The Fixed-Time Observer-Based Adaptive Tracking Control for Aerial Flexible-Joint Robot with Input Saturation and Output Constraint
Abstract
1. Introduction
- Unlike the works of [14,41], which requires the approximation of each subfunction of the nonlinear function sets, this paper cleverly converts the unknown set of nonlinear functions present in the n-link FJR system into the forms of the norm, so that the whole controller needs only two neural networks and one adaptive law, thus saving computational resources.
- Through the dynamic surface technique, a command filter is introduced to avoid the “complexity explosion” problem during backstepping design, and a fixed-time compensator is designed to handle the influences of the filtering errors.
- Different from [42], the input saturation and output constraint are solved simultaneously via the proposed FTOAC scheme, where a fixed-time observer is designed to estimate the input saturation and disturbances existing in the AFJR, and the tangent-type Lyapunov barrier function is constructed to realize the constraint out of the system.
2. Problem Statement and Preliminaries
2.1. Problem Statement
2.2. Preliminaries
3. The Design of FTOAC
3.1. The Fixed-Time Observer
3.2. The Dynamic Surfaces
3.3. The Design Process of the Backstepping Controller
3.4. Stability Analysis
4. Simulation
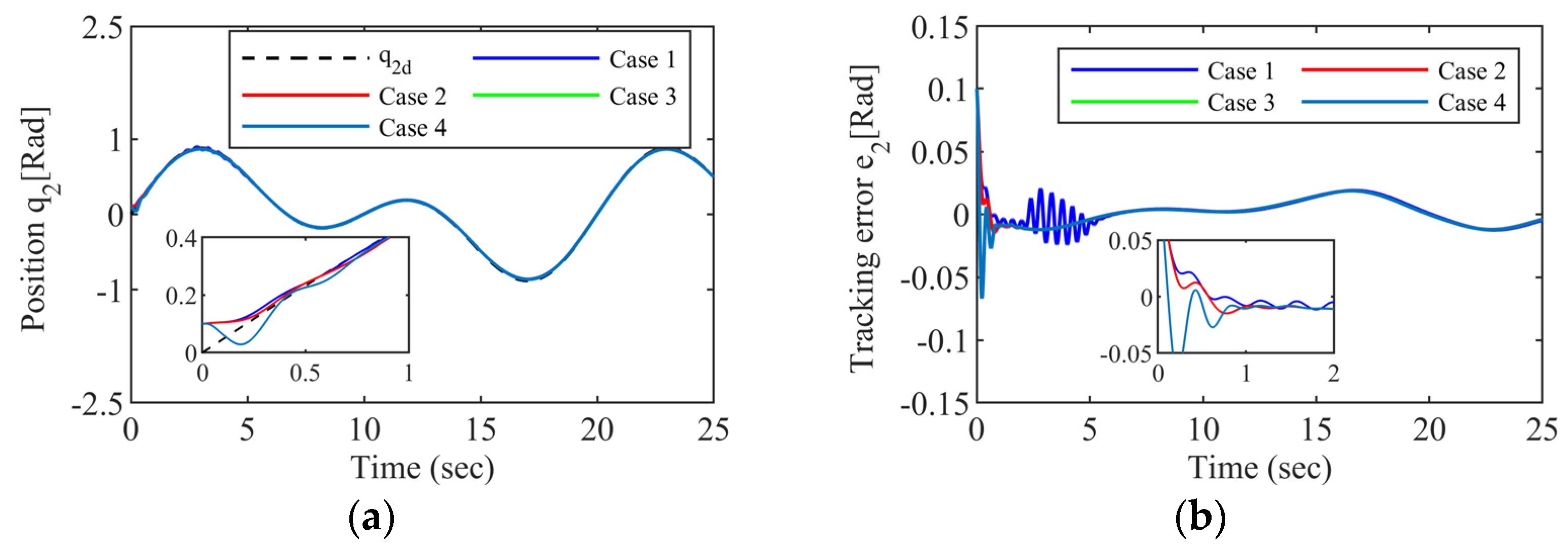
4.1. The FTOAC under Filtering Compensation and Saturations
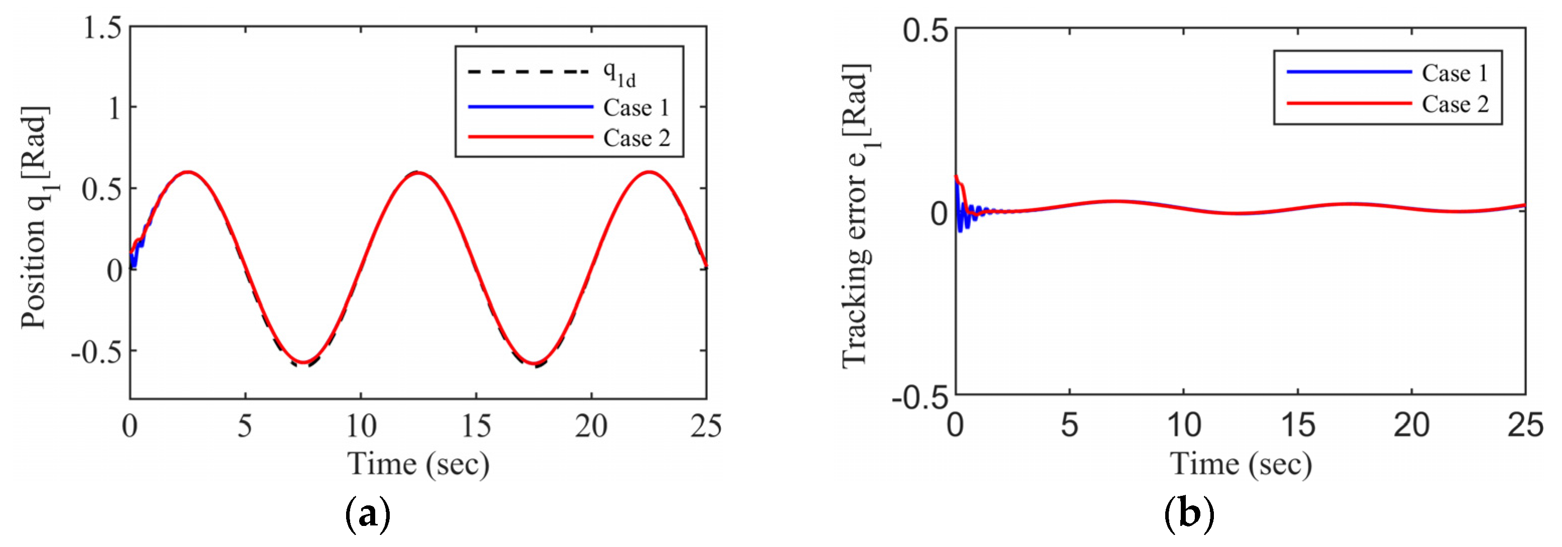
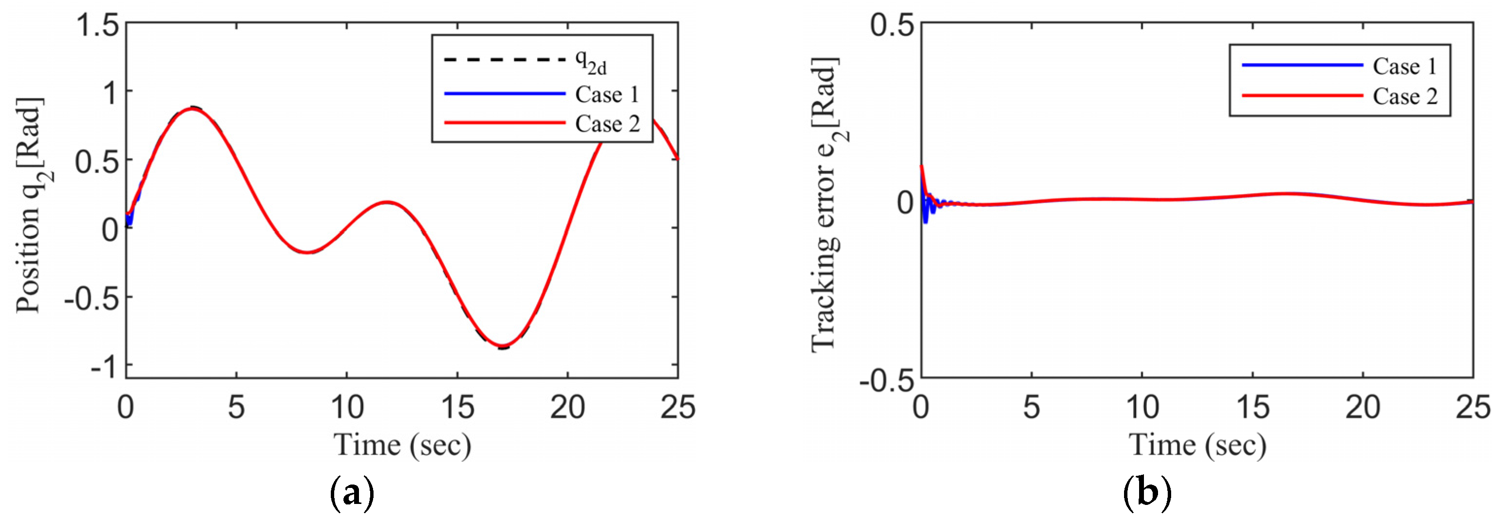
4.2. Comparisons between the FTOAC and the Conventional DSC
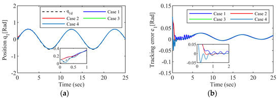
4.3. The FTOAC under Internal Disturbances from the Drone Platform
5. Conclusions
Author Contributions
Funding
Institutional Review Board Statement
Informed Consent Statement
Data Availability Statement
Conflicts of Interest
Appendix A
References
- Ruggiero, F.; Lippiello, V.; Ollero, A. Aerial Manipulation: A Literature Review. IEEE Robot. Autom. Lett. 2018, 3, 1957–1964. [Google Scholar] [CrossRef]
- Xu, M.; Hu, A.; Wang, H. Image-Based Visual Impedance Force Control for Contact Aerial Manipulation. IEEE Trans. Autom. Sci. Eng. 2022, 20, 518–527. [Google Scholar] [CrossRef]
- Kobilarov, M. Nonlinear Trajectory Control of Multi-Body Aerial Manipulators. J. Intell. Robot. Syst. Theory Appl. 2014, 73, 679–692. [Google Scholar] [CrossRef]
- Rsetam, K.; Cao, Z.; Wang, L.; Al-Rawi, M.; Man, Z. Practically Robust Fixed-Time Convergent Sliding Mode Control for Underactuated Aerial Flexible JointRobots Manipulators. Drones 2022, 6, 428. [Google Scholar] [CrossRef]
- Liu, Y.C.; Huang, C.Y. DDPG-Based Adaptive Robust Tracking Control for Aerial Manipulators With Decoupling Approach. IEEE Trans. Cybern. 2022, 52, 8258–8271. [Google Scholar] [CrossRef]
- Montoya-Cháirez, J.; Moreno-Valenzuela, J.; Santibáñez, V.; Carelli, R.; Rossomando, F.G.; Pérez-Alcocer, R. Combined Adaptive Neural Network and Regressor-Based Trajectory Tracking Control of Flexible Joint Robots. IET Control Theory Appl. 2022, 16, 31–50. [Google Scholar] [CrossRef]
- Machado, O.; Rodriguez, F.J.; Bueno, E.J.; Martin, P. A Neural Network-Based Dynamic Cost Function for the Implementation of a Predictive Current Controller. IEEE Trans. Ind. Informatics 2017, 13, 2946–2955. [Google Scholar] [CrossRef]
- Yu, X.; Li, Y.; Zhang, S.; Xue, C.; Wang, Y. Estimation of Human Impedance and Motion Intention for Constrained Human–Robot Interaction. Neurocomputing 2020, 390, 268–279. [Google Scholar] [CrossRef]
- Yang, Y.; Huang, D.; Jin, C.; Liu, X.; Li, Y. Neural Learning Impedance Control of Lower Limb Rehabilitation Exoskeleton with Flexible Joints in the Presence of Input Constraints. Int. J. Robust Nonlinear Control 2022, 33, 4191–4209. [Google Scholar] [CrossRef]
- Wang, H.; Peng, W.; Tan, X.; Sun, J.; Tang, X.; Chen, I.M. Robust Output Feedback Tracking Control for Flexible-Joint Robots Based on CTSMC Technique. IEEE Trans. Circuits Syst. II Express Briefs 2021, 68, 1982–1986. [Google Scholar] [CrossRef]
- Zaare, S.; Reza, M. Continuous Fuzzy Nonsingular Terminal Sliding Mode Control of Flexible Joints Robot Manipulators Based on Nonlinear Finite Time Observer in the Presence of Matched and Mismatched Uncertainties. J. Franklin Inst. 2020, 357, 6539–6570. [Google Scholar] [CrossRef]
- Xie, Y.; Ma, Q.; Gu, J.; Zhou, G. Event-Triggered Fixed-Time Practical Tracking Control for Flexible-Joint Robot. IEEE Trans. Fuzzy Syst. 2022, 31, 67–76. [Google Scholar] [CrossRef]
- Binazadeh, S.; Ghasemi, R. Distributed Fixed Time Super-Twisting Sliding Mode Leader–Follower Tracking Protocol Design for Nonlinear Networked Flexible Joint Robots. Int. J. Dyn. Control 2020, 8, 908–916. [Google Scholar] [CrossRef]
- Ma, H.; Ren, H.; Zhou, Q.; Li, H.; Member, S.; Wang, Z. Observer-Based Neural Control of N -Link Flexible-Joint Robots. IEEE Trans. NEURAL NETWORKS Learn. Syst. 2022, 1–11. [Google Scholar] [CrossRef]
- Liu, Y.; Li, Z.; Su, H.; Su, C.Y. Whole-Body Control of an Autonomous Mobile Manipulator Using Series Elastic Actuators. IEEE/ASME Trans. Mechatronics 2021, 26, 657–667. [Google Scholar] [CrossRef]
- Liu, X.; Zhao, F.; Ge, S.S.; Wu, Y.; Mei, X. End-Effector Force Estimation for Flexible-Joint Robots with Global Friction Approximation Using Neural Networks. IEEE Trans. Ind. Informatics 2019, 15, 1730–1741. [Google Scholar] [CrossRef]
- Liu, X.; Yang, C.; Chen, Z.; Wang, M.; Su, C.Y. Neuro-Adaptive Observer Based Control of Flexible Joint Robot. Neurocomputing 2018, 275, 73–82. [Google Scholar] [CrossRef]
- Wang, H.; Kang, S.; Zhao, X.; Xu, N.; Li, T. Command Filter-Based Adaptive Neural Control Design for Nonstrict-Feedback Nonlinear Systems With Multiple Actuator Constraints. IEEE Trans. Cybern. 2022, 52, 12561–12570. [Google Scholar] [CrossRef]
- Li, Y.X. Finite Time Command Filtered Adaptive Fault Tolerant Control for a Class of Uncertain Nonlinear Systems. Automatica 2019, 106, 117–123. [Google Scholar] [CrossRef]
- Li, K.; Li, Y. Adaptive Neural Network Finite-Time Dynamic Surface Control for Nonlinear Systems. IEEE Trans. Neural Networks Learn. Syst. 2021, 32, 5688–5697. [Google Scholar] [CrossRef]
- Ma, M.; Wang, T.; Guo, R.; Qiu, J. Neural Network-Based Tracking Control of Autonomous Marine Vehicles with Unknown Actuator Dead-Zone. Int. J. Robust Nonlinear Control 2022, 32, 2969–2982. [Google Scholar] [CrossRef]
- Wang, Y.; Xu, N.; Liu, Y.; Zhao, X. Adaptive Fault-Tolerant Control for Switched Nonlinear Systems Based on Command Filter Technique. Appl. Math. Comput. 2021, 392, 125725. [Google Scholar] [CrossRef]
- Wang, L.; Chen, C.L.P.; Li, H. Event-Triggered Adaptive Control of Saturated Nonlinear Systems with Time-Varying Partial State Constraints. IEEE Trans. Cybern. 2020, 50, 1485–1497. [Google Scholar] [CrossRef] [PubMed]
- Ding, S.; Peng, J.Z.; Zhang, H.; Wang, Y.N. Neural Network-Based Adaptive Hybrid Impedance Control for Electrically Driven Flexible-Joint Robotic Manipulators with Input Saturation. Neurocomputing 2021, 458, 99–111. [Google Scholar] [CrossRef]
- Ma, Z.; Huang, P. Adaptive Neural-Network Controller for an Uncertain Rigid Manipulator With Input Saturation and Full-Order State Constraint. IEEE Trans. Cybern. 2022, 52, 2907–2915. [Google Scholar] [CrossRef]
- Cheng, X.; Zhang, Y.; Liu, H.; Wollherr, D.; Buss, M. Adaptive Neural Backstepping Control for Flexible-Joint Robot Manipulator with Bounded Torque Inputs. Neurocomputing 2021, 458, 70–86. [Google Scholar] [CrossRef]
- Yang, Z.; Li, S.; Yu, D.; Chen, C.L.P. BLS-Based Formation Control for Nonlinear Multi-Agent Systems with Actuator Fault and Input Saturation. Nonlinear Dyn. 2022, 109, 2657–2673. [Google Scholar] [CrossRef]
- Zhang, R.; Xu, B.; Shi, P. Finite Time Observer-Based Output Feedback Control of MEMS Gyroscopes with Input Saturation. Int. J. Robust Nonlinear Control 2022, 32, 4300–4317. [Google Scholar] [CrossRef]
- Liu, L.; Hong, M.; Gu, X.; Ding, M.; Guo, Y. Fixed-Time Anti-Saturation Compensators Based Impedance Control with Finite-Time Convergence for a Free-Flying Flexible-Joint Space Robot. Nonlinear Dyn. 2022, 109, 1671–1691. [Google Scholar] [CrossRef]
- Yao, W.; Guo, Y.; Wu, Y.F.; Guo, J. Robust Adaptive Dynamic Surface Control of Multi-Link Flexible Joint Manipulator with Input Saturation. Int. J. Control. Autom. Syst. 2022, 20, 577–588. [Google Scholar] [CrossRef]
- Liu, L.; Yao, W.; Guo, Y. Prescribed Performance Tracking Control of a Free-Flying Flexible-Joint Space Robot with Disturbances under Input Saturation. J. Franklin Inst. 2021, 358, 4571–4601. [Google Scholar] [CrossRef]
- Hu, Y.; Dian, S.Y.; Guo, R.; Li, S.C.; Zhao, T. Observer-Based Dynamic Surface Control for Flexible-Joint Manipulator System with Input Saturation and Unknown Disturbance Using Type-2 Fuzzy Neural Network. Neurocomputing 2021, 436, 162–173. [Google Scholar] [CrossRef]
- Kim, S.; Seo, H.; Kim, H.J. Multirotors With Multi-DOF Robotic Arms. IEEE/ASME Trans. Mechatron. 2018, 23, 702–713. [Google Scholar] [CrossRef]
- Emami, S.A.; Banazadeh, A. Simultaneous Trajectory Tracking and Aerial Manipulation Using a Multi-Stage Model Predictive Control. Aerosp. Sci. Technol. 2021, 112, 106573. [Google Scholar] [CrossRef]
- Yu, X.; He, W.; Li, H.; Sun, J. Adaptive Fuzzy Full-State and Output-Feedback Control for Uncertain Robots with Output Constraint. IEEE Trans. Syst. Man, Cybern. Syst. 2021, 51, 6994–7007. [Google Scholar] [CrossRef]
- Zhang, J.X.; Yang, G.H. Fault-Tolerant Output-Constrained Control of Unknown Euler–Lagrange Systems with Prescribed Tracking Accuracy. Automatica 2020, 111, 108606. [Google Scholar] [CrossRef]
- Wang, A.; Liu, L.; Qiu, J.; Feng, G. Event-Triggered Adaptive Fuzzy Output-Feedback Control for Nonstrict-Feedback Nonlinear Systems With Asymmetric Output Constraint. IEEE Trans. Cybern. 2022, 52, 712–722. [Google Scholar] [CrossRef]
- Sun, W.; Su, S.F.; Xia, J.; Nguyen, V.T. Adaptive Fuzzy Tracking Control of Flexible-Joint Robots with Full-State Constraints. IEEE Trans. Syst. Man, Cybern. Syst. 2019, 49, 2201–2209. [Google Scholar] [CrossRef]
- He, W.; Yan, Z.; Sun, Y.; Ou, Y.; Sun, C. Neural-Learning-Based Control for a Constrained Robotic Manipulator With Flexible Joints. IEEE Trans. Neural Networks Learn. Syst. 2018, 29, 5993–6003. [Google Scholar] [CrossRef]
- Yang, K.; Zhao, L. Command-Filter-Based Backstepping Control for Flexible Joint Manipulator Systems with Full-State Constrains. Int. J. Control. Autom. Syst. 2022, 20, 2231–2238. [Google Scholar] [CrossRef]
- Ouyang, Y.; Dong, L.; Wei, Y.; Sun, C. Neural Network Based Tracking Control for an Elastic Joint Robot with Input Constraint via Actor-Critic Design. Neurocomputing 2020, 409, 286–295. [Google Scholar] [CrossRef]
- Ling, S.; Wang, H.; Liu, P.X. Adaptive Fuzzy Dynamic Surface Control of Flexible-Joint Robot Systems with Input Saturation. IEEE/CAA J. Autom. Sin. 2019, 6, 97–106. [Google Scholar] [CrossRef]
- Samadikhoshkho, Z.; Lipsett, M. Decoupled Control Design of Aerial Manipulation Systems for Vegetation Sampling Application. Drones 2023, 7, 110. [Google Scholar] [CrossRef]
- Izadbakhsh, A. Robust Control Design for Rigid-Link Flexible-Joint Electrically Driven Robot Subjected to Constraint: Theory and Experimental Verification. Nonlinear Dyn. 2016, 85, 751–765. [Google Scholar] [CrossRef]
- Wang, H.; Xu, K.; Qiu, J. Event-Triggered Adaptive Fuzzy Fixed-Time Tracking Control for a Class of Nonstrict-Feedback Nonlinear Systems. IEEE Trans. Circuits Syst. I Regul. Pap. 2021, 68, 3058–3068. [Google Scholar] [CrossRef]
- Yao, Y.; Tan, J.; Wu, J.; Zhang, X. Event-Triggered Fixed-Time Adaptive Fuzzy Control for State-Constrained Stochastic Nonlinear Systems without Feasibility Conditions. Nonlinear Dyn. 2021, 105, 403–416. [Google Scholar] [CrossRef]
- Diao, S.; Sun, W.; Su, S.F.; Xia, J. Adaptive Fuzzy Event-Triggered Control for Single-Link Flexible-Joint Robots With Actuator Failures. IEEE Trans. Cybern. 2021, 52, 7231–7241. [Google Scholar] [CrossRef]
- Sun, Y.; Zhang, L. Fixed-Time Adaptive Fuzzy Control for Uncertain Strict Feedback Switched Systems. Inf. Sci. (Ny). 2021, 546, 742–752. [Google Scholar] [CrossRef]
- Zhang, J.; Niu, B.; Wang, D.; Wang, H.; Zhao, P.; Zong, G. Time-/Event-Triggered Adaptive Neural Asymptotic Tracking Control for Nonlinear Systems with Full-State Constraints and Application to a Single-Link Robot. IEEE Trans. Neural Networks Learn. Syst. 2022, 33, 6690–6700. [Google Scholar] [CrossRef]
- Basin, M.; Panathula, C.B.; Shtessel, Y. Multivariable Continuous Fixed-Time Second-Order Sliding Mode Control: Design and Convergence Time Estimation. IET Control Theory Appl. 2017, 11, 1104–1111. [Google Scholar] [CrossRef]













| Parameter | Denotation | Physical Meaning |
|---|---|---|
| Parameters | Description | Value | Units |
|---|---|---|---|
| Joint 1 | MV | RMS | Joint 2 | MV | RMS |
|---|---|---|---|---|---|
| Case 1 | 0.054163 | 0.017411 | Case 1 | 0.002127 | 0.010399 |
| Case 2 | 0.011908 | 0.012069 | Case 2 | 0.001439 | 0.010064 |
| Case 3 | 0.011947 | 0.012462 | Case 3 | 0.001463 | 0.010078 |
| Case 4 | 0.011977 | 0.012535 | Case 4 | 0.001483 | 0.010098 |
| Joint 1 | MV | RMS | Joint 2 | MV | RMS |
|---|---|---|---|---|---|
| Conventional DSC | 0.060696 | 0.06564 | Conventional DSC | 0.00792 | 0.054 |
| FTOAC | 0.016863 | 0.020326 | FTOAC | −0.00002 | 0.019 |
Disclaimer/Publisher’s Note: The statements, opinions and data contained in all publications are solely those of the individual author(s) and contributor(s) and not of MDPI and/or the editor(s). MDPI and/or the editor(s) disclaim responsibility for any injury to people or property resulting from any ideas, methods, instructions or products referred to in the content. |
© 2023 by the authors. Licensee MDPI, Basel, Switzerland. This article is an open access article distributed under the terms and conditions of the Creative Commons Attribution (CC BY) license (https://creativecommons.org/licenses/by/4.0/).
Share and Cite
Li, T.; Li, S.; Sun, H.; Lv, D. The Fixed-Time Observer-Based Adaptive Tracking Control for Aerial Flexible-Joint Robot with Input Saturation and Output Constraint. Drones 2023, 7, 348. https://doi.org/10.3390/drones7060348
Li T, Li S, Sun H, Lv D. The Fixed-Time Observer-Based Adaptive Tracking Control for Aerial Flexible-Joint Robot with Input Saturation and Output Constraint. Drones. 2023; 7(6):348. https://doi.org/10.3390/drones7060348
Chicago/Turabian StyleLi, Tandong, Shaobo Li, Hang Sun, and Dongchao Lv. 2023. "The Fixed-Time Observer-Based Adaptive Tracking Control for Aerial Flexible-Joint Robot with Input Saturation and Output Constraint" Drones 7, no. 6: 348. https://doi.org/10.3390/drones7060348
APA StyleLi, T., Li, S., Sun, H., & Lv, D. (2023). The Fixed-Time Observer-Based Adaptive Tracking Control for Aerial Flexible-Joint Robot with Input Saturation and Output Constraint. Drones, 7(6), 348. https://doi.org/10.3390/drones7060348

