Files Cooperative Caching Strategy Based on Physical Layer Security for Air-to-Ground Integrated IoV
Abstract
1. Introduction
- We propose a novel mobile edge cache strategy based on physical layer security, which enhances the adjacent discovery capability of files and improves the probability of secure transmission. Based on random geometry theory, we calculate the precise expression of the MEC-enabled air-to-ground integrated IoV security offloading ratio. Taking the security offloading ratio as the objective function, we build a joint optimization problem about the cache strategy and the secure transmission rate;
- Since the cache strategy and the secure transmission rate are tightly coupled in the objective function, it is difficult to directly obtain the joint optimal solution. Therefore, we propose an alternating optimization algorithm, which can obtain the joint optimal solution of the cache strategies and the secure transmission rate to maximize the network security offloading ratio;
- Through a numerical simulation of the key technical parameters, the results show that the network security offloading performance of the proposed caching strategy is superior to the existing caching strategies.
2. System Model
2.1. Network Model
2.2. File Access Model
- Case 2: V2V cache: If the RV does not cache the required file in the self-cache, then the RV will obtain the required file from surrounding CVs through V2V communication. This process involves the successful establishment of V2V communication and the secure transmission of files. The research will be discussed in later chapters.
3. Problem Formulation and Analysis
3.1. Self-Cache Offloading Ratio
3.2. V2V Cache Offloading Ratio
4. The Cache Strategy and Secure Transmission Rate Optimization Problem
4.1. Optimal Secure Transmission Rate for a Given Cache Strategy
4.2. Optimal Cache Strategy for a Given Secure Transmission Rate
4.3. Iterative Algorithm for Joint Optimization
| Algorithm 1 Joint optimization algorithm. |
|
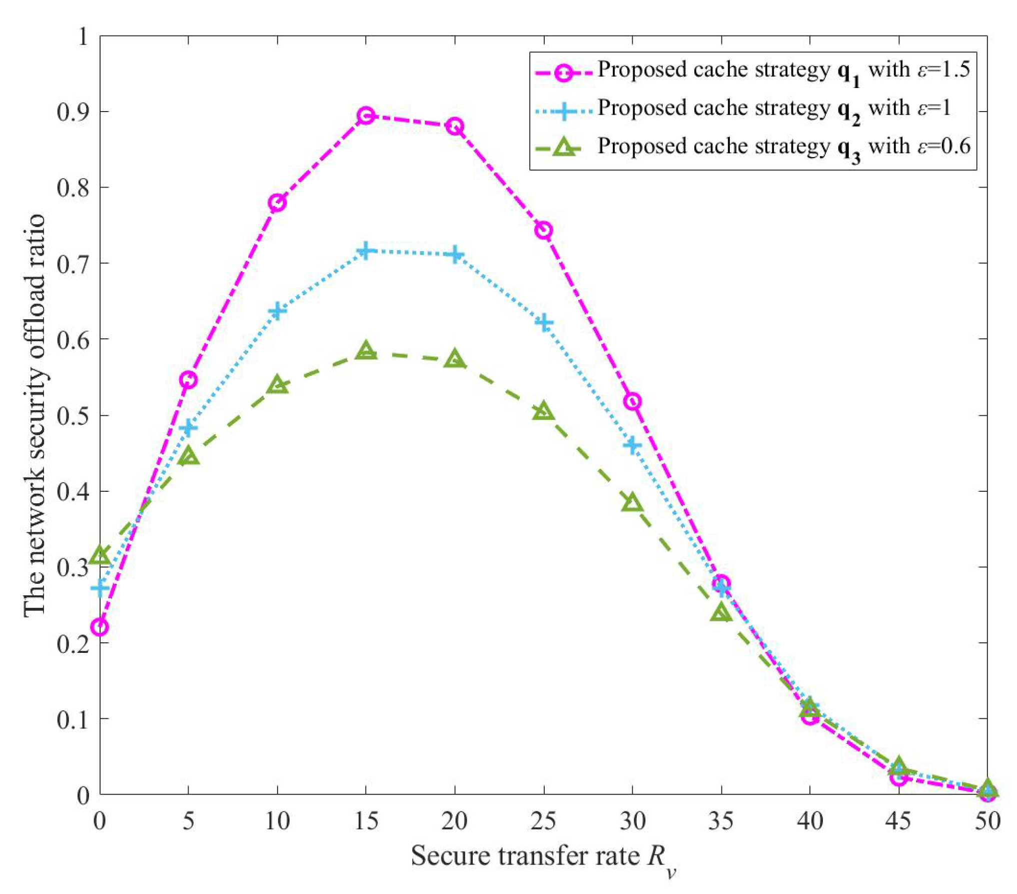
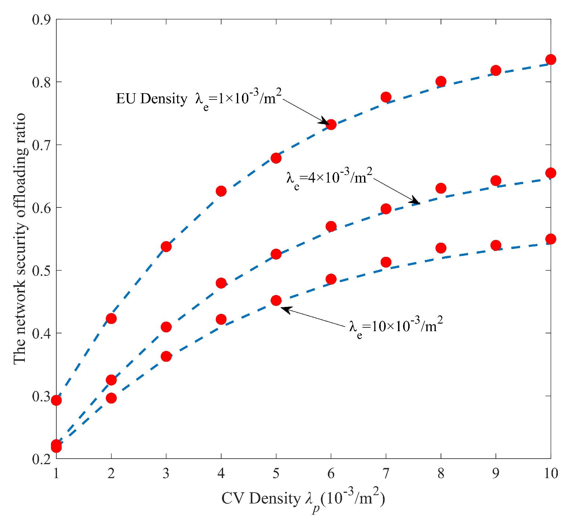
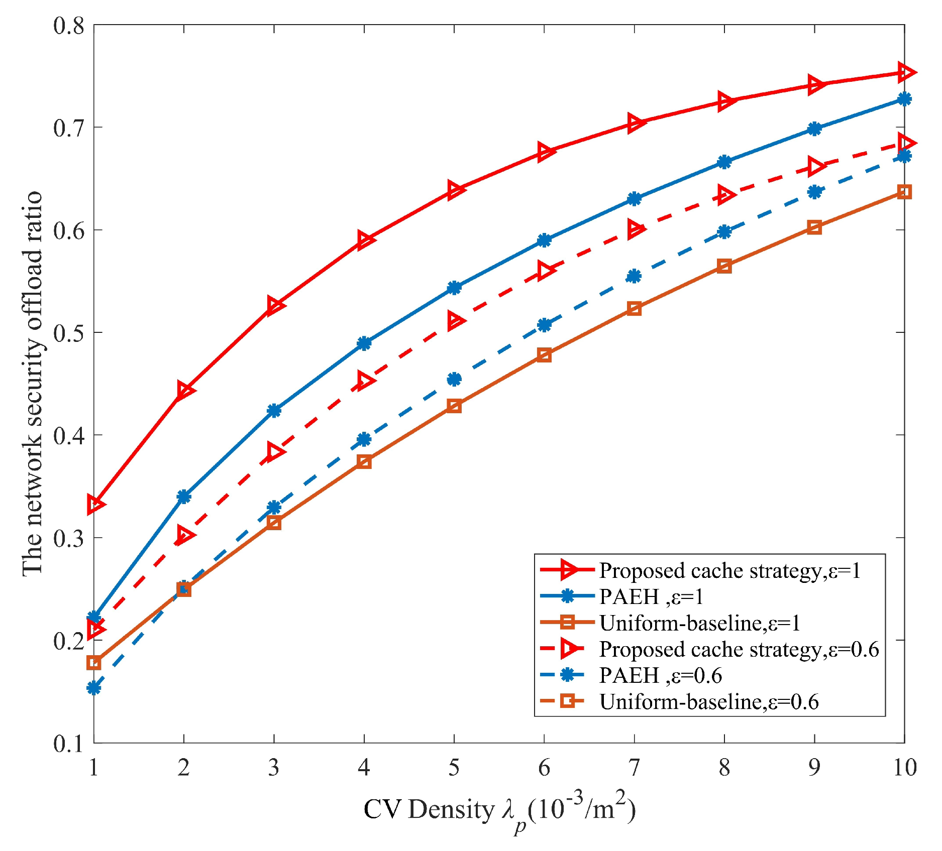
5. Simulation and Numerical Results
6. Conclusions
Author Contributions
Funding
Institutional Review Board Statement
Informed Consent Statement
Data Availability Statement
Conflicts of Interest
Appendix A
References
- Cisco. Cisco Annual Internet Report (2018–2023) White Paper; Cisco: San Jose, CA, USA, 2020. [Google Scholar]
- Israr, A.; Ali, Z.A.; Alkhammash, E.H.; Jussila, J.J. Optimization Methods Applied to Motion Planning of Unmanned Aerial Vehicles: A Review. Drones 2022, 6, 126. [Google Scholar] [CrossRef]
- You, X.; Wang, C.X.; Huang, J.; Gao, X.; Zhang, Z.; Wang, M.; Huang, Y.; Zhang, C.; Jiang, Y.; Wang, J.; et al. Towards 6G wireless communication networks: Vision, enabling technologies, and new paradigm shifts. Sci. China Inf. Sci. 2021, 64, 1–74. [Google Scholar] [CrossRef]
- Sun, W.; Li, S.; Zhang, Y. Edge caching in blockchain empowered 6G. China Commun. 2021, 18, 1–17. [Google Scholar] [CrossRef]
- Wang, D.; Zhou, F.; Lin, W.; Ding, Z.; Al-Dhahir, N. Cooperative hybrid nonorthogonal multiple access-based mobile-edge computing in cognitive radio networks. IEEE Trans. Cogn. Commun. Netw. 2022, 8, 1104–1117. [Google Scholar] [CrossRef]
- Wang, D.; Wu, M.; He, Y.; Pang, L.; Xu, Q.; Zhang, R. An HAP and UAVs Collaboration Framework for Uplink Secure Rate Maximization in NOMA-Enabled IoT Networks. Remote Sens. 2022, 14, 4501. [Google Scholar] [CrossRef]
- He, Y.; Wang, D.; Huang, F.; Zhang, R.; Pan, J. Trajectory optimization and channel allocation for delay sensitive secure transmission in UAV-relayed VANETs. IEEE Trans. Veh. Technol. 2022, 71, 4512–4517. [Google Scholar] [CrossRef]
- Thandavarayan, G.; Sepulcre, M.; Gozalvez, J. Generation of cooperative perception messages for connected and automated vehicles. IEEE Trans. Veh. Technol. 2020, 69, 16336–16341. [Google Scholar] [CrossRef]
- Chen, Y.; Liu, Y.; Zhao, J.; Zhu, Q. Mobile edge cache strategy based on neural collaborative filtering. IEEE Access 2020, 8, 18475–18482. [Google Scholar] [CrossRef]
- Wang, D.; He, T.; Zhou, F.; Cheng, J.; Zhang, R.; Wu, Q. Outage-driven link selection for secure buffer-aided networks. Sci. China Inf. Sci. 2022, 65, 1–6. [Google Scholar] [CrossRef]
- He, Y.; Nie, L.; Guo, T.; Kaur, K.; Hassan, M.M.; Yu, K. A NOMA-enabled framework for relay deployment and network optimization in double-layer airborne access VANETs. IEEE Trans. Intell. Transp. Syst. 2022, 23, 22452–22466. [Google Scholar] [CrossRef]
- He, Y.; Zhai, D.; Huang, F.; Wang, D.; Tang, X.; Zhang, R. Joint task offloading, resource allocation, and security assurance for mobile edge computing-enabled UAV-assisted VANETs. Remote Sens. 2021, 13, 1547. [Google Scholar] [CrossRef]
- Grlj, C.G.; Krznar, N.; Pranjić, M. A Decade of UAV Docking Stations: A Brief Overview of Mobile and Fixed Landing Platforms. Drones 2022, 6, 17. [Google Scholar] [CrossRef]
- Narang, M.; Xiang, S.; Liu, W.; Gutierrez, J.; Chiaraviglio, L.; Sathiaseelan, A.; Merwaday, A. UAV-assisted edge infrastructure for challenged networks. In Proceedings of the 2017 IEEE Conference on Computer Communications Workshops (INFOCOM WKSHPS), Atlanta, GA, USA, 1–4 May 2017; pp. 60–65. [Google Scholar]
- Dai, Y.; Xu, D.; Maharjan, S.; Zhang, Y. Joint load balancing and offloading in vehicular edge computing and networks. IEEE Internet Things J. 2018, 6, 4377–4387. [Google Scholar] [CrossRef]
- Ning, Z.; Zhang, K.; Wang, X.; Obaidat, M.S.; Guo, L.; Hu, X.; Hu, B.; Guo, Y.; Sadoun, B.; Kwok, R.Y. Joint computing and caching in 5G-envisioned Internet of vehicles: A deep reinforcement learning-based traffic control system. IEEE Trans. Intell. Transp. Syst. 2020, 22, 5201–5212. [Google Scholar] [CrossRef]
- Anjum, N.; Yang, Z.; Khan, I.; Kiran, M.; Wu, F.; Rabie, K.; Bahaei, S.M. Efficient algorithms for cache-throughput analysis in cellular-d2d 5g networks. Comput. Mater. Contin. 2021, 67, 1759–1780. [Google Scholar] [CrossRef]
- Ma, Z.; Nuermaimaiti, N.; Zhang, H.; Zhou, H.; Nallanathan, A. Deployment model and performance analysis of clustered D2D caching networks under cluster-centric caching strategy. IEEE Trans. Commun. 2020, 68, 4933–4945. [Google Scholar] [CrossRef]
- Lee, M.C.; Molisch, A.F. Caching policy and cooperation distance design for base station-assisted wireless D2D caching networks: Throughput and energy efficiency optimization and tradeoff. IEEE Trans. Wirel. Commun. 2018, 17, 7500–7514. [Google Scholar] [CrossRef]
- Cai, J.; Wu, X.; Liu, Y.; Luo, J.; Liao, L. Network coding-based socially-aware caching strategy in D2D. IEEE Access 2020, 8, 12784–12795. [Google Scholar] [CrossRef]
- Kafıloğlu, S.S.; Gür, G.; Alagöz, F. Cooperative Caching and Video Characteristics in D2D Edge Networks. IEEE Commun. Lett. 2020, 24, 2647–2651. [Google Scholar] [CrossRef]
- Li, M.; Cheng, N.; Gao, J.; Wang, Y.; Zhao, L.; Shen, X. Energy-efficient UAV-assisted mobile edge computing: Resource allocation and trajectory optimization. IEEE Trans. Veh. Technol. 2020, 69, 3424–3438. [Google Scholar] [CrossRef]
- Wyner, A.D. The wire-tap channel. Bell Syst. Tech. J. 1975, 54, 1355–1387. [Google Scholar] [CrossRef]
- Irram, F.; Ali, M.; Naeem, M.; Mumtaz, S. Physical layer security for beyond 5G/6G networks: Emerging technologies and future directions. J. Netw. Comput. Appl. 2022, 206, 103431. [Google Scholar] [CrossRef]
- Wang, H.M.; Zheng, T.X. Physical Layer Security in Random Cellular Networks; Springer: Berlin/Heidelberg, Germany, 2016. [Google Scholar]
- Liu, Y.; Qin, Z.; Elkashlan, M.; Gao, Y.; Hanzo, L. Enhancing the Physical Layer Security of Non-Orthogonal Multiple Access in Large-Scale Networks. IEEE Trans. Wirel. Commun. 2017, 16, 1656–1672. [Google Scholar] [CrossRef]
- Zheng, T.X.; Wang, H.M.; Yuan, J. Physical-layer security in cache-enabled cooperative small cell networks against randomly distributed eavesdroppers. IEEE Trans. Wirel. Commun. 2018, 17, 5945–5958. [Google Scholar] [CrossRef]
- Ren, D.; Gui, X.; Zhang, K.; Wu, J. Mobility-aware traffic offloading via cooperative coded edge caching. IEEE Access 2020, 8, 43427–43442. [Google Scholar] [CrossRef]
- Meng, Y.; Zhang, Z.; Huang, Y. Cache-and energy harvesting-enabled d2d cellular network: Modeling, analysis and optimization. IEEE Trans. Green Commun. Netw. 2021, 5, 703–713. [Google Scholar] [CrossRef]
- Farooq, M.J.; ElSawy, H.; Alouini, M.S. A stochastic geometry model for multi-hop highway vehicular communication. IEEE Trans. Wirel. Commun. 2015, 15, 2276–2291. [Google Scholar] [CrossRef]
- Steinmetz, E.; Wildemeersch, M.; Quek, T.Q.; Wymeersch, H. A stochastic geometry model for vehicular communication near intersections. In Proceedings of the 2015 IEEE Globecom Workshops (GC Wkshps), San Diego, CA, USA, 6–10 December 2015; pp. 1–6. [Google Scholar]
- Wu, Y.; Zheng, J. Modeling and Analysis of the Local Delay in an MEC-Based VANET for an Urban Area. IEEE Trans. Veh. Technol. 2022, 71, 13266–13280. [Google Scholar] [CrossRef]
- Sial, M.N.; Deng, Y.; Ahmed, J.; Nallanathan, A.; Dohler, M. Stochastic geometry modeling of cellular V2X communication over shared channels. IEEE Trans. Veh. Technol. 2019, 68, 11873–11887. [Google Scholar] [CrossRef]
- Andrews, J.G.; Baccelli, F.; Ganti, R.K. A tractable approach to coverage and rate in cellular networks. IEEE Trans. Commun. 2011, 59, 3122–3134. [Google Scholar] [CrossRef]
- Chen, Z.; Pappas, N.; Kountouris, M. Probabilistic caching in wireless D2D networks: Cache hit optimal versus throughput optimal. IEEE Commun. Lett. 2017, 21, 584–587. [Google Scholar] [CrossRef]
- Liu, H.W.; Zheng, T.X.; Wen, Y.; Feng, C.; Wang, H.M. Performance Analysis of Uplink mmWave Communications in C-V2X Networks. In Proceedings of the GLOBECOM 2020—2020 IEEE Global Communications Conference, Taipei, Taiwan, 7–11 December 2020; pp. 1–6. [Google Scholar]
- Ullah, A.; Choi, W. Massive MIMO Assisted Aerial-Terrestrial Network: How Many UAVs Need to Be Deployed? TechRxiv 2022, 10, 36227. [Google Scholar]
- Zhang, C.; Wei, Z.; Feng, Z.; Zhang, W. Spectrum sharing of drone networks. In Handbook of Cognitive Radio; Springer: Berlin/Heidelberg, Germany, 2019; pp. 1279–1304. [Google Scholar]
- Zhang, S.; Zhu, Y.; Liu, J. Multi-UAV Enabled Aerial-Ground Integrated Networks: A Stochastic Geometry Analysis. IEEE Trans. Commun. 2022, 70, 7040–7054. [Google Scholar] [CrossRef]
- Malak, D.; Al-Shalash, M. Device-to-device content distribution: Optimal caching strategies and performance bounds. In Proceedings of the 2015 IEEE International Conference on Communication Workshop (ICCW), London, UK, 8–12 June 2015; pp. 664–669. [Google Scholar]
- Li, S.; Sun, W.; Zhang, H.; Zhang, Y. Physical Layer Security for Edge Caching in 6G Networks. In Proceedings of the GLOBECOM 2020—2020 IEEE Global Communications Conference, Taipei, Taiwan, 7–11 December 2020; pp. 1–6. [Google Scholar]
- Stoyan, D.; Kendall, W.S.; Chiu, S.N.; Mecke, J. Stochastic Geometry and Its Applications; John Wiley & Sons: Hoboken, NJ, USA, 2013. [Google Scholar]
- Chai, R.; Li, Y.; Chen, Q. Joint cache partitioning, content placement, and user association for D2D-enabled heterogeneous cellular networks. IEEE Access 2019, 7, 56642–56655. [Google Scholar] [CrossRef]
- Vu, T.X.; Chatzinotas, S.; Ottersten, B.; Trinh, A.V. Full-duplex enabled mobile edge caching: From distributed to cooperative caching. IEEE Trans. Wirel. Commun. 2019, 19, 1141–1153. [Google Scholar] [CrossRef]
- Mozaffari, M.; Saad, W.; Bennis, M.; Debbah, M. Unmanned aerial vehicle with underlaid device-to-device communications: Performance and tradeoffs. IEEE Trans. Wirel. Commun. 2016, 15, 3949–3963. [Google Scholar] [CrossRef]
- Okabe, A.; Boots, B.; Sugihara, K.; Chiu, S.N. Concepts and Applications of Voronoi Diagrams; John Wiley: Chichester, UK, 2000. [Google Scholar]
- Wang, C.; Li, Z.; Xia, X.G.; Shi, J.; Si, J.; Zou, Y. Physical layer security enhancement using artificial noise in cellular vehicle-to-everything (C-V2X) networks. IEEE Trans. Veh. Technol. 2020, 69, 15253–15268. [Google Scholar] [CrossRef]
- Zheng, T.X.; Wen, Y.; Liu, H.W.; Ju, Y.; Wang, H.M.; Wong, K.K.; Yuan, J. Physical-Layer Security of Uplink mmWave Transmissions in Cellular V2X Networks. IEEE Trans. Wirel. Commun. 2022, 21, 9818–9833. [Google Scholar] [CrossRef]
- Gradshteyn, I.S.; Ryzhik, I.M. Table of Integrals, Series, and Products; Academic Press: Cambridge, MA, USA, 2014. [Google Scholar]
- Bai, T.; Wang, J.; Ren, Y.; Hanzo, L. Energy-efficient computation offloading for secure UAV-edge-computing systems. IEEE Trans. Veh. Technol. 2019, 68, 6074–6087. [Google Scholar] [CrossRef]
- Su, Z.; Feng, W.; Tang, J.; Chen, Z.; Fu, Y.; Zhao, N.; Wong, K.K. Energy efficiency optimization for D2D communications underlaying UAV-assisted industrial IoT networks with SWIPT. IEEE Internet Things J. 2022, 10, 1990–2002. [Google Scholar] [CrossRef]
- Boyd, S.; Boyd, S.P.; Vandenberghe, L. Convex Optimization; Cambridge University Press: Cambridge, UK, 2004. [Google Scholar]
- Amer, R.; Baza, M.; Salman, T.; Butt, M.M.; Alhindi, A.; Marchetti, N. Optimizing joint probabilistic caching and channel access for clustered D2D networks. J. Commun. Netw. 2021, 23, 433–441. [Google Scholar] [CrossRef]







| Parameters | Value |
|---|---|
| Intensity of CVs | /m |
| Intensity of EVs | /m |
| V2V bandwidth W | 20 MHz |
| Path loss exponent | |
| Noise power | −174 dBm/Hz |
| The number of files F | 10 files |
| Each CV’s cache capacity S | 1 file |
| Zip parameter | , 1 |
| Zipf Parameters | Cache Probability of Files |
|---|---|
Disclaimer/Publisher’s Note: The statements, opinions and data contained in all publications are solely those of the individual author(s) and contributor(s) and not of MDPI and/or the editor(s). MDPI and/or the editor(s) disclaim responsibility for any injury to people or property resulting from any ideas, methods, instructions or products referred to in the content. |
© 2023 by the authors. Licensee MDPI, Basel, Switzerland. This article is an open access article distributed under the terms and conditions of the Creative Commons Attribution (CC BY) license (https://creativecommons.org/licenses/by/4.0/).
Share and Cite
Wang, W.; Li, H.; Liu, Y.; Cheng, W.; Liang, R. Files Cooperative Caching Strategy Based on Physical Layer Security for Air-to-Ground Integrated IoV. Drones 2023, 7, 163. https://doi.org/10.3390/drones7030163
Wang W, Li H, Liu Y, Cheng W, Liang R. Files Cooperative Caching Strategy Based on Physical Layer Security for Air-to-Ground Integrated IoV. Drones. 2023; 7(3):163. https://doi.org/10.3390/drones7030163
Chicago/Turabian StyleWang, Weiguang, Hui Li, Yang Liu, Wei Cheng, and Rui Liang. 2023. "Files Cooperative Caching Strategy Based on Physical Layer Security for Air-to-Ground Integrated IoV" Drones 7, no. 3: 163. https://doi.org/10.3390/drones7030163
APA StyleWang, W., Li, H., Liu, Y., Cheng, W., & Liang, R. (2023). Files Cooperative Caching Strategy Based on Physical Layer Security for Air-to-Ground Integrated IoV. Drones, 7(3), 163. https://doi.org/10.3390/drones7030163

