef]
- Tayade, S.; Rost, P.; Maeder, A. Error Convergence Analysis and Stability of a Cloud Control AGV. arXiv 2021, arXiv:2102.05385. [Google Scholar]
- Aguirre, A.A. Remote Control and Motion Coordination of Mobile Robots. Ph.D. Thesis, Technische Universiteit Eindhoven, Eindhoven, The Netherlands, 2011. [Google Scholar]
- Ma, G.; Ghasemi, M.; Song, X. Integrated powertrain energy management and vehicle coordination for multiple connected hybrid electric vehicles. IEEE Trans. Veh. Technol. 2017, 67, 2893–2899. [Google Scholar] [CrossRef]
- Li, B.H.; Liu, Y.; Zhang, A.M.; Wang, W.H.; Wan, S. A Survey on Blocking Technology of Entity Resolution. J. Comput. Sci. Technol. 2020, 35, 769–793. [Google Scholar] [CrossRef]
- Zhang, J.; Chen, Q.; Sun, J.; Tian, L.; Zuo, C. On a universal solution to the transport-of-intensity equation. Opt. Lett. 2020, 45, 3649–3652. [Google Scholar] [CrossRef]
- Jiang, B.; Li, J.; Yang, S. An improved sliding mode approach for trajectory following control of nonholonomic mobile AGV. Sci. Rep. 2022, 12, 17763. [Google Scholar] [CrossRef]
- Azzabi, A.; Nouri, K. Design of a robust tracking controller for a nonholonomic mobile robot based on sliding mode with adaptive gain. Int. J. Adv. Robot. Syst. 2021, 18, 1729881420987082. [Google Scholar] [CrossRef]
- Lin, L.; Wu, P.; He, B.; Chen, Y.; Zheng, J.; Peng, X. The sliding mode control approach design for nonholonomic mobile robots based on non-negative piecewise predefined-time control law. IET Control Theory Appl. 2021, 15, 1286–1296. [Google Scholar] [CrossRef]
- Ling, Y.; Wu, J.; Lyu, Z.; Xiong, P. Backstepping controller for laser ray tracking of a target mobile robot. Meas. Control 2020, 53, 1540–1547. [Google Scholar] [CrossRef]
- Ye, H.; Wang, S. Trajectory tracking control for nonholonomic wheeled mobile robots with external disturbances and parameter uncertainties. Int. J. Control Autom. Syst. 2020, 18, 3015–3022. [Google Scholar] [CrossRef]
- Bai, J.; Du, J.; Li, T.; Chen, Y. Trajectory tracking control for wheeled mobile robots with kinematic parameter uncertainty. Int. J. Control Autom. Syst. 2022, 20, 1632–1639. [Google Scholar] [CrossRef]
- Mai, T.A.; Dang, T.S.; Duong, D.T.; Le, V.C.; Banerjee, S. A combined backstepping and adaptive fuzzy PID approach for trajectory tracking of autonomous mobile robots. J. Braz. Soc. Mech. Sci. Eng. 2021, 43, 156. [Google Scholar] [CrossRef]
- Han, Y.; Cheng, Y.; Xu, G. Trajectory tracking control of AGV based on sliding mode control with the improved reaching law. IEEE Access 2019, 7, 20748–20755. [Google Scholar] [CrossRef]
- Jiang, J.; Astolfi, A. Shared-control for a rear-wheel drive car: Dynamic environments and disturbance rejection. IEEE Trans. Hum. Mach. Syst. 2017, 47, 723–734. [Google Scholar] [CrossRef] [Green Version]
- Mutoh, N.; Kazama, T.; Takita, K. Driving characteristics of an electric vehicle system with independently driven front and rear wheels. IEEE Trans. Ind. Electron. 2006, 53, 803–813. [Google Scholar] [CrossRef]









| Rear-Wheel Drive | Center-of-Vehicle Drive | Backstepping Method | Lyapunov-Based Analysis | |
|---|---|---|---|---|
| [32] | Yes | Yes | No | No |
| [20] | Yes | Yes | No | No |
| [35] | No | Yes | No | Yes |
| [36] | No | Yes | No | Yes |
| [37] | No | Yes | No | Yes |
| [38] | No | Yes | Yes | Yes |
| [39] | No | Yes | Yes | Yes |
| [40] | No | Yes | Yes | Yes |
| [41] | No | Yes | Yes | No |
| [42] | No | Yes | No | Yes |
| [43] | No | Yes | No | Yes |
| [44] | Yes | Yes | No | No |
| Our method | Yes | Yes | Yes | Yes |
| Four Cases | ||||
|---|---|---|---|---|
| tracking trajectory 1 | 1 | 1 | 50 | 50 |
| tracking trajectory 2 | 3 | 3 | 50 | 50 |
| tracking trajectory 3 | 1 | 1 | 10 | 50 |
| tracking trajectory 4 | 1 | 1 | 50 | 20 |
Disclaimer/Publisher’s Note: The statements, opinions and data contained in all publications are solely those of the individual author(s) and contributor(s) and not of MDPI and/or the editor(s). MDPI and/or the editor(s) disclaim responsibility for any injury to people or property resulting from any ideas, methods, instructions or products referred to in the content. |
© 2023 by the authors. Licensee MDPI, Basel, Switzerland. This article is an open access article distributed under the terms and conditions of the Creative Commons Attribution (CC BY) license (https://creativecommons.org/licenses/by/4.0/).
Share and Cite
Zhao, C.; Shi, K.; Tang, Y.; Xiao, J. Synchronized Tracking Control of Dynamic System of Unmanned Rear-Wheel Vehicles Based on Dynamic Analysis. Drones 2023, 7, 417. https://doi.org/10.3390/drones7070417
Zhao C, Shi K, Tang Y, Xiao J. Synchronized Tracking Control of Dynamic System of Unmanned Rear-Wheel Vehicles Based on Dynamic Analysis. Drones. 2023; 7(7):417. https://doi.org/10.3390/drones7070417
Chicago/Turabian StyleZhao, Can, Kaibo Shi, Yiqian Tang, and Jianying Xiao. 2023. "Synchronized Tracking Control of Dynamic System of Unmanned Rear-Wheel Vehicles Based on Dynamic Analysis" Drones 7, no. 7: 417. https://doi.org/10.3390/drones7070417
APA StyleZhao, C., Shi, K., Tang, Y., & Xiao, J. (2023). Synchronized Tracking Control of Dynamic System of Unmanned Rear-Wheel Vehicles Based on Dynamic Analysis. Drones, 7(7), 417. https://doi.org/10.3390/drones7070417

